Приказом Минрегиона
РФ
от 27 декабря 2010
г. N 791
СВОД ПРАВИЛ
СТАЛЬНЫЕ
КОНСТРУКЦИИ
АКТУАЛИЗИРОВАННАЯ
РЕДАКЦИЯ СНиП II-23-81*
Steel structures
СП 16.13330.2011
Дата введения
20 мая 2011 года
Цели и принципы
стандартизации в Российской Федерации установлены Федеральным законом от 27
декабря 2002 г. N 184-ФЗ "О техническом регулировании", а правила
разработки - Постановлением Правительства Российской Федерации от 19 ноября
2008 г. N 858 "О порядке разработки и утверждения сводов правил".
1. Исполнители:
ЦНИИСК им. В.А. Кучеренко - институт ОАО "НИЦ "Строительство",
ЦНИИПСК им. Мельникова и др.
2. Внесен
Техническим комитетом по стандартизации ТК 465 "Строительство".
3. Подготовлен к
утверждению Департаментом архитектуры, строительства и градостроительной
политики.
4. Утвержден Приказом
Министерства регионального развития Российской Федерации (Минрегион России) от
27 декабря N 791 и введен в действие с 20 мая 2011 г.
5. Зарегистрирован
Федеральным агентством по техническому регулированию и метрологии (Росстандарт).
Пересмотр СП 16.13330.2010.
Информация об
изменениях к настоящему актуализированному своду правил публикуется в ежегодно
издаваемом информационном указателе "Национальные стандарты", а текст
изменений и поправок - в ежемесячно издаваемых информационных указателях
"Национальные стандарты". В случае пересмотра (замены) или отмены
настоящего свода правил соответствующее уведомление будет опубликовано в
ежемесячно издаваемом информационном указателе "Национальные
стандарты". Соответствующая информация, уведомление и тексты размещаются
также в информационной системе общего пользования - на официальном сайте
разработчика (Минрегион России) в сети Интернет.
Настоящий свод
правил составлен с целью повышения уровня безопасности людей в зданиях и
сооружениях и сохранности материальных ценностей в соответствии с Федеральным законом
от 30 декабря 2009 г. N 384-ФЗ "Технический регламент о безопасности
зданий и сооружений", повышения уровня гармонизации нормативных требований
с европейскими и международными нормативными документами, применения единых
методов определения эксплуатационных характеристик и методов оценки.
Актуализация СНиП
II-23-81* выполнена следующим авторским коллективом: Центральный
научно-исследовательский институт строительных конструкций им. В.А. Кучеренко
(ЦНИИСК им. В.А. Кучеренко) - институт ОАО "НИЦ "Строительство"
в составе специалистов: д-ра техн. наук И.И. Ведяков, П.Д. Одесский, П.Г.
Еремеев, кандидаты техн. наук Г.Е. Бельский, Л.А. Гильденгорн, М.И. Гукова,
Б.Н. Решетников, Ю.Н. Симаков, М.Р. Урицкий, М.И. Фарфель, Б.С. Цетлин,
инженеры А.П. Лавров, Л.С. Сошникова; Электростальский политехнический институт
МИСиС (д-р техн. наук, проф. В.И. Моисеев); ЦНИИПСК им. Мельникова: д-р техн.
наук, проф. чл.-корр. РААСН А.Б. Павлов, д-р техн. наук В.М. Горицкий,
кандидаты техн. наук В.В. Евдокимов, Е.М. Баско, инженеры Г.Р. Шеляпина, М.М.
Ефремов, В.И. Мейтин, В.М. Бабушкин; МГСУ (д-р техн. наук А.Р. Туснин); СПбГАСУ
(д-р техн. наук Г.И. Белый); ЮФУ (канд. техн. наук Б.А. Пушкин), Челябинский
ЗМК (инж. А.В. Гайдамако); "Институт Теплоэлектропроект" - ОАО
"Инженерный центр ЕЭС" (инж. И.К. Вишницкий).
1.1. Настоящие
правила следует соблюдать при проектировании стальных строительных конструкций
зданий и сооружений различного назначения, работающих при температуре не выше
100 °C и не ниже минус 60 °C.
Нормы не
распространяются на проектирование стальных конструкций мостов, транспортных
тоннелей и труб под насыпями.
1.2. При
проектировании конструкций, находящихся в особых условиях эксплуатации (например,
конструкций доменных печей; магистральных и технологических трубопроводов;
резервуаров специального назначения; конструкций зданий, подвергающихся
сейсмическим воздействиям, интенсивным воздействиям температуры, радиации,
агрессивных сред; конструкций гидротехнических и мелиоративных сооружений),
конструкций уникальных зданий и сооружений, зданий атомных электростанций, а
также специальных видов конструкций (например, предварительно напряженных,
пространственных, висячих), следует соблюдать дополнительные требования,
предусмотренные соответствующими нормативными документами, в которых отражены
особенности работы этих конструкций.
Перечень
нормативных документов и стандартов, на которые имеются ссылки в настоящих
нормах, приведен в Приложении А.
Примечание. При
пользовании настоящим СП целесообразно проверить действие ссылочных стандартов
и классификаторов в информационной системе общего пользования - на официальном
сайте национальных органов Российской Федерации по стандартизации в сети
Интернет или по ежегодно издаваемому информационному указателю
"Национальные стандарты", который опубликован по состоянию на 1
января текущего года, и по соответствующим ежемесячно издаваемым информационным
указателям, опубликованным в текущем году. Если ссылочный документ заменен
(изменен), то при пользовании настоящим СП следует руководствоваться замененным
(измененным) документом. Если ссылочный документ отменен без замены, то
положение, в котором дана ссылка на него, применяется в части, не затрагивающей
эту ссылку.
Термины,
использованные в настоящем СП, применены в соответствии с ГОСТ 4.253, ГОСТ
2601, ГОСТ 28548.
4.1. Основные требования к конструкциям
4.1.1. При
проектировании стальных строительных конструкций следует:
принимать
конструктивные схемы, обеспечивающие прочность, устойчивость и пространственную
неизменяемость зданий и сооружений в целом и их отдельных элементов при
транспортировании, монтаже и эксплуатации;
соблюдать
требования СНиП 2.03.11 в части защиты строительных конструкций от коррозии и
требования Федерального закона от 22 июля 2008 г. N 123-ФЗ "Технический
регламент о требованиях пожарной безопасности". Увеличение толщины проката
и стенок труб с целью защиты от коррозии и повышения предела огнестойкости
конструкций допускается только при технико-экономическом обосновании;
применять
рациональные профили проката, эффективные стали и прогрессивные типы
соединений; элементы конструкций должны иметь минимальные сечения,
удовлетворяющие требованиям настоящих норм с учетом сортаментов на прокат и
трубы;
предусматривать
технологичность и наименьшую трудоемкость изготовления, транспортирования и
монтажа конструкций;
учитывать
производственные возможности и мощность технологического и кранового
оборудования предприятий - изготовителей конструкций;
учитывать
допускаемые отклонения от проектных размеров и геометрической формы элементов
конструкций при изготовлении и монтаже;
соблюдать
требования государственных стандартов и других нормативных документов на
конструкции соответствующего вида; при необходимости выполнять расчет точности
размеров конструкций и их элементов согласно ГОСТ 21780.
4.1.2. Открытые
конструкции, не замурованные в бетоне или в кирпичной кладке и т.п., должны
быть доступны для наблюдения, оценки технического состояния, выполнения
профилактических и ремонтных работ, не должны задерживать влагу и затруднять
проветривание. Замкнутые профили должны быть герметизированы.
4.1.3.
Рабочие чертежи стальных конструкций должны соответствовать требованиям по
изготовлению (ГОСТ 23118) и монтажу конструкций (СНиП 3.03.01).
В рабочих чертежах
конструкций (марок КМ и КМД) и в документации на заказ материалов следует
указывать:
марки стали и
дополнительные требования к ним, предусмотренные государственными стандартами
или техническими условиями и настоящими нормами;
способ выполнения
сварных соединений, вид и режим сварки; типы, марки, диаметры электродов и
материалов для автоматической и механизированной сварки, положение шва при
сварке, тип подкладки для стыковых швов;
классы прочности и
точности болтов;
способ подготовки
контактных поверхностей для фрикционных соединений;
расположение и
размеры сварных, болтовых и фрикционных соединений с указанием выполнения их в
заводских или монтажных условиях и, при необходимости, последовательность
наложения швов и установки болтов;
способы и объем
контроля качества;
требования к защите
конструкций от коррозии.
4.2. Основные расчетные требования
4.2.1. Стальные
конструкции и их расчет должны удовлетворять требованиям ГОСТ 27751.
Расчет стальных
конструкций следует выполнять с учетом назначения конструкций, условий их
изготовления, транспортирования, монтажа и эксплуатации, а также свойств
материалов.
В расчетных схемах
должны быть учтены деформационные характеристики опорных закреплений, оснований
и фундаментов.
4.2.2. При расчете
конструкций значения нагрузок и воздействий, а также предельные значения
прогибов и перемещений элементов конструкций следует принимать согласно
требованиям СП 20.13330, СНиП 2.09.03 и разделов 16 и 17 настоящих норм.
4.2.3. За
расчетную температуру в районе строительства следует принимать температуру
наружного воздуха наиболее холодных суток обеспеченностью 0,98, определенную
согласно СНиП 23-01.
Расчетная
технологическая температура устанавливается заданием на разработку строительной
части проекта.
4.2.4. Расчетные
схемы и основные предпосылки расчета должны отражать действительные условия
работы стальных конструкций.
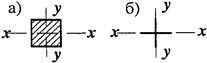
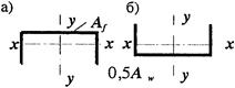
Рассматриваются
следующие расчетные модели несущих конструкций:
отдельные
конструктивные элементы (например, растянутые и сжатые стержни, балки, стойки и
колонны сплошного сечения и др.);
плоские или
пространственные системы, раскрепленные (несвободные - рисунок 1, а); систему
следует считать раскрепленной, если конструкция раскрепления не менее чем в 5
раз уменьшает горизонтальные перемещения системы; расчет таких конструкций
может быть выполнен путем расчета отдельных элементов с учетом их
взаимодействия между собой и с основанием;
плоские или
пространственные системы, нераскрепленные (свободные - рисунок 1, б); при
расчете таких конструкций, наряду с проверкой отдельных элементов, следует
учитывать возможность достижения предельного состояния системы в целом;
листовые
конструкции (оболочки вращения).


Рисунок 1.
Схемы систем раскрепленных (а)
и не раскрепленных
от перемещений (б)
4.2.5.
Пространственные стальные конструкции следует, как правило, рассчитывать как
единые системы с учетом факторов, определяющих напряженное и деформированное
состояние, особенности взаимодействия элементов конструкций между собой и с
основанием, геометрической и физической нелинейности, свойств материалов и
грунтов.
Допускается
выполнять проверку устойчивости стержневых конструкций (в том числе
пространственных) с использованием сертифицированных вычислительных комплексов
как идеализированных систем в предположении упругих деформаций стали.
4.2.6.
Оценку общей устойчивости каркаса допускается производить по недеформированной
схеме для каркасов рамной (с жесткими узлами ригелей с колоннами),
рамно-связевой (рамный каркас с вертикальными диафрагмами жесткости или
жесткими вставками) или связевой (безригельный каркас или с нежесткими узлами
ригелей с колоннами) систем, которые имеют в своем составе продольные и
поперечные рамы и связи, установленные в соответствии с 15.4 настоящих норм.
В рамно-связевой
или в связевой системах, когда узлы связевого блока не совпадают с узлами
каркаса, расчет следует выполнять по деформированной схеме (с учетом
геометрической нелинейности системы).
4.2.7.
Элементы конструкций, рассматриваемые в настоящих нормах, подразделяются на три
класса в зависимости от напряженно-деформированного состояния (НДС) расчетного
сечения:
1-й класс - НДС,
при котором напряжения по всей площади сечения не превышают расчетного
сопротивления стали
(упругое состояние сечения);
2-й класс - НДС,
при котором в одной части сечения
,
а в другой
(упругопластическое состояние сечения);
3-й класс - НДС,
при котором по всей площади сечения
(пластическое состояние сечения, условный
пластический шарнир).
4.2.8. Буквенные
обозначения величин, использованные в настоящих нормах, приведены в Приложении
Б.
4.3. Учет назначения и условий работы конструкций
4.3.1. В
зависимости от назначения, условий работы и наличия сварных соединений
конструкции следует подразделять на четыре группы согласно Приложению В
настоящих норм.
4.3.2. При расчете
конструкций и соединений следует учитывать:
коэффициенты
надежности по ответственности
,
принимаемые согласно требованиям СНиП 2.01.07;
коэффициент
надежности
для элементов конструкций, рассчитываемых на
прочность с использованием расчетных сопротивлений
;
коэффициенты
условий работы элементов конструкций и соединений
,
и
,
принимаемые по таблице 1; пункту 7.1.2; таблице 45 и разделам 14, 16, 17 и 18
настоящих норм.
┌────────────────────────────────────────────────────────────┬────────────┐
│ Элементы конструкций │Коэффициенты│
│
│ условий │
│
│ работы │
│ │ гамма
│
│
│ c │
├────────────────────────────────────────────────────────────┼────────────┤
│ 1. Балки сплошного сечения и сжатые элементы
ферм │ 0,90
│
│перекрытий
под залами театров, клубов, кинотеатров, под
│ │
│трибунами,
под помещениями магазинов, книгохранилищ и
│ │
│архивов
и т.п. при временной нагрузке, не превышающей вес │
│
│перекрытий
│ │
│ 2. Колонны общественных зданий при
постоянной нагрузке, │ 0,95
│
│равной
не менее 0,8 расчетной, и опор водонапорных башен │ │
│ 3. Колонны одноэтажных производственных
зданий с мостовыми │ 1,05 │
│кранами
│ │
│ 4. Сжатые основные элементы (кроме опорных)
решетки │ 0,80
│
│составного
таврового сечения из двух уголков в сварных
│ │
│фермах
покрытий и перекрытий при расчете на устойчивость │ │
│указанных
элементов с гибкостью лямбда > 60 │ │
│ 5. Растянутые элементы (затяжки, тяги,
оттяжки, подвески) │ 0,90
│
│при
расчете на прочность по неослабленному сечению │ │
│ 6. Элементы конструкций из стали с пределом
текучести до │ 1,10
│
│440
Н/мм2, несущие статическую нагрузку, при расчете на │ │
│прочность
по сечению, ослабленному отверстиями для болтов │ │
│(кроме
фрикционных соединений) │ │
│ 7. Сжатые элементы решетки пространственных
решетчатых │ │
│конструкций
из одиночных уголков, прикрепляемые одной полкой│ │
│(для
неравнополочных уголков - большей полкой): │ │
│ а) непосредственно к поясам сварными швами
либо двумя │ │
│болтами
и более, установленными вдоль уголка: │ │
│ раскосы по рисунку 15, а и распорки по рисунку
15, б, в, е│ 0,90 │
│ раскосы по рисунку 15, в, г, д, е │ 0,80
│
│ б) непосредственно к поясам одним болтом или
через фасонку│ 0,75 │
│независимо
от вида соединения
│ │
│
8. Сжатые элементы из одиночных уголков, прикрепляемых │
0,75 │
│одной
полкой (для неравнополочных уголков - меньшей полкой),│ │
│за
исключением элементов плоских ферм из одиночных уголков и│ │
│элементов,
указанных в позиции 7 настоящей таблицы, раскосов│ │
│по
рисунку 15, б, прикрепляемых непосредственно к поясам │ │
│сварными
швами либо двумя болтами и более, установленными │ │
│вдоль
уголка, и плоских ферм из одиночных уголков │ │
│ 9. Опорные плиты из стали с пределом
текучести до │ │
│390
Н/мм2, несущие статическую нагрузку, толщиной, мм: │ │
│ а) до 40 │ 1,20
│
│ б) " 40 до 60 │ 1,15
│
│ в) " 60 " 80 │ 1,10
│
├────────────────────────────────────────────────────────────┴────────────┤
│ Примечания.
1. Коэффициенты гамма
< 1 при
расчете совместно│
│ с │
│учитывать
не следует.
│
│ 2. При расчете на прочность по сечению,
ослабленному отверстиями для│
│болтов,
коэффициенты условий работы, приведенные в позициях 6 и 1; 6 и 2;│
│6
и 3, следует учитывать совместно. │
│ 3. При расчете опорных плит коэффициенты,
приведенные в позициях 9 и│
│2,
9 и 3, следует учитывать совместно. │
│ 4. Коэффициенты для элементов, приведенных
в позициях 1 и 2, следует│
│учитывать
также при расчете их соединений. │
│ 5. В случаях, не оговоренных в настоящей
таблице, в формулах следует│
│принимать
гамма = 1.
│
│ c │
└─────────────────────────────────────────────────────────────────────────┘
Отношение
критической нагрузки к расчетной для стержневых конструкций, рассчитываемых как
идеализированные пространственные системы с использованием сертифицированных
вычислительных комплексов (согласно 4.2.5, 4.2.6), должно быть не меньше
коэффициента надежности по устойчивости системы
.
4.3.3. При
проектировании конструкций, подвергающихся непосредственному воздействию
подвижных, вибрационных и других переменных нагрузок, вызывающих усталость
металла, следует применять такие конструктивные решения, которые не вызывают
значительной концентрации напряжения, и следует выполнять расчет на усталость.
4.3.4. При
проектировании конструкций, возводимых или эксплуатируемых в условиях низких
температур, при которых повышается возможность хрупкого разрушения, следует
учитывать требования к материалу, конструированию и технологии изготовления.
4.3.5. При
проектировании сварных конструкций следует снижать вредное влияние остаточных
деформаций и напряжений, в том числе сварочных, а также концентрации
напряжений, предусматривая соответствующие конструктивные решения (с наиболее
равномерным распределением напряжений в элементах и деталях, без входящих
углов, резких перепадов сечения и других концентраторов напряжений) и
технологические мероприятия (порядок сборки и сварки, предварительный выгиб,
механическую обработку соответствующих зон путем строжки, фрезерования,
зачистки абразивным кругом и др.).
5. Материалы для конструкций и соединений
5.1. При назначении
стали для конструкций следует учитывать группу конструкций, расчетную температуру,
требования по ударной вязкости и химическому составу согласно Приложению В.
КонсультантПлюс:
примечание.
ГОСТ 8731-87
отменен с 1 января 1995 года (Указатель "Отмененные и замененные
национальные стандарты", М.: ФГУП "Стандартинформ", 2009).
Действует ГОСТ 8731-74.
5.2. Для
конструкций следует использовать фасонный (уголки, двутавры, швеллеры),
листовой, широкополосный универсальный прокат и гнутые профили с техническими
требованиями по ГОСТ 27772, ГОСТ 14637, ГОСТ 535, ГОСТ 19281, тонколистовой
прокат из углеродистой стали по ГОСТ 16523 и из стали повышенной прочности - по
ГОСТ 17066, холодногнутые профили по ГОСТ 11474, профили гнутые замкнутые
квадратные и прямоугольные по ГОСТ 30245, сортовой прокат (круг, квадрат,
полоса) по ГОСТ 535 и ГОСТ 19281, электросварные трубы по ГОСТ 10705 и ГОСТ
10706, горячедеформированные трубы по ГОСТ 8731.
Допускается
использовать другие материалы, имеющие сертификат соответствия установленной
формы, при условии выполнения требований Приложения В настоящих норм к
механическим свойствам и химическому составу.
В зависимости от
особенностей конструкций и узлов рекомендуется при заказе стали учитывать
классификацию листового проката в зависимости от значения относительного
сужения по ГОСТ 28870.
Для обеспечения
предела огнестойкости (45 мин) для всех групп, согласно Приложению В, открытых
конструкций (см. 4.1.3) независимо от расчетной температуры следует назначать
прокат из стали 06МБФ по ТУ 14-1-5399, имеющей расчетные характеристики стали
С345-4 по ГОСТ 27772, или прокат из других сталей, обеспечивающих предел
огнестойкости 45 мин.
5.3. Для отливок
(опорных частей и т.п.) следует применять сталь марок 15Л, 25Л, 35Л и 45Л,
удовлетворяющую требованиям ГОСТ 977 для групп: II (отливки ответственного
назначения для деталей, рассчитываемых на прочность, работающих при статических
и переменных нагрузках) или III (отливки особо ответственного назначения для
деталей, рассчитываемых на прочность, работающих при динамических нагрузках).
Расчетные сопротивления отливок из серого чугуна следует принимать по таблице
В.9.
Для отливок групп
II и III могут применяться низколегированные стали по согласованию с
организацией - составителем норм.
5.4. Для сварки
стальных конструкций следует применять: электроды для ручной дуговой сварки по ГОСТ
9467, сварочную проволоку по ГОСТ 2246, флюсы по ГОСТ 9087, порошковую
проволоку по ГОСТ 26271 для автоматической и механизированной сварки в
соответствии с таблицей Г.1, а также углекислый газ по ГОСТ 8050, аргон по ГОСТ
10157.
Применяемые
сварочные материалы и технология сварки должны обеспечивать значение временного
сопротивления металла шва не ниже нормативного значения временного
сопротивления
основного металла, а также значения твердости,
ударной вязкости и относительного удлинения металла сварных соединений,
установленные соответствующими стандартами и техническими условиями.
5.5. Для
болтовых соединений следует применять стальные болты и гайки, удовлетворяющие
техническим требованиям ГОСТ 1759.0, ГОСТ Р 52627, ГОСТ Р 52628, и шайбы,
удовлетворяющие требованиям ГОСТ 18123, а также высокопрочные болты, указанные
в 5.6.
Болты следует
применять по ГОСТ 7798 и ГОСТ 7805 согласно требованиям таблицы Г.3.
Гайки следует
применять по ГОСТ 5915 и ГОСТ 5927. При работе болтов на срез и растяжение
классы прочности гаек следует принимать в соответствии с классом прочности
болтов: 5 - при 5.6; 8 - при 8.8; 10 - при 10.9; 12 - при 12.9.
При работе болтов
только на срез допускается применять класс прочности гаек при классе прочности
болтов: 4 - при 5.6 и 5.8; 5 - при 8.8; 8 - при 10.9; 10 - при 12.9.
Шайбы следует
применять: круглые по ГОСТ 11371, косые - по ГОСТ 10906 и пружинные нормальные
- по ГОСТ 6402.
Высокопрочными
болтами следует считать болты класса прочности не ниже 10.9.
5.6. Для
фрикционных и фланцевых соединений следует применять высокопрочные болты, гайки
и шайбы, удовлетворяющие требованиям ГОСТ Р 52643, а их конструкцию и размеры
болтов принимать по ГОСТ Р 52644, гайки и шайбы к ним - по ГОСТ Р 52645 и ГОСТ
Р 52646.
Для фланцевых
соединений следует применять высокопрочные болты климатического исполнения ХЛ.
5.7. Допускается
применение высокопрочных болтов по другим стандартам и ТУ с техническими
требованиями не ниже указанных в ГОСТ Р 52643 при наличии сертификата
установленной формы.
5.8. Выбор
марок стали для фундаментных болтов следует производить по ГОСТ 24379.0 и
требованиям, приведенным в таблице Г.4, а их конструкцию и размеры принимать по
ГОСТ 24379.1.
Болты (U-образные)
для крепления оттяжек антенных сооружений связи, а также U-образные и
фундаментные болты опор воздушных линий электропередачи и распределительных
устройств следует применять из стали марок, также указанных в таблице Г.4.
Анкерные болты
следует применять согласно требованиям СНиП 2.09.03.
5.9. Гайки для
фундаментных и U-образных болтов диаметром до 48 мм следует применять по
техническим требованиям ГОСТ 5915 с техническими требованиями по ГОСТ Р 52628,
свыше 48 мм - по ГОСТ 10605.
Для фундаментных
болтов из стали Ст3пс2, Ст3сп2, Ст3пс4, Ст3сп4 диаметром до 48 мм следует
применять гайки класса прочности 4 по ГОСТ Р 52628, диаметром свыше 48 мм - из
материала не ниже группы 02 по ГОСТ 18126.
Для фундаментных
болтов диаметром до 48 мм из стали марки 09Г2С и других сталей по ГОСТ 19281
следует применять гайки класса прочности не ниже 5-го по ГОСТ Р 52628,
диаметром свыше 48 мм - из материала не ниже группы 05 по ГОСТ 18126.
Допускается применять гайки из стали марок, принимаемых для болтов.
5.10. Для шарниров,
катков и болтов, работающих в качестве шарниров, а также подкладных листов под
катки, следует применять поковки по СНиП 2.05.03.
5.11. Для несущих
элементов висячих покрытий, оттяжек опор воздушных линий электропередачи,
распределительных устройств, контактных сетей транспорта, мачт и башен, а также
напрягаемых элементов в предварительно напряженных конструкциях следует
применять:
канаты спиральные
по ГОСТ 3062; ГОСТ 3063; ГОСТ 3064;
канаты двойной
свивки по ГОСТ 3066; ГОСТ 3067; ГОСТ 3068; ГОСТ 3081; ГОСТ 7669; ГОСТ 14954;
канаты закрытые
несущие по ГОСТ 3090; ГОСТ 18901; ГОСТ 7675; ГОСТ 7676;
пучки и пряди
параллельных проволок, формируемых из канатной проволоки, удовлетворяющей
требованиям ГОСТ 7372.
5.12. Физические
характеристики материалов, применяемых для стальных конструкций, следует
принимать согласно Приложению Г.
6. Расчетные характеристики материалов и соединений
6.1.
Расчетные сопротивления проката, гнутых профилей и труб для различных видов
напряженных состояний следует определять по формулам, приведенным в таблице 2,
где нормативные сопротивления
и
следует принимать согласно стандартам и
техническим условиям.
Таблица 2
──────────────────────────────────────────────┬────────────────────────────
Напряженное состояние │ Расчетные сопротивления
│ проката и труб
──────────────────────────────────────────────┴────────────────────────────
Растяжение,
сжатие, изгиб:
по пределу
текучести ![]()
по временному
сопротивлению ![]()
Сдвиг ![]()
Смятие:
торцевой поверхности (при наличии
пригонки) ![]()
местное в цилиндрических шарнирах
(цапфах) ![]()
при
плотном касании
Диаметральное
сжатие катков (при
свободном ![]()
касании
в конструкциях с ограниченной
подвижностью)
───────────────────────────────────────────────────────────────────────────
Значения
коэффициентов надежности по материалу
проката, гнутых профилей и труб следует
принимать по таблице 3.
Таблица 3
┌────────────────────────────────────────────────────────────┬────────────┐
│ Государственный стандарт или технические
условия │Коэффициент │
│ на прокат и трубы │ надежности │
│
│по материалу│
│
│ гамма │
│ │ m
│
├────────────────────────────────────────────────────────────┼────────────┤
│ГОСТ
27772 (кроме сталей С590 и С590К) и другая нормативная │ 1,025
│
│документация,
использующая процедуру контроля свойств
│ │
│проката
по ГОСТ 27772 │ │
├────────────────────────────────────────────────────────────┼────────────┤
КонсультантПлюс: примечание.
ГОСТ 8731-87 отменен с 1 января
1995 года (Указатель "Отмененные и
замененные национальные
стандарты", М.: ФГУП
"Стандартинформ",
2009).
Действует
ГОСТ 8731-74.
│Для
проката с пределом текучести свыше 380 Н/мм2
│ 1,100
│
│по
ГОСТ 19281, для труб по ГОСТ 8731 │ │
├────────────────────────────────────────────────────────────┼────────────┤
│Для
остального проката и труб, соответствующих требованиям │
1,050 │
│настоящих
норм │ │
├────────────────────────────────────────────────────────────┼────────────┤
│Для
проката и труб, поставляемых по зарубежной нормативной │
1,100 │
│документации
│ │
└────────────────────────────────────────────────────────────┴────────────┘
Значения
нормативных и расчетных сопротивлений при растяжении, сжатии и изгибе
листового, широкополосного универсального и фасонного проката приведены в таблице
В.5, труб - в таблице В.6.
Значения расчетных
сопротивлений проката смятию торцевой поверхности, местному смятию в
цилиндрических шарнирах и диаметральному сжатию катков приведены в таблице В.7.
6.2. Расчетные
сопротивления гнутых профилей следует принимать равными расчетным сопротивлениям
листового проката, из которого они изготовлены.
6.3. Значения
расчетных сопротивлений отливок из углеродистой стали следует принимать по таблице
В.8.
6.4.
Расчетные сопротивления сварных соединений для различных видов соединений и
напряженных состояний следует определять по формулам, приведенным в таблице 4.
Таблица 4
──────────┬──────────────────────────┬──────────────┬──────────────────────
Сварные
│ Напряженное
состояние │Характеристика│ Расчетные
соединения│ │ расчетного
│ сопротивления
│ │сопротивления │ сварных соединений
──────────┼──────────────────────────┼──────────────┼──────────────────────
Стыковые │Сжатие, растяжение и изгиб│По
пределу │ R
= R
│при автоматической, │текучести │ wy
y
│механизированной или ├──────────────┼──────────────────────
│ручной сварке с физическим│По
временному │ R = R
│контролем качества шва │сопротивлению │ wu
u
├──────────────────────────┼──────────────┼──────────────────────
│Растяжение и изгиб │По пределу │
R = 0,85R
│при автоматической, │текучести │ wy
y
│механизированной │ │
│или ручной сварке │ │
├──────────────────────────┼──────────────┼──────────────────────
│Сдвиг │ │ R
= R
│ │ │ ws
s
──────────┼──────────────────────────┼──────────────┼──────────────────────
С
угловыми│Срез (условный) │По
металлу шва│R = 0,55R /гамма
швами │
│ │ wf wun
wm
│ ├──────────────┼──────────────────────
│ │По
металлу │ R
= 0,45R
│ │границы │ wz
un
│ │сплавления │
──────────┴──────────────────────────┴──────────────┴──────────────────────
Примечание.
Значения коэффициентов надежности
по металлу шва ![]()
следует принимать
равными: 1,25 - при
; 1,35
- при
.
───────────────────────────────────────────────────────────────────────────
Расчетное
сопротивление сварного стыкового соединения элементов из сталей с разными
нормативными сопротивлениями следует принимать как для стыкового соединения из
стали с меньшим значением нормативного сопротивления.
Значения
нормативных
и расчетных
сопротивлений металла угловых швов приведены в
таблице Г.2.
6.5.
Расчетные сопротивления одноболтового соединения следует определять по
формулам, приведенным в таблице 5.
Таблица 5
───────────┬────────┬──────────────────────────────────────────────────────
Напряженное│Условное│ Расчетные сопротивления одноболтовых
соединений
состояние │обозна- ├──────────────────────────────────────────┬───────────
│чение
│ срезу и растяжению
болтов классов │ смятию
│ │ прочности │соединяемых
│ ├────────┬────────┬───────┬───────┬────────┤
элементов
│ │
5.6 │ 5.8 │ 8.8 │
10.9 │ 12.9 │
───────────┼────────┼────────┼────────┼───────┴───────┼────────┼───────────
Срез │
R │0,42R │0,41R │
0,40R │0,35R │
-
│ bs │ bun│ bun│ bun
│ bun│
───────────┼────────┼────────┼────────┼───────────────┼────────┼───────────
Растяжение
│ R │0,45R │
- │ 0,54R
│ - │
-
│ bt │ bun│ │ bun
│ │
───────────┼────────┼────────┴────────┴───────────────┴────────┼───────────
Смятие: │R
<*> │
- │ 1,60R
болты
│ bp │ │ u
класса
│ │ │
точности A│ │ │
───────────┤ ├──────────────────────────────────────────┼───────────
болты
│ │ - │ 1,35R
класса
│ │ │ u
точности B│ │ │
───────────┴────────┴──────────────────────────────────────────┴───────────
<*>
следует
определять для соединяемых
элементов из стали
с
пределом
текучести до 440 Н/мм2.
───────────────────────────────────────────────────────────────────────────
Значения
нормативных и расчетных сопротивлений срезу и растяжению стали болтов в
одноболтовых соединениях приведены в таблице Г.5, а смятию элементов,
соединяемых болтами, в таблице Г.6.
6.6.
Расчетное сопротивление растяжению фундаментных и анкерных болтов
следует определять по формуле
. (1)
Значения расчетных
сопротивлений растяжению фундаментных болтов приведены в таблице Г.7.
Расчетное
сопротивление растяжению U-образных болтов
,
указанных в 5.8, следует определять по формуле
. (2)
6.7.
Расчетное сопротивление растяжению
высокопрочных болтов, указанных в 5.5, следует
определять по формуле
, (3)
где
- нормативное сопротивление болта, принимаемое
согласно таблице Г.8.
6.8. Расчетное
сопротивление растяжению высокопрочной стальной проволоки
,
применяемой в виде пучков или прядей, следует определять по формуле
. (4)
6.9. Значение
расчетного сопротивления (усилия) растяжению стального каната следует принимать
равным значению разрывного усилия каната в целом, установленному
государственными стандартами или техническими условиями на стальные канаты,
деленному на коэффициент надежности по материалу
.
7. Расчет элементов стальных конструкций
при центральном
растяжении и сжатии
7.1. Расчет элементов сплошного сечения
7.1.1. Расчет на
прочность элементов из стали с нормативным сопротивлением
при центральном растяжении или сжатии силой N
следует выполнять по формуле
Расчет на прочность
растянутых элементов, эксплуатация которых возможна и после достижения металлом
предела текучести, а также растянутых или сжатых элементов из стали с
нормативным сопротивлением
следует выполнять по формуле (5) с заменой
значения
на
.
7.1.2.
Расчет на прочность сечений в местах крепления растянутых элементов из
одиночных уголков, прикрепляемых одной полкой болтами, следует выполнять по формуле
(5), а сечений растянутого одиночного уголка из стали с пределом текучести до
380 Н/мм2, прикрепляемого одной полкой болтами, поставленными в один ряд по
оси, расположенной на расстоянии не менее 0,5b (b - ширина полки уголка) от
обушка уголка и не менее 1,2d (d - диаметр отверстия для болта с учетом
положительного допуска) от пера уголка, по формуле
где
.
Здесь
- площадь сечения уголка нетто;
- площадь части сечения прикрепляемой полки уголка между краем отверстия
и пером;
,
,
- коэффициенты, принимаемые по таблице 6.
┌───────┬─────────────────────────────────────────────────────────────────┐
│Коэффи-│ Значения коэффициентов альфа ,
альфа и бета │
│циенты
│
1 2 │
│ ├──────────────────────────────────┬──────────────────────────────┤
│ │ при одном болте и расстоянии
a, │ при a >= 1,5d и s >= 2d
при │
│ │ равном │ количестве болтов в ряду │
│ ├────────────┬──────────┬──────────┼──────────┬─────────┬─────────┤
│ │ 1,35d <*> │
1,5d │ 2d
│ 2 │
3 │ 4 │
├───────┼────────────┼──────────┼──────────┼──────────┼─────────┼─────────┤
│альфа │
1,70 │ 1,70
│ 1,70 │
1,77 │ 1,45 │ 1,17 │
│ 1 │ │ │ │ │ │ │
│альфа │
0,05 │ 0,05
│ 0,05 │
0,19 │ 0,36 │ 0,47 │
│ 2 │ │ │ │ │ │ │
│бета │
0,65 │ 0,85
│ 1,0 │
1,0 │ 1,0 │ 1,0 │
├───────┴────────────┴──────────┴──────────┴──────────┴─────────┴─────────┤
│
<*> Только для
элементов решеток (раскосов
и распорок), кроме│
│постоянно
работающих на растяжение, при толщине полки до 6 мм. │
│ │
│ Обозначения, принятые в таблице 6: │
│ a - расстояние вдоль усилия от края элемента
до центра ближайшего│
│отверстия;
│
│ s - расстояние вдоль усилия между центрами
отверстий. │
└─────────────────────────────────────────────────────────────────────────┘
При расчете тяг и
поясов траверс, элементов опор ВЛ, ОРУ и КС, непосредственно примыкающих к
узлам крепления проводов, а также элементов, соединяющих в стойках узлы
крепления тяг и растянутых поясов траверс, коэффициент
следует уменьшить на 10%.
7.1.3.
Расчет на устойчивость элементов сплошного сечения при центральном сжатии силой
N и удовлетворяющих требованиям 7.3.2 - 7.3.9 следует выполнять по формуле
где
- коэффициент устойчивости при центральном
сжатии, значение которого при
следует определять по формуле
Значение
коэффициента
в формуле (8) следует вычислять по формуле
где
- условная гибкость стержня;
и
- коэффициенты, определяемые по таблице 7 в
зависимости от типов сечений.
────────────────────────────────────────────────────────────────┬──────────
Тип сечения │Значения
│коэффици-
│ентов
───────┬────────────────────────────────────────────────────────┼─────┬────
Обозна-│ Форма │альфа│бета
чение │
│ │
───────┴────────────────────────────────────────────────────────┴─────┴────
a
0,03 0,06
───────────────────────────────────────────────────────────────────────────
b
0,04
0,09
───────────────────────────────────────────────────────────────────────────
c
0,04
0,14
───────────────────────────────────────────────────────────────────────────
Примечание. Для прокатных двутавров высотой
свыше 500 мм при расчете на
устойчивость
в плоскости стенки следует принимать тип сечения a.
───────────────────────────────────────────────────────────────────────────
Значения
коэффициента
,
вычисленные по формуле (8), следует принимать не более
при значениях условной гибкости свыше 3,8; 4,4
и 5,8 для типов сечений соответственно a, b и c.
При значениях
для всех типов сечений допускается принимать
.
Значения
коэффициента
приведены в Приложении Д.
7.1.4. Расчет на
устойчивость стержней из одиночных уголков следует выполнять с учетом
требований 7.1.3. При определении гибкости этих стержней радиус инерции сечения
уголка и расчетную длину следует принимать согласно требованиям 10.1.4 и 10.2.1.
При расчете поясов
и элементов решетки пространственных конструкций из одиночных уголков следует
выполнять требования 16.12.
7.1.5. Сжатые
элементы со сплошными стенками открытого П-образного сечения (рисунок 2)
рекомендуется укреплять планками или решеткой, при этом должны быть выполнены
требования 7.2.2; 7.2.3; 7.2.7 и 7.2.8.

а - открытое; б, в
- укрепленные планками или решетками
Рисунок 2.
П-образные сечения элементов
При отсутствии
планок или решеток такие элементы, помимо расчета по формуле (7) в главных
плоскостях x - x и y - y, следует проверять на устойчивость при
изгибно-крутильной форме потери устойчивости по формуле
, (10)
здесь
- коэффициент, принимаемый равным
при
;
при
,
где значение
следует вычислять по формуле
. (11)
В формуле (11)
коэффициент
следует определять согласно Приложению Д.
7.1.6. Соединение
пояса со стенкой в центрально-сжатом элементе составного сплошного сечения
следует рассчитывать по формулам таблицы 43 раздела 14.4 на сдвиг от условной
поперечной силы
,
определяемой по формуле (18), при этом коэффициент
следует принимать в плоскости стенки.
7.2. Расчет элементов сквозного сечения
7.2.1. Расчет на
прочность элементов сквозного сечения при центральном растяжении и сжатии
следует выполнять по формуле (5), где
- площадь сечения нетто всего стержня.
7.2.2.
Расчет на устойчивость сжатых стержней сквозного сечения, ветви которых
соединены планками или решетками, следует выполнять по формуле (7); при этом
коэффициент
относительно свободной оси (перпендикулярной
плоскости планок или решеток) следует определять по формулам (8) и (9) для
сечений типа b с заменой в них
на
.
Значение
следует определять в зависимости от значений
,
приведенных в таблице 8 для стержней с числом панелей, как правило, не менее
шести.
─────┬───────────────────────┬─────────────────────────────────────────────────────────────────────────
Тип │ Схема сечения │ Приведенная гибкость лямбда стержня сквозного сечения
сече-│ │ ef
ния │ ├───────────────────────────────────────┬─────────────────────────────────
│ │ с планками │ с решетками
─────┴───────────────────────┴───────────────────────────────────────┴─────────────────────────────────
где
где ![]()

───────────────────────────────────────────────────────────────────────────────────────────────────────
где
;
где
; ![]()
(
и
относятся к сторонам
соответственно
и
)

───────────────────────────────────────────────────────────────────────────────────────────────────────
где
где ![]()

───────────────────────────────────────────────────────────────────────────────────────────────────────
Обозначения, принятые в таблице 8:
- гибкость сквозного стержня в целом в
плоскости, перпендикулярной
оси
y - y;
- наибольшая из гибкостей сквозного стержня в
целом в плоскостях,
перпендикулярных
оси x - x или y - y;
,
,
-
гибкости отдельных ветвей
при изгибе в плоскостях,
перпендикулярных осям
соответственно 1 - 1, 2 - 2 и 3 - 3, на участках
между
сварными швами или крайними болтами, прикрепляющими планки;
b
,
)
- расстояние между осями ветвей;
d,
- размеры, определяемые по рисункам 3 и 4;
A - площадь сечения всего стержня;
,
-
площади сечений раскосов
решеток (при крестовой
решетке
- двух
раскосов), расположенных соответственно в
плоскостях,
перпендикулярных
осям 1 - 1 и 2 - 2;
- площадь
сечения раскоса решетки
(при крестовой решетке - двух
раскосов), лежащей
в плоскости одной
грани (для трехгранного
равностороннего
стержня);
,
-
моменты инерции сечения
ветвей относительно осей
соответственно
1 - 1 и 3 - 3 (для сечений типов 1 и 3);
,
- то же, двух уголков относительно осей соответственно 1 - 1 и
2
- 2 (для сечения типа 2);
- момент инерции сечения одной планки относительно
собственной оси
x
- x (рисунок 4; для сечений типов 1 и 3);
,
- момент
инерции сечения одной
из планок, расположенных в
плоскостях,
перпендикулярных осям соответственно 1 - 1 и 2 - 2 (для сечения
типа
2).
Примечание. К типу 1
также следует относить сечения, у которых вместо
швеллеров
применены двутавры, трубчатые и
другие профили для одной или
обеих
ветвей; при этом
оси y - y и 1 - 1 должны проходить через центры
тяжести
соответственно сечения в целом и отдельной ветви, а значения n и ![]()
в
формуле (12) должны обеспечить наибольшее значение
.
───────────────────────────────────────────────────────────────────────────────────────────────────────

а - треугольная; б
- треугольная с распорками;
в - крестовая; г -
крестовая с распорками
Рисунок 3.
Схемы решеток сквозных стержней

Рисунок 4.
Сквозной стержень с планками
Расчет на
устойчивость сквозных стержней с числом панелей менее шести допускается
выполнять:
при планках - как
расчет рамных систем;
при решетках -
согласно требованиям 7.2.5.
7.2.3. В
сквозных стержнях с планками условная гибкость отдельной ветви
,
или
(см. таблицу 8) на участке между сварными
швами или крайними болтами, прикрепляющими планки, должна быть не более 1,4.
При наличии в одной
из плоскостей сплошного листа вместо планок (см. рисунок 2, б и в) гибкость
ветви следует вычислять по радиусу инерции полусечения относительно его
центральной оси, перпендикулярной плоскости планок.
7.2.4. В
сквозных стержнях с решетками помимо расчета на устойчивость стержня в целом
следует проверять устойчивость отдельных ветвей на участках между узлами. При
необходимости следует учитывать влияние моментов в узлах, например от
расцентровки элементов решетки.
В сквозных стержнях
с решетками условная гибкость отдельных ветвей между узлами должна быть не
более 2,7 и не должна превышать условную приведенную гибкость
стержня в целом.
Допускается
принимать более высокие значения условной гибкости ветвей, но не более 4,1 при
условии, что расчет таких стержней выполнен согласно требованиям 7.2.5.
7.2.5.
Расчет сквозных стержней с решетками с учетом указанных в 7.2.2 и 7.2.4
допущений следует выполнять по формуле (7) с заменой в ней значения
на
.
При этом
коэффициент устойчивости
для отдельной ветви при
следует принимать равным 1,0, а при
- определять по формуле (8) при расчетной
длине
,
где
- длина ветви (на рисунке 3, а длина ветви -
).
В интервале
условных гибкостей
значение
допускается определять линейной интерполяцией
между 1,0 и значением
при
.
7.2.6. Расчет
стержней составных сечений из уголков, швеллеров и др., соединенных вплотную
или через прокладки, следует выполнять как сплошностенчатых при условии, что
участки между соединяющими сварными швами или центрами крайних болтов не
превышают для сжатых элементов 40i и для растянутых 80i. Здесь радиус инерции
сечения i-го уголка или швеллера следует принимать для тавровых или двутавровых
сечений относительно оси, параллельной плоскости расположения прокладок, а для
крестовых сечений - минимальный.
При этом в пределах
длины сжатого элемента следует предусматривать не менее двух промежуточных
связей (прокладок).
7.2.7.
Расчет соединительных планок и элементов решеток сжатых стержней сквозного
сечения должен выполняться на условную поперечную силу
,
принимаемую постоянной по всей длине стержня и определяемую по формуле
где N - продольное
усилие в сквозном стержне;
- коэффициент устойчивости при центральном сжатии (для сечения типа
в), принимаемый при расчете сквозного стержня в плоскости планок или решеток.
Условную поперечную
силу
следует распределять:
при наличии только
соединительных планок (решеток) - поровну между планками (решетками), лежащими
в плоскостях, перпендикулярных оси, относительно которой производится проверка
устойчивости;
при наличии
сплошного листа и соединительных планок (решеток) - пополам между листом и
планками (решетками), лежащими в плоскостях, параллельных листу;
при расчете
равносторонних трехгранных сквозных стержней - равной
для каждой системы соединительных планок
(решеток), расположенной в одной грани.
7.2.8.
Расчет соединительных планок и их прикреплений (см. рисунок 4) должен
выполняться как расчет элементов безраскосных ферм на совместное действие силы
,
срезывающей планку, и момента
,
изгибающего планку в ее плоскости, значения которых следует определять по
формулам:
; (19)
, (20)
где
- условная поперечная сила, приходящаяся на
планку одной грани.
7.2.9.
Расчет элементов соединительных решеток составных стержней следует выполнять
как расчет элементов решеток плоских ферм. При расчете раскосов решеток по рисунку
3 усилие в раскосе следует определять по формуле
, (21)
где
- коэффициент, принимаемый равным: 1,0 для
решетки по рисунку 3, а, б и 0,5 - по рисунку 3, в;
- условная поперечная сила, приходящаяся на одну плоскость решетки.
При расчете
раскосов крестовой решетки с распорками (рисунок 3, г) следует учитывать
дополнительное усилие
,
возникающее в каждом раскосе от обжатия ветвей и определяемое по формуле
, (22)
где
- здесь b,
,
d - размеры, указанные на рисунке 3;
- усилие в одной ветви стержня;
,
- площадь сечения одного раскоса и одной ветви
соответственно.
7.2.10. Расчет
стержней, предназначенных для уменьшения расчетной длины сжатых элементов,
должен выполняться на усилие, равное условной поперечной силе в основном сжатом
элементе, определяемой по формуле (18).
Расчет распорок,
предназначенных для уменьшения расчетной длины ветвей колонн в плоскости,
перпендикулярной плоскости поперечных рам, при наличии нагрузок от мостовых или
подвесных кранов, следует выполнять на условную поперечную силу, определяемую
по формуле (18), где значение N следует принимать равным сумме продольных сил в
двух ветвях колонн, соединенных распоркой.
7.3. Проверка устойчивости стенок и поясных листов центрально-сжатых
элементов сплошного сечения
7.3.1. При
проверке устойчивости стенок в качестве расчетной высоты
следует принимать (рисунок 5):
полную высоту
стенки - в сварных элементах;
расстояние между
ближайшими к оси элемента краями поясных уголков - в элементах с фрикционными
поясными соединениями;
расстояние между
началами внутренних закруглений - в прокатных профилях;
расстояние между
краями выкружек - в гнутых профилях.

Рисунок 5.
Расчетные размеры стенок, свесов полок,
поясных листов в
прокатных, составных и гнутых профилях
7.3.2.
Устойчивость стенок центрально-сжатых элементов сплошного сечения следует
считать обеспеченной, если условная гибкость стенки
не превышает значений предельной условной
гибкости
,
определяемых по формулам таблицы 9.
───────────────────────────────────────────────────────────────────────────
Сечение Условная Предельная условная гибкость
гибкость стенки ![]()
элемента ![]()
───────────────────────────────────────────────────────────────────────────
──────────────────────────────────────────────
> 2
(24)
───────────────────────────────────────────────────────────────────────────
<= 1 1,2 (25)
──────────────────────────────────────────────
> 1
(26)
───────────────────────────────────────────────────────────────────────────
<= 0,8 1,0 (27)
──────────────────────────────────────────────
> 0,8
(28)
───────────────────────────────────────────────────────────────────────────
───────────────────────────────────────────────────────────────────────────
Обозначения, принятые в таблице 9:
- условная гибкость элемента, принимаемая в
расчете на устойчивость
при
центральном сжатии;
- ширина полки тавра.
Примечания. 1. В коробчатом сечении
значение
следует определять для
пластинок, расположенных
параллельно плоскости, в
которой проверяется
устойчивость
элемента в целом.
2. В тавровом сечении
должно соблюдаться условие
;
при
или
в формуле (29)
следует принимать соответственно ![]()
или
.
3. Знак "<=" в формулах
означает, что значение
в
случае его
превышения
при расчете по формуле следует
принимать равным указанному
в
правой
части.
───────────────────────────────────────────────────────────────────────────
7.3.3.
Стенки центрально-сжатых элементов сплошного сечения (колонн, стоек, опор и
т.п.) при
,
как правило, следует укреплять поперечными ребрами жесткости с шагом от
до
;
на каждом отправочном элементе должно быть не менее двух ребер.
В сплошностенчатых
ветвях колонн сквозного сечения ребра жесткости допускается устанавливать
только в узлах крепления соединительных решеток (планок).
В стенке, укрепленной
только поперечными ребрами, ширина их выступающей части
должна быть для парного симметричного ребра не
менее
мм, для одностороннего ребра - не менее
мм; толщина ребра
должна быть не менее
.
Стенки допускается
укреплять односторонними поперечными ребрами жесткости из одиночных уголков,
приваренных к стенке пером. Момент инерции такого ребра, вычисляемый
относительно оси, совпадающей с ближайшей к ребру гранью стенки, должен быть не
менее чем для парного симметричного ребра.
7.3.4. В
центрально-сжатых элементах двутаврового сечения с расчетной высотой стенки
в случае укрепления стенки продольным ребром
жесткости, расположенным посередине и имеющим момент инерции сечения
при
,
следует значение
,
установленное в 7.3.2, умножить на коэффициент
. (30)
При расположении
ребра с одной стороны стенки его момент инерции следует вычислять относительно
оси, совпадающей с ближайшей гранью стенки.
В случае выполнения
продольного ребра в виде гофра стенки при вычислении
следует учитывать развернутую длину гофра.
Продольные ребра
жесткости следует включать в расчетные сечения элементов.
Минимальные размеры
выступающей части продольных ребер жесткости следует принимать как для
поперечных ребер согласно требованиям 7.3.3.
7.3.5. В случаях,
когда фактическое значение условной гибкости стенки
превышает предельное значение
,
вычисленное по формулам (23) - (29) таблицы 9, проверку устойчивости элемента
по формуле (7) допускается выполнять с учетом расчетной уменьшенной площади
сечения
,
определенной согласно 7.3.6.
7.3.6. При
расчете центрально- и внецентренно-сжатых стержней сплошного сечения в случаях,
когда фактическое значение условной гибкости стенки
превышает (при центральном сжатии не более чем
в 2 раза) значение предельной условной гибкости стенки
,
полученное согласно требованиям 7.3.2, а также 9.4.2 и 9.4.3, в формулах (7), а
также (109), (111), (115), (116), (120) и (121) допускается принимать расчетную
уменьшенную площадь сечения
взамен A.
Значение
следует вычислять по формулам:
для двутаврового и
швеллерного сечений
для коробчатого
сечения:
при центральном
сжатии
; (32)
при внецентренном
сжатии
. (33)
В формулах (31) -
(33) обозначено:
и
- расчетная и уменьшенная высота стенки,
расположенной параллельно плоскости, в которой проверяется устойчивость;
и
- расчетная и уменьшенная ширина пояса
коробчатого сечения, расположенного перпендикулярно плоскости, в которой
проверяется устойчивость.
Значение
в центрально-сжатых элементах следует
вычислять по формулам:
для двутаврового
сечения
где при
следует принимать
;
для коробчатого
сечения
где при
следует принимать
;
для швеллерного
сечения
. (36)
Значения
и
в формулах (34) - (36) для центрально-сжатых
элементов следует принимать согласно требованиям 7.3.2. При вычислении значения
для коробчатого сечения по формуле (35) вместо
,
,
и
следует принимать соответственно
,
,
и
,
при этом значение
следует определять согласно требованиям 7.3.10.
Значение
для внецентренно-сжатых элементов двутаврового
и коробчатого сечений следует вычислять по формулам соответственно (34) и (35);
при этом в этих формулах значения
и
следует принимать согласно требованиям 9.4.2.
7.3.7. При
проверке устойчивости поясных листов в качестве расчетной ширины свеса
следует принимать расстояние:
от грани стенки до
края поясного листа (полки) - в сварных элементах;
от оси крайнего
болта в поясе до края поясного листа - в элементах с фрикционными поясными
соединениями;
от начала
внутреннего закругления до края полки - в прокатных профилях;
от края выкружки до
края полки - в гнутых профилях (см. рисунок 5).
7.3.8.
Устойчивость поясных листов и полок центрально-сжатых элементов сплошного
сечения следует считать обеспеченной, если условная гибкость свеса пояса
(полки)
не превышает значений предельной условной
гибкости свеса пояса (полки)
,
определяемых по формулам таблицы 10, в которых при значениях
или
следует принимать соответственно
или
.
───────────────────────────────────────────────────────────────────────────
Сечение Предельная условная гибкость
свеса
(отгиба) полки
при гибкости
элемента ![]()
───────────────────────────────────────────────────────────────────────────
───────────────────────────────────────────────────────────────────────────
───────────────────────────────────────────────────────────────────────────
───────────────────────────────────────────────────────────────────────────
(40)
───────────────────────────────────────────────────────────────────────────
Обозначение, принятое в таблице 10:
- условная гибкость элемента, принимаемая
в расчете на устойчивость
при
центральном сжатии.
Примечание. Для свесов (отгибов)
полок (см. рисунок
5) предельные
значения условной
гибкости
, вычисленные
по формулам (37) и (38),
следует
умножать на коэффициент 1,5, а по формуле (39) - на 1,6.
───────────────────────────────────────────────────────────────────────────
7.3.9. В
центрально-сжатых элементах коробчатого сечения предельную условную гибкость
поясного листа
следует принимать по таблице 9 как для стенок
коробчатого сечения:
.
7.3.10.
Высота отгиба полки (стенки)
(см. рисунок 5) должна быть не менее
в элементах, не усиленных планками, и
- в элементах, усиленных планками (см. таблицу
10); при этом толщина ребра должна быть не менее
.
7.3.11. При
назначении сечений центрально-сжатых элементов по предельной гибкости (в
соответствии с требованиями раздела 10.4) значения предельных условных
гибкостей стенки
и поясов
,
определяемых соответственно по таблицам 9 и 10, допускается увеличивать
умножением на коэффициент
,
но не более чем на 1,25.
8. Расчет элементов стальных конструкций при изгибе
В зависимости от
назначения и условий эксплуатации конструкций расчет изгибаемых элементов
(балок) следует выполнять без учета или с учетом пластических деформаций в
соответствии с подразделением элементов на три класса согласно 4.2.7.
Балки 1-го класса
следует применять для всех видов нагрузок и рассчитывать в пределах упругих
деформаций; балки 2-го и 3-го классов следует применять для статических
нагрузок и рассчитывать с учетом развития пластических деформаций.
Балки крановых
путей под краны групп режимов работы 1К - 8К по ГОСТ 25546 при расчете на
прочность следует относить к 1-му классу.
Бистальные балки
следует относить ко 2-му классу и рассчитывать с учетом ограниченных
пластических деформаций в стенке, значения которых следует определять при
достижении расчетного сопротивления
в поясах, выполненных из более прочной стали.
8.2. Расчет на прочность изгибаемых элементов сплошного сечения
8.2.1.
Расчет на прочность балок 1-го класса следует выполнять по формулам:
при действии
момента в одной из главных плоскостей
; (41)
при действии в
сечении поперечной силы
при действии
моментов в двух главных плоскостях (и наличии бимомента)
где x и y -
расстояния от главных осей до рассматриваемой точки сечения;
при одновременном
действии в стенке балки момента и поперечной силы
где
- нормальное напряжение в срединной плоскости
стенки, параллельное продольной оси балки;
- то же, перпендикулярное продольной оси балки, в том числе
,
определяемое по формуле (47);
- касательное напряжение в стенке.
Напряжения
и
,
принимаемые в формуле (44) со своими знаками, а также
следует определять в одной и той же точке
стенки балки.
В балках,
рассчитываемых по формуле (43), значения напряжений в стенке балки должны быть
проверены по формуле (44) в двух главных плоскостях изгиба.
При ослаблении
стенки отверстиями для болтов левую часть формулы (42), а также значение
в формуле (44) следует умножать на коэффициент
,
определяемый по формуле
где s - шаг
отверстий в одном ряду;
d - диаметр
отверстия.
8.2.2.
Расчет на прочность стенки балки, не укрепленной ребрами жесткости, при
действии местного напряжения
в местах приложения нагрузки к верхнему поясу,
а также в опорных сечениях балки следует выполнять по формуле
, (46)
где
Здесь F - расчетное
значение нагрузки (силы);
- условная длина распределения нагрузки, определяемая по формулам:
для случаев по рисунку
6, а и б
для случая по рисунку
6, в
, (49)
где h - размер,
равный сумме толщины верхнего пояса балки и катета поясного шва, если нижняя
балка сварная (см. рисунок 6, а), либо расстоянию от наружной грани полки до
начала внутреннего закругления стенки, если нижняя балка прокатная (см. рисунок
6, б);
- коэффициент, принимаемый равным: 3,25 - для сварных и прокатных
балок; 4,5 - для балок с фрикционными поясными соединениями;
- сумма собственных моментов инерции пояса балки и кранового рельса
или момент инерции сечения, состоящего из пояса и рельса в случае приварки
рельса швами, обеспечивающими совместную работу пояса и рельса.



а - сварная; б -
прокатная; в - сварная
или прокатная при
нагрузке от колеса крана
Рисунок 6. Схемы
распределения
сосредоточенной
нагрузки на стенку балки
8.2.3.
Расчет на прочность разрезных балок 2-го и 3-го классов двутаврового и
коробчатого сечений (рисунок 7) из стали с нормативным сопротивлением
при соблюдении требований 8.4.6, 8.5.8, 8.5.9
и 8.5.18 и при касательных напряжениях
(кроме опорных сечений) следует выполнять по
формулам:
при изгибе в
плоскости наибольшей жесткости ![]()
при изгибе в двух
главных плоскостях и напряжениях ![]()

Рисунок 7.
Схемы двутаврового (а) и коробчатого
(б) сечений балок с
действующими на них усилиями
Здесь
,
- абсолютные значения изгибающих моментов;
,
- коэффициенты, принимаемые согласно таблице
Е.1;
- коэффициент, принимаемый равным:
при
;
при ![]()
где
- отношение площади сечения пояса к площади
сечения стенки (для несимметричного сечения
- площадь меньшего пояса; для коробчатого
сечения
- суммарная площадь сечений двух стенок).
При расчете сечения
в зоне чистого изгиба в формулах (50) и (51) следует принимать
и вместо коэффициентов
и
соответственно
;
.
(53)
Расчет на прочность
в опорном сечении балок (при
и
)
следует выполнять по формулам:
. (55)
При ослаблении
стенки отверстиями для болтов левую часть формул (54) и (55) следует умножать
на коэффициент
,
определяемый по формуле (45).
С целью
установления размеров минимальных сечений составных балок значения
коэффициентов
и
допускается принимать меньше значений,
приведенных в таблице Е.1, но не менее 1,0. Методика подбора минимальных
сечений изгибаемых элементов приведена в Приложении М.
8.2.4. Расчет на
прочность разрезных балок переменного сечения согласно 8.2.3 с учетом
пластических деформаций допускается выполнять только в одном сечении с наиболее
неблагоприятным сочетанием усилий M и Q; в остальных сечениях балки расчет
следует выполнять при значениях коэффициентов
и
меньших, чем в таблице Е.1 Приложения Е, или
согласно 8.2.1.
8.2.5.
Расчет на прочность неразрезных и защемленных балок постоянного двутаврового и
коробчатого сечений с двумя осями симметрии, изгибаемых в плоскости наибольшей
жесткости, со смежными пролетами, отличающимися не более чем на 20%, при
соблюдении требований 8.4.6, 8.5.8, 8.5.9 и 8.5.18 следует выполнять по формуле
(50) как сечений 2-го класса с учетом частичного перераспределения опорных и
пролетных моментов.
В этом случае
расчетное значение момента следует определять по формуле
, (56)
где
- наибольший изгибающий момент в пролете или
на опоре, определяемый из расчета неразрезной балки в предположении упругой
работы стали;
- условный изгибающий момент, равный:
а) в неразрезных
балках с шарнирно опертыми концами большему из значений:
, (58)
где символ max
означает, что следует найти максимум всего следующего за ним выражения;
- изгибающий момент в крайнем пролете, вычисленный как в свободно
опертой однопролетной балке;
a - расстояние от
сечения, в котором действует момент
,
до крайней опоры;
l - длина крайнего
пролета;
- максимальный изгибающий момент в промежуточном пролете, вычисленный
как в шарнирно опертой однопролетной балке;
б) в однопролетных
и неразрезных балках с защемленными концами
,
где
- наибольший из моментов, вычисленных как в
балках с шарнирами на опорах;
в) в балке с одним
защемленным и другим свободно опертым концом значение
следует определять по формуле (57).
Значение
в формуле (52) следует вычислять в сечении,
где действует
;
если
- момент в пролете, следует проверить опорное
сечение балки.
8.2.6.
Расчет на прочность неразрезных и защемленных балок, удовлетворяющих 8.2.5, в
случае изгиба в двух главных плоскостях следует выполнять по формуле (51) с учетом
перераспределения опорных и пролетных моментов в двух главных плоскостях
согласно указаниям 8.2.5.
8.2.7.
Расчет на прочность неразрезных и защемленных балок, удовлетворяющих
требованиям 8.2.5, 8.4.6, 8.5.8, 8.5.9 и 8.5.18, допускается выполнять по формуле
(50) как сечений 3-го класса с учетом перераспределения изгибающих моментов и
образования условных пластических шарниров, а также влияния касательных
напряжений
в соответствии с 8.2.3 в сечениях с
максимальным изгибающим моментом.
8.2.8.
Расчет на прочность бистальных разрезных балок двутаврового и коробчатого
сечений с двумя осями симметрии при соблюдении требований 8.4.4, 8.5.9 и 8.5.17
и при касательных напряжениях
и
(кроме опорных сечений) следует выполнять как
расчет сечений 2-го класса по формулам:
при изгибе в одной
главной плоскости
при изгибе в двух
главных плоскостях
В формулах (59) и
(60) обозначено:
, (61)
где
;
;
- коэффициент, принимаемый равным:
при
;
при ![]()
; (62)
- коэффициент, принимаемый равным 1,15 - для двутаврового сечения и
1,05/r - для коробчатого сечения.
Расчет бистальных
балок при наличии зоны чистого изгиба и в опорном сечении, а также с учетом
ослабления сечения следует выполнять согласно 8.2.3 и Приложению М.
8.3. Расчет на прочность балок крановых путей сплошного сечения
8.3.1.
Расчет на прочность балок крановых путей следует выполнять согласно требованиям
8.2.1 на действие вертикальных и горизонтальных нагрузок, определяемых согласно
СП 20.13330.
8.3.2.
Расчет на прочность стенок балок крановых путей (за исключением балок,
рассчитываемых на усталость, для кранов групп режимов работы 7К в цехах
металлургических производств и 8К) следует выполнять по формуле (44), в которой
при расчете сечений на опорах неразрезных балок вместо коэффициента 0,87
следует принимать коэффициент 0,77.
8.3.3. При
расчете на прочность стенок балок крановых путей из стали с пределом текучести
не более 440 Н/мм2 для кранов групп режимов работы 7К (в цехах металлургических
производств) и 8К должны быть выполнены условия:
; (64)
; (65)
, (66)
где
- коэффициент, принимаемый равным 0,87 для
расчета разрезных балок и 0,77 для расчета сечений на опорах неразрезных балок;
;
;
.
В формулах (67)
обозначено:
M и Q -
соответственно изгибающий момент и поперечная сила в сечении балки от расчетной
нагрузки, определяемой согласно СП 20.13330;
- коэффициент надежности по нагрузке для крановых нагрузок,
принимаемый согласно СП 20.13330;
- коэффициент увеличения сосредоточенной вертикальной нагрузки от
одного колеса крана, принимаемый согласно СП 20.13330;
- полное нормативное значение сосредоточенной вертикальной нагрузки от
одного колеса крана;
- условная длина, определяемая согласно требованиям 8.2.2;
- местный крутящий момент, определяемый по формуле
, (68)
где e = 0,2b (здесь
b - ширина подошвы рельса);
- расчетная горизонтальная нагрузка, направленная поперек кранового
пути, вызываемая перекосами мостовых кранов и непараллельностью крановых путей
и принимаемая согласно СП 20.13330;
- высота кранового рельса;
- сумма собственных моментов инерции при кручении рельса и пояса, где
и
- соответственно ширина и толщина верхнего
пояса балки.
Все напряжения в формулах
(63) - (67) следует принимать со знаком "плюс".
8.3.4. Расчет на
прочность подвесных балок крановых путей (монорельсов) следует выполнять с
учетом местных нормальных напряжений от давления колеса крана, направленных
вдоль и поперек оси балки.
8.3.5. Расчет на
прочность бистальных балок крановых путей двутаврового сечения с двумя осями
симметрии для кранов групп режимов работы 1К - 5К при
допускается выполнять по формуле (60), в
которой:
- изгибающий момент в горизонтальной плоскости, полностью передающийся
на верхний пояс балки;
- момент сопротивления сечения верхнего пояса относительно оси y - y;
- коэффициент, принимаемый равным 1,15.
Расчет на прочность
стенок бистальных балок крановых путей следует выполнять согласно требованиям 8.3.2.
8.4. Расчет на общую устойчивость изгибаемых элементов сплошного
сечения
8.4.1.
Расчет на устойчивость двутавровых балок 1-го класса, а также бистальных балок
2-го класса, удовлетворяющих требованиям 8.2.1 и 8.2.8, следует выполнять по
формулам:
при изгибе в
плоскости стенки, совпадающей с плоскостью симметрии сечения
при изгибе в двух
главных плоскостях (и наличии секториальных напряжений)
В формулах (69) и
(70) обозначено:
- коэффициент устойчивости при изгибе, определяемый по Приложению Ж
для балок с опорными сечениями, закрепленными от боковых смещений и поворота;
- момент сопротивления сечения относительно оси x - x, вычисленный для
сжатого пояса;
- момент сопротивления сечения относительно оси y - y, совпадающей с
плоскостью изгиба;
- секториальный момент сопротивления сечения.
Для бистальных
балок в формулах (69) и (70), а также при определении
следует
заменять на
.
8.4.2. При
определении значения
за расчетную длину балки
следует принимать расстояние между точками
закреплений сжатого пояса от поперечных смещений (узлами продольных или
поперечных связей, точками крепления жесткого настила); при отсутствии связей
(где l - пролет балки); за расчетную длину
консоли следует принимать:
при отсутствии закрепления сжатого пояса на
конце консоли в горизонтальной плоскости (здесь l - длина консоли) или
расстояние между точками закрепления сжатого пояса в горизонтальной плоскости -
при закреплении пояса на конце и по длине консоли.
8.4.3. Расчет на
устойчивость балок крановых путей двутаврового сечения следует выполнять по формуле
(70), в которой:
- изгибающий момент в горизонтальной
плоскости, полностью передающийся на верхний пояс балки;
- момент сопротивления сечения верхнего пояса
относительно оси y - y.
8.4.4.
Устойчивость балок 1-го класса, а также бистальных балок 2-го класса следует
считать обеспеченной:
а) при
передаче нагрузки на балку через сплошной жесткий настил (плиты железобетонные
из тяжелого, легкого и ячеистого бетона, плоский и профилированный
металлический настил, волнистая сталь и т.п.), непрерывно опирающийся на сжатый
пояс балки и с ним связанный с помощью сварки, болтов, самонарезающих винтов и
др.; при этом силы трения учитывать не следует;
б) при
значениях условной гибкости сжатого пояса балки
,
не превышающих ее предельных значений
,
определяемых по формулам таблицы 11 для балок симметричного двутаврового
сечения или асимметричного - с более развитым сжатым поясом, рассчитываемых по формуле
(69) и имеющих отношение ширины растянутого пояса к ширине сжатого пояса не
менее 0,75.
───────────────────────────────────────────────────────────────────────────
Место приложения Условная предельная гибкость сжатого
пояса
нагрузки прокатной или сварной балки ![]()
───────────────────────────────────────────────────────────────────────────
К верхнему поясу 0,35 + 0,0032 b/t + (0,76 - 0,02
b/t)b/h (71)
───────────────────────────────────────────────────────────────────────────
К
нижнему поясу 0,57 + 0,0032
b/t + (0,92 - 0,02 b/t)b/h (72)
───────────────────────────────────────────────────────────────────────────
Независимо
от уровня 0,41 + 0,0032 b/t + (0,73
- 0,016 b/t)b/h (73)
приложения
нагрузки
при
расчете участка
балки
между связями
или
при чистом изгибе
───────────────────────────────────────────────────────────────────────────
Обозначения, принятые в таблице 11:
b и t - соответственно ширина и толщина
сжатого пояса;
h - расстояние (высота) между осями поясных
листов.
Примечания.
1. Значения
определены
при 1 <= h/b <= 6 и
15
<= b/t <= 35; для
балок с отношением b/t < 15 в формулах таблицы 11
следует
принимать b/t = 15.
2. Для балок с фрикционными поясными
соединениями значения
следует
умножать
на 1,2.
3.
Значения
допускается
повысить умножением на
коэффициент
, где
.
───────────────────────────────────────────────────────────────────────────
8.4.5.
Прикрепления к сжатому поясу жесткого настила, продольных или поперечных
связей, которые должны обеспечить устойчивость изгибаемого элемента, следует
рассчитывать на фактическую или условную поперечную силу. При этом условную
поперечную силу следует определять:
при закреплении
балки в отдельных точках - по формуле (18), в которой
следует определять для сечения типа b (см. таблицу
7) при гибкости
(где i - радиус инерции сечения сжатого пояса
в горизонтальной плоскости), а N - вычислять по формуле
где
и
- площади сечения соответственно сжатого пояса
и стенки;
;
и
- расчетные сопротивления стали соответственно
сжатого пояса и стенки;
при непрерывном
закреплении - по формуле
, (75)
где
- условная поперечная сила на единицу длины
пояса балки;
- условная поперечная сила, определяемая по формуле (18), в которой
,
а N следует вычислять по формуле (74).
8.4.6.
Устойчивость балок с сечениями 2-го и 3-го классов следует считать обеспеченной
при выполнении требований 8.4.4, а либо 8.4.4, б при условии умножения значений
,
определяемых по формулам таблицы 11, на коэффициент
, (76)
где
- коэффициент, определяемый по большему
значению из формул:
и изменяющийся в
пределах
.
Здесь
- изгибающий момент в сечении;
- коэффициент, принимаемый по формуле (52);
- коэффициент, принимаемый согласно таблице Е.1.
При этом
допускается принимать значения условной предельной гибкости пояса балки:
- на участке длины балки, где учитываются пластические деформации;
- на участках длины балки с напряжениями в сечениях
.
Учет пластических
деформаций при расчете балок со сжатым поясом, менее развитым, чем растянутый,
допускается лишь при выполнении требований 8.4.4, а.
8.5. Проверка устойчивости стенок и поясных листов изгибаемых
элементов сплошного сечения
8.5.1.
Устойчивость стенок балок 1-го класса следует считать обеспеченной, если
выполнены требования 8.2.1, 8.3.1 - 8.3.3, 8.4.1 - 8.4.5 и условная гибкость
стенки
(см. рисунок 5) не превышает значений:
3,5 - при
отсутствии местного напряжения
в балках с двусторонними поясными швами;
3,2 - то же, в
балках с односторонними поясными швами;
2,5 - при наличии
местного напряжения
в балках с двусторонними поясными швами.
При этом следует
устанавливать поперечные (и опорные) ребра жесткости согласно требованиям 8.5.9
или согласно 8.5.11 и 8.5.12.
8.5.2.
Проверку устойчивости стенок балок 1-го класса следует выполнять с учетом
наибольшего сжимающего напряжения
у расчетной границы стенки, принимаемого со
знаком "плюс", среднего касательного напряжения
и местного напряжения
в стенке под сосредоточенной нагрузкой.
Напряжения
и
следует вычислять по формулам:
где M и Q - средние
значения соответственно изгибающего момента и поперечной силы в пределах
отсека; если длина отсека a (расстояние между осями поперечных ребер жесткости)
больше его расчетной высоты
,
то значения M и Q следует вычислять как средние для более напряженного участка
с длиной, равной
;
если в пределах отсека момент или поперечная сила меняют знак, то их средние
значения следует вычислять на участке отсека с одним знаком;
- расчетная высота стенки, принимаемая согласно требованиям 7.3.1;
- полная высота стенки.
Местное напряжение
в стенке под сосредоточенной нагрузкой следует
определять согласно 8.2.2 и 8.3.3.
В отсеках балки,
где сосредоточенная нагрузка приложена к растянутому поясу, одновременно должны
быть учтены только
и
или
и
.
8.5.3.
Устойчивость стенок балок 1-го класса симметричного сечения, укрепленных только
поперечными ребрами жесткости (рисунок 8), при наличии местного напряжения
и при условной гибкости стенки
следует считать обеспеченной, если выполнено
условие

а - при приложении
сосредоточенной нагрузки
к сжатому поясу; б
- то же, к растянутому поясу
Рисунок 8.
Схема участка балки,
укрепленной
поперечными ребрами жесткости
В формуле (80)
обозначено:
,
,
- напряжения, определяемые согласно
требованиям 8.5.2;
- критическое напряжение, вычисляемое по формуле
где
- коэффициент, определяемый согласно 8.5.4 - 8.5.6;
- критическое напряжение, вычисляемое по формуле
где
и
- коэффициенты, определяемые согласно 8.5.5;
- критическое напряжение, вычисляемое по формуле:
здесь
- отношение большей стороны отсека стенки к
меньшей;
; d - меньшая из сторон отсека стенки (
или a).
8.5.4. Для
балок по 8.5.3 при
коэффициент
в формуле (81) следует определять по таблице
12 в зависимости от вида поясных соединений и значения коэффициента
,
вычисляемого по формуле
где
- коэффициент, принимаемый по таблице 13;
,
- соответственно ширина и толщина сжатого
пояса балки.
┌────────────────────────┬────────────────────────────────────────────────┐
│Поясные
соединения балок│ Значение
c при дельта, равном │
│ │ cr │
│ ├──────┬─────┬──────┬──────┬──────┬──────┬───────┤
│ │<= 0,8│
1,0 │ 2,0 │ 4,0 │ 6,0
│ 10,0 │>= 30,0│
├────────────────────────┼──────┼─────┼──────┼──────┼──────┼──────┼───────┤
│Сварные │ 30,0 │31,5 │
33,3 │ 34,6 │ 34,8 │ 35,1 │ 35,5 │
├────────────────────────┼──────┴─────┴──────┴──────┴──────┴──────┴───────┤
│Фрикционные │ 35,2 │
└────────────────────────┴────────────────────────────────────────────────┘
───────────────────────────────────────────────────────────────────────────
Балки Условия работы сжатого
пояса ![]()
───────────────────────────────────────────────────────────────────────────
Крановых
путей Крановые рельсы не
приварены 2,0
Крановые рельсы
приварены ![]()
───────────────────────────────────────────────────────────────────────────
Прочие При непрерывном опирании
плит ![]()
В прочих случаях 0,8
───────────────────────────────────────────────────────────────────────────
Примечание. Для отсеков
балок крановых путей,
где сосредоточенная
нагрузка
приложена к растянутому поясу,
при вычислении коэффициента ![]()
следует
принимать
.
───────────────────────────────────────────────────────────────────────────
8.5.5. При
вычислении значений
по формуле (82) при
следует принимать:
- по таблице 14 в зависимости от отношения
и значения
(здесь значение
следует определять согласно требованиям 8.2.2);
- по таблице 15 в зависимости от отношения
и значения
,
вычисляемого по формуле (84); для балок с фрикционными поясными соединениями
следует принимать
.
┌────┬────────────────────────────────────────────────────────────────────┐
│
ро │ Значения c при a/h
(a /h ), равном │
│ │ 1 ef
1 ef │
│ ├──────┬──────┬──────┬──────┬──────┬──────┬──────┬─────┬──────┬──────┤
│ │ 0,50 │ 0,60 │ 0,67 │
0,80 │ 1,0 │ 1,2 │ 1,4
│ 1,6 │ 1,8 │>=
2,0│
├────┼──────┼──────┼──────┼──────┼──────┼──────┼──────┼─────┼──────┼──────┤
│0,10│
56,7 │ 46,6 │ 41,8 │ 34,9 │ 28,5 │ 24,5 │
21,7 │19,5 │ 17,7 │ 16,2 │
│0,15│
38,9 │ 31,3 │ 27,9 │ 23,0 │ 18,6 │ 16,2 │
14,6 │13,6 │ 12,7 │ 12,0 │
│0,20│
33,9 │ 26,7 │ 23,5 │ 19,2 │ 15,4 │ 13,3 │
12,1 │11,3 │ 10,7 │ 10,2 │
│0,25│
30,6 │ 24,9 │ 20,3 │ 16,2 │ 12,9 │ 11,1 │
10,0 │ 9,4 │ 9,0 │ 8,7 │
│0,30│
28,9 │ 21,6 │ 18,5 │ 14,5 │ 11,3 │ 9,6 │
8,7 │ 8,1 │ 7,8 │ 7,6 │
│0,35│
28,0 │ 20,6 │ 17,4 │ 13,4 │ 10,2 │ 8,6 │
7,7 │ 7,2 │ 6,9 │ 6,7 │
│0,40│
27,4 │ 20,0 │ 16,8 │ 12,7 │ 9,5 │
7,9 │ 7,0 │ 6,6 │ 6,3 │
6,1 │
└────┴──────┴──────┴──────┴──────┴──────┴──────┴──────┴─────┴──────┴──────┘
┌────────┬────────────────────────────────────────────────────────────────┐
│
дельта │ Значения коэффициента
c при a/h (a /h
), равном │
│ │ 2 ef
1 ef │
│ ├───────┬───────┬───────┬────────┬───────┬───────┬───────┬───────┤
│ │ 0,50 │ 0,60
│ 0,67 │ 0,80 │
1,00 │ 1,20 │ 1,40
│>= 1,60│
├────────┼───────┼───────┼───────┼────────┼───────┼───────┼───────┼───────┤
│ <= 1
│ 1,56 │ 1,56 │ 1,56
│ 1,56 │ 1,56
│ 1,56 │ 1,56 │ 1,56
│
│ 2 │
1,64 │ 1,64 │ 1,64
│ 1,67 │ 1,76
│ 1,82 │ 1,84 │ 1,85
│
│ 4 │
1,66 │ 1,67 │ 1,69
│ 1,75 │ 1,88
│ 2,01 │ 2,09 │ 2,12
│
│ 6 │
1,67 │ 1,68 │ 1,70
│ 1,77 │ 1,92
│ 2,08 │ 2,19 │ 2,26
│
│ 10 │
1,68 │ 1,69 │ 1,71
│ 1,78 │ 1,96
│ 2,14 │ 2,28 │ 2,38
│
│
>= 30 │ 1,68 │ 1,70
│ 1,72 │ 1,80 │
1,99 │ 2,20 │ 2,38
│ 2,52 │
└────────┴───────┴───────┴───────┴────────┴───────┴───────┴───────┴───────┘
При
проверку стенки по формуле (80) следует
выполнять в зависимости от значения
:
а) при отношении
значение
следует определять по формуле (81) с учетом
требований 8.5.4.
Если
сосредоточенная нагрузка приложена к растянутому поясу (см. рисунок 8, б), то
при проверке стенки с учетом только
и
при определении коэффициента
по формуле (84) за
и
следует принимать соответственно ширину и
толщину растянутого пояса;
б) при отношении
проверку по формуле (80) следует выполнять
дважды:
при значении
,
вычисленном по формуле (81) с учетом требований 8.5.4, и при таком значении
по формуле (82), когда при определении
коэффициентов
и
вместо размера a принят
при
или
при
;
при значениях
и
,
вычисленных при фактическом значении
(если
,
в расчете следует принимать
);
при этом коэффициент
в формуле (81) следует определять по таблице
16.
┌─────────────────────────────────────────────────────────────────────────┐
│ Значение c при a/h
или a/(2h ), равном
│
│ cr ef c │
├─────────────┬───────┬────────┬───────┬────────┬────────┬───────┬────────┤
│ <= 0,8
│ 0,9 │
1,0 │ 1,2 │ 1,4 │ 1,6 │ 1,8 │
>= 2,0 │
├─────────────┼───────┼────────┼───────┼────────┼────────┼───────┼────────┤
│По
таблице 12│ 37,0 │ 39,2 │
45,2 │ 52,8 │ 62,0 │
72,6 │ 84,7 │
└─────────────┴───────┴────────┴───────┴────────┴────────┴───────┴────────┘
Значение
во всех случаях следует вычислять по
фактическим размерам отсека.
8.5.6.
Устойчивость стенок балок 1-го класса асимметричного двутаврового сечения с
более развитым сжатым поясом, укрепленных только поперечными ребрами жесткости,
следует считать обеспеченной, если условие (80) будет выполнено с учетом
следующих изменений:
при вычислении
значений
по формулам (81) и (84) вместо значения
принята удвоенная высота сжатой зоны стенки
;
при
и
выполнены две проверки, указанные в 8.5.5, в
которых при определении
по таблице 16 и
- по формуле (81) вместо значения
принята удвоенная высота сжатой зоны стенки
.
Значения
и
следует определять по фактическим размерам
отсека стенки.
8.5.7. Устойчивость
стенок балок 1-го класса асимметричного двутаврового сечения с более развитым
растянутым поясом, укрепленных только поперечными ребрами жесткости, при
одновременном действии напряжений
и
и отсутствии напряжений
следует считать обеспеченной, если выполнено
условие
, (85)
где
;
;
- по формуле (81).
Здесь
и
- сжимающее и растягивающее напряжения у
расчетных границ стенки, принимаемые соответственно со знаком "плюс"
и "минус" и определяемые по формуле (78);
и
- касательные напряжения, определяемые
соответственно по формулам (79) и (83);
- коэффициент, определяемый по таблице 17 в зависимости от
.
┌────────────┬─────────┬──────────┬─────────┬─────────┬─────────┬─────────┐
│ альфа
│ 1,0 │
1,2 │ 1,4 │ 1,6 │ 1,8 │ 2,0 │
├────────────┼─────────┼──────────┼─────────┼─────────┼─────────┼─────────┤
│ c
│ 10,2 │
12,7 │ 15,5 │ 20,0 │ 25,0 │ 30,0 │
│ cr
│ │ │ │ │ │ │
└────────────┴─────────┴──────────┴─────────┴─────────┴─────────┴─────────┘
8.5.8.
Устойчивость стенок балок 2-го и 3-го классов из однородной стали и бистальных
при отсутствии местного напряжения
и с соблюдением требований 7.3.1, 8.2.3 и 8.2.8
следует считать обеспеченной при выполнении условий:
а) для балок
двоякосимметричного двутаврового и коробчатого сечений
, (86)
где
- коэффициент, определяемый по таблице 18 (при
);
r - следует
принимать по указаниям 8.4.5;
б) для балок
асимметричного двутаврового сечения с более развитым сжатым поясом, укрепленных
только поперечными ребрами,
где
,
- напряжения соответственно в сжатом и
растянутом поясах; если
или
,
то следует принимать соответственно
или
.
┌───────┬──────────────────────────────────────────────────────────────────┐
│тау/R │ ______ │
│
sw│ Значения альфа при лямбда ,
равном │
│ │ w │
│ ├───────┬───────┬───────┬───────┬────────┬────────┬───────┬────────┤
│ │
2,2 │ 2,5 │ 3,0 │ 3,5 │ 4,0 │ 4,5 │ 5,0 │ 5,5 │
├───────┼───────┼───────┼───────┼───────┼────────┼────────┼───────┼────────┤
│ 0 │
0,240 │ 0,239 │ 0,235 │ 0,226 │ 0,213 │ 0,195
│ 0,173 │ 0,153 │
├───────┼───────┼───────┼───────┼───────┼────────┼────────┼───────┼────────┤
│ 0,5 │
0,203 │ 0,202 │ 0,197 │ 0,189 │ 0,176 │ 0,158
│ 0,136 │ 0,116 │
├───────┼───────┼───────┼───────┼───────┼────────┼────────┼───────┼────────┤
│ 0,6 │
0,186 │ 0,185 │ 0,181 │ 0,172 │ 0,159 │ 0,141
│ 0,119 │ 0,099 │
├───────┼───────┼───────┼───────┼───────┼────────┼────────┼───────┼────────┤
│ 0,7 │
0,167 │ 0,166 │ 0,162 │ 0,152 │ 0,140 │ 0,122
│ 0,100 │ 0,080 │
├───────┼───────┼───────┼───────┼───────┼────────┼────────┼───────┼────────┤
│ 0,8 │
0,144 │ 0,143 │ 0,139 │ 0,130 │ 0,117 │ 0,099
│ 0,077 │ 0,057 │
├───────┼───────┼───────┼───────┼───────┼────────┼────────┼───────┼────────┤
│ 0,9 │
0,119 │ 0,118 │ 0,114 │ 0,105 │ 0,092 │ 0,074
│ 0,052 │ 0,032 │
└───────┴───────┴───────┴───────┴───────┴────────┴────────┴───────┴────────┘
В выражении (87)
высоту сжатой зоны стенки
следует определять по формуле
. (88)
Значения M и Q
следует вычислять в одном сечении балки.
8.5.9.
Стенки балок следует укреплять поперечными ребрами жесткости:
в балках 1-го
класса, если значение условной гибкости стенки
превышает 3,2 - при отсутствии подвижной
нагрузки на поясе балки или 2,2 - при наличии такой нагрузки;
в балках 2-го и
3-го классов - при любых значениях условной гибкости стенки на участках длины
балки, где учитываются пластические деформации, а на остальных участках - как в
балках 1-го класса.
Расстояние между
поперечными ребрами не должно превышать
при
и
при
.
Для балок 1-го
класса допускается превышать эти расстояния до значения
при условии, что устойчивость балки и стенки
обеспечена выполнением требований 8.4.4, а или 8.4.4, б, если
не превышает значений, определяемых по формуле
(71).
Поперечные ребра
жесткости следует устанавливать, как правило, в местах приложения неподвижных
сосредоточенных нагрузок и на опорах балок.
В стенке,
укрепленной только поперечными ребрами, ширина их выступающей части
должна быть для парного ребра не менее
мм, для одностороннего ребра - не менее
мм; толщина ребра
должна быть не менее
.
При укреплении
стенки односторонними поперечными ребрами жесткости из одиночных уголков,
привариваемых к стенке пером, момент инерции такого ребра, вычисляемый
относительно оси, совпадающей с ближайшей к ребру гранью стенки, должен быть не
меньше чем для парного ребра.
8.5.10.
Поперечное ребро жесткости, расположенное в месте приложения сосредоточенной
нагрузки к верхнему поясу, следует проверять расчетом на устойчивость:
двустороннее ребро - как центрально сжатую стойку, а одностороннее - как
стойку, сжатую с эксцентриситетом, равным расстоянию от срединной плоскости
стенки до центра тяжести расчетного сечения стойки. При этом в расчетное
сечение стойки необходимо включать сечение ребра жесткости и полосы стенки
шириной
с каждой стороны ребра, а расчетную длину
стойки следует принимать равной расчетной высоте стенки
.
8.5.11.
Стенки балок 1-го класса, у которых при действии нормальных напряжений
от изгиба устойчивость не обеспечена, а также
при значениях условной гибкости стенки
(где
- напряжение в сжатом поясе балки), следует
укреплять продольным ребром жесткости, устанавливаемым дополнительно к
поперечным ребрам.
8.5.12. В
стенке балки симметричного двутаврового сечения 1-го класса, укрепленной кроме
поперечных ребер одной парой продольных ребер жесткости, расположенной на расстоянии
от границы сжатого отсека (рисунок 9), обе
пластинки, на которые это ребро разделяет отсек, следует рассчитывать порознь:
а) пластинку 1,
расположенную между сжатым поясом и продольным ребром, по формуле
здесь значения
,
следует определять согласно требованиям 8.5.2,
а значения
и
- по формулам:
при ![]()
где
;
при
и
(при
следует принимать
)
, (92)
где
критическое
напряжение
следует определять по формуле (83) с
подстановкой в нее размеров проверяемой пластинки;
б)
пластинку 2, расположенную между продольным ребром и растянутым поясом, по
формуле
где
и
- напряжения, определяемые согласно 8.5.2;
при
; (96)
- напряжение, принимаемое равным в зависимости от того, к какому поясу
приложена нагрузка: к сжатому (см. рисунок 9, а) -
(здесь
следует определять согласно 8.5.2); к
растянутому (см. рисунок 9, б) -
;
- напряжение, определяемое по формуле (82), где
и
следует определять соответственно по таблице
14 при
и по таблице 15 при
,
заменяя значение
значением
;
- напряжение, определяемое по формуле (83) с подстановкой в нее
размеров проверяемой пластинки.

а - балка со сжатым
верхним поясом;
б - балка с
растянутым верхним поясом
Рисунок 9.
Схема балки, укрепленной поперечными
(3) и продольными
(4) ребрами жесткости
8.5.13.
Промежуточные ребра, расположенные на пластинке 1 между сжатым поясом и
продольным ребром, следует доводить до продольного ребра (рисунок 10).

Рисунок 10. Схема
балки, укрепленной поперечными (3),
продольными (4) и
промежуточными (5) ребрами жесткости
В этом случае
расчет пластинки 1 следует выполнять по формулам (89) - (93), в которых
величину a следует заменять величиной
,
где
- расстояние между осями соседних
промежуточных ребер (см. рисунок 10). Расчет пластинки 2 следует выполнять
согласно требованиям 8.5.12, б.
8.5.14. Проверку
устойчивости стенок балок асимметричного сечения (с более развитым сжатым
поясом), укрепленных поперечными ребрами и парным продольным ребром,
расположенным в сжатой зоне, следует выполнять по формулам (89) и (90); при
этом в формулы (90), (91) и (94) вместо отношения
следует подставлять
,
а в формулу (95) вместо
следует подставлять
,
где
- краевое растягивающее растяжение (со знаком
"минус") у расчетной границы отсека.
8.5.15. При
укреплении стенки поперечными ребрами и парным продольным ребром жесткости
места расположения и моменты инерции сечений этих ребер должны удовлетворять
требованиям 8.5.9 и формулам таблицы 19.
Таблица 19
──────┬────────────────────────────────────────────────────────────────────
h │ Моменты инерции ребра
1 ├────────────┬───────────────────────────────────────────────────────
--- │поперечного
│ продольного
(I )
h │ (I )
│
rl
ef │ r
├────────────────────────┬──────────────────────────────
│ │ требуемое │ предельное
│ │ ├──────────────┬───────────────
│ │ │
минимальное │ максимальное
──────┴────────────┴────────────────────────┴──────────────┴───────────────
0,20
![]()
────── ───────────────────────────────────────────────────────
0,25
![]()
────── ───────────────────────────────────────────────────────
0,30
- -
───────────────────────────────────────────────────────────────────────────
Примечание.
При вычислении
для
промежуточных
значений ![]()
допускается
линейная интерполяция.
───────────────────────────────────────────────────────────────────────────
При расположении
продольного и поперечных ребер жесткости с одной стороны стенки моменты инерции
сечений каждого из них следует вычислять относительно оси, совпадающей с
ближайшей к ребру гранью стенки.
8.5.16. При
значениях условной гибкости стенки
балки симметричного двутаврового сечения
допускается проектировать как балки 2-го класса с гибкими (неустойчивыми)
стенками согласно Приложению М.
8.5.17.
Участок стенки балки над опорой следует рассчитывать на устойчивость при
центральном сжатии из плоскости балки как стойку, нагруженную опорной реакцией.
При укреплении
стенки балки опорными ребрами жесткости с шириной выступающей части
(как правило, не менее
,
здесь
- ширина нижнего пояса балки) в расчетное
сечение этой стойки следует включать сечение опорных ребер и полосы стенки
шириной не более
с каждой стороны ребра.
Толщина опорного
ребра жесткости
должна быть не менее
,
где
- ширина выступающей части.
Расчетную длину
стойки следует принимать равной расчетной высоте стенки балки
.
Нижние торцы
опорных ребер (рисунок 11) должны быть остроганы либо плотно пригнаны или
приварены к нижнему поясу балки. Напряжения в этих сечениях при действии
опорной реакции не должны превышать расчетного сопротивления стали: в первом
случае (см. рисунок 11, а) - смятию
при a <= 1,5t и сжатию
при a > 1,5t; во втором случае (см. рисунок.
11, б) - смятию
.
а)

б)

а - в торце с
применением строжки; б - удаленного от торца
с плотной пригонкой
или приваркой к нижнему поясу
Рисунок 11.
Схема опорного ребра жесткости
Сварные швы,
прикрепляющие опорное ребро к нижнему поясу балки, следует рассчитывать на
воздействие опорной реакции.
При отсутствии
опорных ребер жесткости (в прокатных балках) расчетным сечением стойки является
полоса стенки шириной, равной длине участка опирания балки.
8.5.18.
Устойчивость сжатых поясов следует считать обеспеченной, если условная гибкость
свеса пояса
или поясного листа
балок 1-го класса, а также бистальных 2-го
класса при выполнении требований 7.3.7, 8.2.1 и 8.2.8 не превышает предельных
значений
,
определяемых по формулам:
для свеса полки
(без окаймления и отгиба) двутаврового сечения
для поясного листа
коробчатого сечения
. (98)
Здесь
- напряжение в сжатом поясе, определяемое по
формулам:
для однородного
сечения
или
;
для бистального
сечения
или
,
где
- значения
из таблицы 18 при
;
если
,
то следует принимать
.
8.5.19.
Устойчивость сжатых поясов следует считать обеспеченной, если условная гибкость
свеса сжатого пояса или поясного листа балок 2-го и 3-го классов из однородной
стали при выполнении требований 7.3.7, 8.2.3 и 8.5.8 не превышает предельных
значений
,
определяемых при
по формулам:
для свеса полки
(без окаймления и отгиба) двутаврового сечения
для поясного листа
коробчатого сечения
. (100)
8.5.20. В случае
окаймления или отгиба полки (стенки) сечения (см. рисунок 5), имеющего размер
и толщину
,
значения
,
определяемые по формулам (97) и (99), допускается увеличивать в 1,5 раза.
8.6.1. Площадь
стальной опорной плиты должна удовлетворять требованиям расчета на прочность
фундамента.
Передача расчетного
усилия на опорную плиту может осуществляться через фрезерованный торец или
через сварные швы конструкции, опирающейся на плиту.
8.6.2. Толщину
опорной плиты следует определять расчетом на изгиб пластинки по формуле
, (101)
где
- наибольший из изгибающих моментов M,
действующих на разных участках опорной плиты и определяемых по формулам:
для консольного
участка плиты
; (102)
для участка плиты,
опертого на четыре стороны в направлении короткой и длинной сторон
соответственно,
;
;
(103)
для участка плиты,
опертого по трем сторонам,
; (104)
для участка плиты,
опертого на две стороны, сходящиеся под углом, по формуле (104), принимая при
этом
- диагональ прямоугольника, а размер
в таблице Е.2 - расстояние от вершины угла до
диагонали.
Здесь c - вылет
консольного участка плиты;
,
,
- коэффициенты, зависящие от условий опирания
и отношения размеров сторон участка плиты и принимаемые согласно таблице Е.2;
q - реактивный
отпор фундамента под рассматриваемым участком плиты на единицу площади плиты.
9. Расчет элементов стальных конструкций
при действии
продольной силы с изгибом
9.1. Расчет на прочность элементов сплошного сечения
9.1.1. Расчет на
прочность внецентренно-сжатых (сжато-изгибаемых) и внецентренно-растянутых
(растянуто-изгибаемых) элементов из стали с нормативным сопротивлением
,
не подвергающихся непосредственному воздействию динамических нагрузок, при
напряжениях
и
следует выполнять по формуле
где N,
и
,
B - абсолютные значения соответственно продольной силы, изгибающих моментов и
бимомента при наиболее неблагоприятном их сочетании;
n,
,
- коэффициенты, принимаемые согласно таблице
Е.1.
Если
,
формулу (105) следует применять при выполнении требований 8.5.8 и таблицы Е.1.
Расчет на прочность
элементов в случаях, не предусмотренных расчетом по формуле (105), следует
выполнять по формуле
, (106)
где x, y -
расстояния от главных осей до рассматриваемой точки сечения.
9.1.2. Расчет на
прочность внецентренно-сжатых (сжато-изгибаемых) элементов по формуле (105)
выполнять не требуется при значении приведенного относительного эксцентриситета
(9.2.2), отсутствии ослабления сечения и
одинаковых значениях изгибающих моментов, принимаемых в расчетах на прочность и
устойчивость.
9.1.3.
Внецентренно-сжатые (сжато-изгибаемые) элементы из стали с нормативным
сопротивлением
,
имеющие несимметричные сечения относительно оси, перпендикулярной плоскости
изгиба (например, сечения типа 10, 11 по таблице Д.2), следует проверять на
прочность растянутого волокна сечения в плоскости действия момента по формуле
, (107)
где
- момент сопротивления сечения, вычисленный
для растянутого волокна;
- коэффициент, определяемый по формуле
. (108)
9.2. Расчет на устойчивость элементов сплошного сечения
9.2.1. Расчет на
устойчивость внецентренно-сжатых (сжато-изгибаемых) элементов при действии
момента в одной из главных плоскостей следует выполнять как в этой плоскости
(плоская форма потери устойчивости), так и из этой плоскости
(изгибно-крутильная форма потери устойчивости).
9.2.2.
Расчет на устойчивость внецентренно-сжатых (сжато-изгибаемых) элементов
постоянного сечения в плоскости действия момента, совпадающей с плоскостью
симметрии, следует выполнять по формуле
В формуле (109)
коэффициент устойчивости при сжатии с изгибом
следует определять по таблице Д.3 в
зависимости от условной гибкости
и приведенного относительного эксцентриситета
,
определяемого по формуле
, (110)
где
- коэффициент влияния формы сечения,
определяемый по таблице Д.2;
- относительный эксцентриситет (здесь e = M/N - эксцентриситет, при
вычислении которого значения M и N следует принимать согласно требованиям 9.2.3;
- момент сопротивления сечения, вычисленный
для наиболее сжатого волокна).
При значениях
расчет следует выполнять как для изгибаемых
элементов (см. раздел 8).
9.2.3.
Расчетные значения продольной силы N и изгибающего момента M в элементе следует
принимать для одного и того же сочетания нагрузок из расчета системы по
недеформированной схеме в предположении упругих деформаций стали.
При этом значения M
следует принимать равными:
для колонны
постоянного сечения рамной системы - наибольшему моменту в пределах длины
колонны;
для ступенчатой
колонны - наибольшему моменту на длине участка постоянного сечения;
для колонны с одним
защемленным, а другим свободным концом - моменту в заделке, но не менее момента
в сечении, отстоящем на треть длины колонны от заделки;
для сжатых поясов
ферм и структурных плит, воспринимающих внеузловую поперечную нагрузку, -
наибольшему моменту в пределах средней трети длины панели пояса, определяемому
из расчета пояса как упругой неразрезной балки;
для сжатого стержня
с шарнирно-опертыми концами и сечением, имеющим одну ось симметрии, совпадающую
с плоскостью изгиба, - моменту, определяемому по формулам таблицы 20 в
зависимости от относительного эксцентриситета
и принимаемому равным не менее
.
───────────────────────────────────────────────────────────────────────────
Относительный Момент M при условной гибкости
стержня
эксцентриситет
────────────────────────────────────────────────────────────
![]()
───────────────────────────────────────────────────────────────────────────
![]()
![]()
───────────────────────────────────────────────────────────────────────────
Обозначения, принятые в таблице 20:
- наибольший изгибающий момент в пределах
длины стержня;
- наибольший изгибающий момент
в пределах средней
трети длины
стержня,
принимаемый равным не менее
;
- изгибающий момент, принимаемый
равным M при
и
,
но
не
менее
.
───────────────────────────────────────────────────────────────────────────
Для сжатых стержней
двоякосимметричного сплошного сечения с шарнирно-опертыми концами, на которых
действуют изгибающие моменты, значение
,
необходимое для определения
,
следует принимать согласно таблице Д.5.
9.2.4. Расчет на
устойчивость внецентренно-сжатых (сжато-изгибаемых) стержней сплошного
постоянного сечения, кроме коробчатого, из плоскости действия момента при
изгибе их в плоскости наибольшей жесткости
,
совпадающей с плоскостью симметрии, а также швеллеров следует выполнять по
формуле
где c -
коэффициент, определяемый согласно требованиям 9.2.5;
- коэффициент устойчивости при центральном сжатии, определяемый
согласно требованиям 7.1.3.
9.2.5.
Коэффициент c в формуле (111) следует определять:
при значениях
по формуле
где
,
- коэффициенты, определяемые по таблице 21;
при значениях
по формуле
где
- коэффициент устойчивости при изгибе,
определяемый согласно требованиям 8.4.1 и Приложению Ж как для балки с двумя и
более закреплениями сжатого пояса;
при значениях
по формуле
где следует
определять:
- по формуле (112) при
;
- по формуле (113) при
.
Здесь
- относительный эксцентриситет, где
следует принимать согласно требованиям 9.2.6.
─────────────────────────────────────────────────────────────────────────────────────────────
Тип
Схема сечения
Значения коэффициентов
сечения и эксцентриситет ────────────────────────────────────────────────────────────
при
при
────────────────────────────────────────────────────────────
![]()
─────────────────────────────────────────────────────────────────────────────────────────────
1 0,7
1 ![]()

────────────────────────────────
2 
────────────────────────────────
─────────────────────────────────────────────────────────────────────────────────────────────
4
1
;
при ![]()

─────────────────────────────────────────────────────────────────────────────────────────────
Обозначения, принятые в таблице 21:
и
-
моменты инерции соответственно большей
и меньшей полок
относительно
оси симметрии сечения y - y;
- значение
при
.
Примечание. При значениях b/h < 0,3
следует принимать b/h = 0,3.
─────────────────────────────────────────────────────────────────────────────────────────────
При гибкости
коэффициент c не должен превышать значений
,
определяемых согласно Приложению Д; в случае если
,
в формулах (111) и (116) вместо c следует принимать
.
9.2.6. При
определении относительного эксцентриситета
в формулах (112) - (114) за расчетный момент
следует принимать:
для стержней с
концами, закрепленными от смещения перпендикулярно плоскости действия момента,
- максимальный момент в пределах средней трети длины, но не менее половины
наибольшего момента по длине стержня;
для стержней с
одним защемленным, а другим свободным концом - момент в заделке, но не менее
момента в сечении, отстоящем на треть длины стержня от заделки.
9.2.7. Расчет на
устойчивость внецентренно-сжатых (сжато-изгибаемых) элементов двутаврового
сечения, непрерывно подкрепленных вдоль одной из полок, следует выполнять
согласно Приложению Ж.
9.2.8.
Внецентренно-сжатые (сжато-изгибаемые) элементы постоянного сечения, изгибаемые
в плоскости наименьшей жесткости (
и
),
следует рассчитывать по формуле (109), а при гибкости
- также проверять расчетом на устойчивость из
плоскости действия момента как центрально-сжатые элементы по формуле
где
- коэффициент устойчивости при центральном
сжатии, определяемый согласно требованиям 7.1.3.
При
проверки устойчивости из плоскости действия
момента не требуется.
9.2.9. Расчет на
устойчивость стержней сплошного постоянного сечения (кроме коробчатого),
подверженных сжатию и изгибу в двух главных плоскостях, при совпадении
плоскости наибольшей жесткости
с плоскостью симметрии, а также при сечении
типа 3 (см. таблицу 21) следует выполнять по формуле
где
. (117)
Здесь следует
определять:
- согласно требованиям 9.2.2, принимая в формулах вместо m и
соответственно
и
;
c - согласно
требованиям 9.2.5.
При вычислении
значения
для стержней двутаврового сечения с
неодинаковыми полками коэффициент
следует определять как для сечения типа 8 по
таблице Д.2.
Если
,
то кроме расчета по формуле (116) следует произвести дополнительную проверку по
формулам (109) и (111), принимая
.
Если
,
то кроме расчета по формуле (116) следует произвести дополнительную проверку по
формуле (109), принимая
.
Значения относительных
эксцентриситетов следует вычислять по формулам:
; (118)
, (119)
где
и
- моменты сопротивления сечений для наиболее
сжатого волокна относительно осей соответственно x - x и y - y.
Если плоскость
наибольшей жесткости сечения стержня
не совпадает с плоскостью симметрии, то
расчетное значение
следует увеличить на 25% (кроме сечения типа 3
по таблице 21).
9.2.10. Расчет на
устойчивость стержней сплошного постоянного коробчатого сечения при сжатии с
изгибом в одной или в двух главных плоскостях следует выполнять по формулам:
где
,
- коэффициенты устойчивости при сжатии с
изгибом, определяемые по таблице Д.3;
,
- коэффициенты, принимаемые по таблице Е.1;
,
- коэффициенты, определяемые по формулам:
и
(122)
и принимаемые
равными 1,0 соответственно при
и
.
При одноосном
изгибе в плоскости наибольшей жесткости (
;
)
вместо
следует принимать
.
9.3. Расчет на устойчивость элементов сквозного сечения
9.3.1. При
проверке на устойчивость внецентренно-сжатых (сжато-изгибаемых) стержней
сквозного сечения с соединительными планками или решетками следует выполнять
как расчет стержня в целом, так и отдельных ветвей.
9.3.2. При
расчете стержня в целом относительно свободной оси по формуле (109), когда
планки и решетки расположены в плоскостях, параллельных плоскости действия
момента, коэффициент
следует определять по таблице Д.4 в
зависимости от условной приведенной гибкости
(
- см. таблицу 8) и относительного
эксцентриситета m, определяемого по формуле
m = eAa/I, (123)
где e = M/N -
эксцентриситет, при вычислении которого значения M и N следует принимать
согласно требованиям 9.2.3;
a - расстояние от
главной оси сечения, перпендикулярной плоскости действия момента, до оси
наиболее сжатой ветви, но не менее расстояния до оси стенки ветви;
I - момент инерции
сечения сквозного стержня относительно свободной оси.
При значениях m
> 20 расчет на устойчивость стержня в целом не требуется; в этом случае
расчет следует выполнять как для изгибаемых элементов.
9.3.3. При
расчете отдельных ветвей сквозных стержней с решетками по формуле (7)
продольную силу в каждой ветви следует определять с учетом дополнительного
усилия
от момента. Значение этого усилия следует
вычислять по формулам:
- при изгибе стержня в плоскости, перпендикулярной оси y - y, для
сечений типов 1 и 3 (см. таблицу 8);
- то же, для сечений типа 2 (см. таблицу 8);
- при изгибе стержня в плоскости, перпендикулярной оси x - x, для
сечений типа 3 (см. таблицу 8);
- то же, для сечений типа 2 (см. таблицу 8).
Здесь b,
,
- расстояния между осями ветвей (см. таблицу 8).
При изгибе стержня
сквозного сечения типа 2 (см. таблицу 8) в двух плоскостях усилие
следует определять по формуле
9.3.4. При расчете
отдельных ветвей сквозных стержней с планками в формуле (109) следует учитывать
дополнительное усилие
от момента M и местный изгиб ветвей от
фактической или условной поперечной силы (как в поясах безраскосной фермы).
9.3.5. Расчет на
устойчивость внецентренно-сжатых (сжато-изгибаемых) трехгранных сквозных
стержней с решетками и постоянным по длине равносторонним сечением следует
выполнять согласно требованиям раздела 16.
9.3.6. Расчет на
устойчивость сквозных стержней из двух сплошностенчатых ветвей, симметричных
относительно оси x - x (рисунок 12), с решетками в двух параллельных
плоскостях, подверженных сжатию и изгибу в обеих главных плоскостях, следует
выполнять:
для стержня в целом
- в плоскости, параллельной плоскостям решеток, согласно требованиям 9.3.2,
принимая
;
для отдельных
ветвей - как внецентренно-сжатых элементов по формулам (109) и (111); при этом
продольную силу в каждой ветви следует определять с учетом дополнительного
усилия от момента
(9.3.3), а момент
распределять между ветвями пропорционально их
жесткостям
(см. рисунок 12); если момент
действует в плоскости одной из ветвей, то
следует считать его полностью передающимся на эту ветвь. При расчете по формуле
(109) гибкость отдельной ветви следует определять с учетом требований 10.3.10,
а при расчете по формуле (111) - по максимальному расстоянию между узлами
решетки.

Рисунок 12.
Схема сквозного сечения
стержня из двух сплошностенчатых
ветвей
9.3.7. Расчет
соединительных планок или решеток сквозных внецентренно-сжатых
(сжато-изгибаемых) стержней следует выполнять согласно требованиям 7.2.8 и 7.2.9
на поперечную силу, равную большему из двух значений: фактической поперечной
силе Q или условной поперечной силе
,
вычисляемой согласно требованиям 7.2.7.
В случае когда
фактическая поперечная сила больше условной, следует соединять ветви сквозных
внецентренно-сжатых элементов, как правило, решетками.
9.4. Проверка устойчивости стенок и поясов
9.4.1. Расчетные
размеры проверяемых на устойчивость стенок и поясных листов (полок) следует
принимать согласно требованиям 7.3.1 и 7.3.7.
9.4.2.
Устойчивость стенок внецентренно-сжатых (сжато-изгибаемых) элементов следует
считать обеспеченной, если условная гибкость стенки
не превышает значений предельной условной
гибкости
,
определяемых по формулам таблицы 22.
─────────────────────────────────────────────────────────────────────────────────────────
Тип
Схема сечения Условия Предельная условная гибкость
сечения и эксцентриситет применения формул стенки ![]()
─────────────────────────────────────────────────────────────────────────────────────────

для ─────────────────────────────────────────────────
двутавра
─────────────────────────────────────────────────────────────────────────────────────────

─────────────────────────────────────────────────────────────────────────────────────────

─────────────────────────────────────────────────────────────────────────────────────────

![]()
─────────────────────────────────────────────────────────────────────────────────────────

─────────────────────────────────────────────────────────────────────────────────────────
Обозначения, принятые в таблице 22:
- условная гибкость стержня в плоскости
действия момента;
- коэффициент, определяемый по таблице 17 в
зависимости от
;
(здесь
- наибольшее
сжимающее напряжение у расчетной
границы
стенки, принимаемое со
знаком "плюс" и
вычисленное без учета
коэффициентов
,
и
;
-
соответствующее напряжение у
противоположной
расчетной границы стенки);
(здесь
)
-
среднее касательное напряжение в рассматриваемом сечении; для коробчатого
сечения
;
- ширина полки тавра.
Примечания. 1. Для сечений типа 1 при
значениях
или ![]()
значения
следует определять линейной интерполяцией
между значениями
,
вычисленными
согласно 7.3.2
или 8.5.8
и по формулам (125) и
(126)
соответственно.
2. Для
сечения типа 2 при
значение
следует определять дважды:
согласно 7.3.2
и с использованием формул (125), (126); при
-
линейной
интерполяцией между значениями
, вычисленными
при
и
.
3.
Для сечения типа 4 при
или
в формуле
(129) следует
принимать
или
соответственно.
4.
Для сечений типа 5
при значениях
значения
следует
определять линейной
интерполяцией между значениями
, вычисленными
согласно
7.3.2
и по формуле (130).
─────────────────────────────────────────────────────────────────────────────────────────
9.4.3. При
выполнении условия
предельную условную гибкость
,
вычисленную по формулам (125) и (126) таблицы 22, допускается увеличивать путем
определения ее по формуле
, (131)
где
и
- значения
,
вычисленные по формулам (125), (126) и (127) таблицы 22.
При выполнении
условия
значение
следует принимать равным
.
9.4.4. Стенки
внецентренно-сжатых (сжато-изгибаемых) элементов сплошного сечения (колонн,
стоек, опор и т.п.) при
следует, как правило, укреплять поперечными
ребрами жесткости в соответствии с требованиями 7.3.3.
9.4.5. При
укреплении стенки внецентренно-сжатого (сжато-изгибаемого) элемента продольным
ребром жесткости (с моментом инерции
),
расположенным посередине стенки, наиболее нагруженную часть стенки между поясом
и осью ребра следует рассматривать как самостоятельную пластинку и проверять по
формулам таблицы 22. При этом расчет и проектирование ребра и элемента в целом
следует выполнять с учетом требований 7.3.4.
9.4.6. В случаях,
когда фактическое значение условной гибкости стенки
превышает предельное значение
,
вычисленное для сечений типа 1 по формулам таблицы 22, а для сечений типов 2 и 3
с учетом примечания 2 таблицы 22 (при
),
допускается проверку устойчивости стержня по формулам (109), (115) и (116), а
также при
по формуле (111) выполнять с учетом расчетной
уменьшенной площади
в соответствии с 7.3.6.
9.4.7. Устойчивость
поясов (полок) внецентренно-сжатых (сжато-изгибаемых) стержней с гибкостью
следует считать обеспеченной, если условная
гибкость свеса пояса (полки)
или поясного листа
не превышает значений предельной условной
гибкости
,
определяемых по формулам таблицы 23.
────────────────────────────────────────────────────────────────────────────────────
Тип
Схема сечения и эксцентриситет
Условие Предельная условная
гибкость
сечения
применения свеса пояса
или поясного
формул листа
при гибкости стержня
![]()
────────────────────────────────────────────────────────────────────────────────────

1
(132)
─────────────────────────────────────── ─────────────────────────────────

2
(133)
────────────────────────────────────────────────────────────────────────────────────

3 -
(134)
─────────────────────────────────────── ─────────────────────────────────

4
(135)
────────────────────────────────────────────────────────────────────────────────────
Обозначение, принятое в таблице 23:
- предельное
значение условной гибкости
свеса пояса или поясного
листа
центрально-сжатого элемента, определяемое согласно требованиям 7.3.8
и
7.3.9.
Примечание.
При
значения
следует
определять
линейной интерполяцией между
значениями
, вычисленными
по
формулам
настоящей таблицы, и согласно 8.5.18
и 8.5.19 (при m = 20)
соответственно.
────────────────────────────────────────────────────────────────────────────────────
9.4.8. Для
полок (стенок) с отгибами (см. рисунок 5) значения предельной условной гибкости
,
определяемые по формулам таблицы 23, следует умножить на коэффициент 1,5.
Размеры отгиба
следует определять согласно требованиям 7.3.10.
9.4.9. При
назначении сечений внецентренно-сжатых и сжато-изгибаемых элементов по
предельной гибкости (раздел 10.4) значения предельных условных гибкостей стенки
,
определяемых по формулам таблицы 22, а также поясов
,
определяемых по формулам таблицы 23 и согласно требованиям 9.4.8, допускается
увеличивать умножением на коэффициент
(здесь
- меньшее из значений (
,
,
,
использованное при проверке устойчивости элемента), но не более чем в 1,25
раза.
10. Расчетные длины и предельные гибкости
элементов стальных
конструкций
10.1. Расчетные длины элементов плоских ферм и связей
10.1.1.
Расчетные длины сжатых элементов плоских ферм и связей в их плоскости
и из плоскости
(рисунок 13, а, б, в, г), за исключением
элементов, указанных в 10.1.2 и 10.1.3, следует принимать по таблице 24.





а - треугольная со
стойками; б - раскосная;
в - треугольная со
шпренгелями; г - полураскосная
треугольная; д -
перекрестная
Рисунок 13.
Схемы для определения расчетных длин сжатых
элементов
(обозначения - см. таблицу 24) решеток ферм
┌────────────────────────────────────────────┬────────────────────────────┐
│ Направление продольного изгиба элемента │Расчетные длины l и l
│
│ фермы │ ef ef,1 │
│ ├──────┬─────────┬───────────┤
│ │поясов│
опорных │ прочих │
│ │ │раскосов │ элементов │
│ │ │и опорных│ решетки
│
│ │ │
стоек │ │
├────────────────────────────────────────────┼──────┼─────────┼───────────┤
│1. В плоскости фермы l │ │ │ │
│ ef: │ │ │ │
│
а) для ферм, кроме указанных в позиции 1, б│ l │ l │ 0,8l
│
│
б) для ферм из одиночных уголков и ферм
│ l │
l │ 0,9l
│
│с
прикреплением элементов решетки к поясам
│ │ │ │
│впритык │ │ │ │
│2.
В направлении, перпендикулярном плоскости│ │ │ │
│фермы
(из плоскости фермы) l : │ │ │ │
│ ef,1 │ │ │ │
│
а) для ферм, кроме указанных в позиции 2, б│ l │ l │
l │
│ │ 1 │ 1 │ 1
│
│
б) для ферм с прикреплением элементов
│ l │
l │ 0,9l
│
│решетки
к поясам впритык │ 1 │ 1 │ 1
│
│3.
В любом направлении l = l для ферм │0,85l │ l │ 0,85l
│
│ ef ef,1 │ │ │ │
│из
одиночных уголков при одинаковых │ │ │ │
│расстояниях
между точками закрепления │ │ │ │
│элементов
в плоскости и из плоскости фермы │ │ │ │
├────────────────────────────────────────────┴──────┴─────────┴───────────┤
│ Обозначения, принятые в таблице 24 (см. рисунок
13): │
│ l
- геометрическая длина
элемента (расстояние между
центрами│
│ближайших
узлов) в плоскости фермы; │
│ l -
расстояние между узлами, закрепленными
от смещения из плоскости│
│ 1
│
│фермы
(поясами ферм, специальными
связями, жесткими плитами
покрытий,│
│прикрепленными
к поясу сварными швами или болтами, и т.п.). │
└─────────────────────────────────────────────────────────────────────────┘
10.1.2.
Расчетные длины
и
верхнего пояса фермы (неразрезного стержня)
постоянного сечения с различными сжимающими или растягивающими усилиями на
участках (число участков равной длины k >= 2) в предположении шарнирного
сопряжения (рисунок 14, а) элементов решетки и связей допускается определять по
формулам:
в плоскости пояса
фермы
, (136)
где
- отношение усилия, соседнего с максимальным,
к максимальному усилию в панелях фермы; при этом
;
из плоскости пояса
фермы
где
- отношение суммы усилий на всех участках
(рассматриваемой длины между точками закрепления пояса из плоскости), кроме
максимального, к максимальному усилию; при этом
.
При вычислении параметра
в формуле (137) растягивающие усилия в
стержнях необходимо принимать со знаком "минус".


а - пояса фермы; б
- ветви колонны
Рисунок 14.
Схемы для определения расчетной
длины элементов
Расчетные длины
и
ветви сквозной колонны постоянного сечения
(неразрезного стержня) с различными сжимающими усилиями на участках (число
участков равной длины k >= 2) с граничными условиями, когда один конец
стержня (нижний) жестко закреплен, а другой - шарнирно оперт в плоскости
решетки при шарнирном креплении к нему элементов решетки (рисунок 14, б),
допускается определять по формулам:
в плоскости ветви
, (138)
где
- отношение усилия, соседнего с максимальным,
к максимальному усилию в месте заделки; при этом
;
из плоскости ветви
, (139)
где
- отношение суммы усилий на всех участках,
кроме максимального, к максимальному усилию в месте заделки; при этом
.
В обоих случаях l -
длина участка (см. рисунки 13 и 14);
- расстояние между точками связей из плоскости
стержня (см. рисунок 14), и расчет на устойчивость следует выполнять на
максимальное усилие.
10.1.3.
Расчетные длины
и
(при допущении, что они не зависят от
соотношения усилий) элементов перекрестной решетки, скрепленных между собой
(см. рисунок 13, д), следует принимать по таблице 25.
┌─────────────────────────────────────────┬───────────────────────────────┐
│
Конструкция узла пересечения элементов │ Расчетная длина l │
│ решетки │ ef,1 │
│ │ из плоскости фермы (связи) │
│ │ при поддерживающем элементе │
│ ├───────────┬────────────┬──────┤
│ │растянутом
│неработающем│сжатом│
│ │ │ │ │
├─────────────────────────────────────────┼───────────┼────────────┼──────┤
│Оба
элемента не прерываются │ l
│ 0,7l │
l │
│Поддерживающий
элемент прерывается и │ │ 1
│ 1 │
│перекрывается
фасонкой: │ │ │ │
│
рассматриваемый элемент не прерывается │ 0,7l
│ l │ 1,4l │
│ │ 1
│ 1 │
1│
│
рассматриваемый элемент прерывается и │ 0,7l
│ - │
- │
│перекрывается
фасонкой │ 1
│ │ │
├─────────────────────────────────────────┴───────────┴────────────┴──────┤
│ Обозначения, принятые в таблице 25 (см. рисунок
13, д): │
│ l - расстояние от центра узла фермы
(связи) до точки
пересечения│
│элементов;
│
│ l -
полная геометрическая длина элемента. │
│ 1
│
└─────────────────────────────────────────────────────────────────────────┘
10.1.4.
Радиусы инерции i-х сечений элементов из одиночных уголков при определении
гибкости следует принимать:
при расчетной длине
элемента не менее 0,85l (где l - расстояние между центрами ближайших узлов) -
минимальными
;
в остальных случаях
- относительно оси уголка, перпендикулярной или параллельной плоскости фермы (
или
),
в зависимости от направления продольного изгиба.
10.2. Расчетные длины элементов пространственных решетчатых
конструкций, в том числе структурных
10.2.1.
Расчетные длины
элементов структурных конструкций следует
принимать по таблице 26 (l - геометрическая длина элемента - расстояние между
центрами узлов структурных конструкций).
Таблица 26
┌───────────────────────────────────────────────────────────────┬─────────┐
│ Элементы структурных
конструкций │Расчетная│
│
│длина l │
│
│ ef│
├───────────────────────────────────────────────────────────────┼─────────┤
│1.
Кроме указанных в позициях 2 и 3 │ l │
│2.
Неразрезные (не прерывающиеся в узлах) пояса, а также │
0,85l │
│элементы
поясов и решеток, прикрепляемых в узлах сваркой │ │
│впритык
к шаровым или цилиндрическим узловым элементам │ │
│3. Из одиночных уголков, прикрепляемых в
узлах одной полкой: │ │
│
а) сварными швами или болтами (не менее двух), расположенными │ │
│вдоль
элемента, при l/i : │ │
│ min │ │
│ до 90
│ l │
│ св. 90 до 120
│ 0,90l │
│ св. 120 до 150 (только для элементов
решетки) │ 0,75l │
│ св. 150 до 200 (только для элементов
решетки) │ 0,70l │
│
б) одним болтом при l/i : │ │
│ min │ │
│ до 90
│ l │
│ св. 90 до 120
│ 0,95l │
│ св. 120 до 150 (только для элементов
решетки) │ 0,85l │
│ св. 150 до 200 (только для элементов
решетки) │ 0,80l │
└───────────────────────────────────────────────────────────────┴─────────┘
Радиусы инерции
сечений i-х элементов структурных конструкций при определении гибкости следует
принимать:
для
сжато-изгибаемых элементов - относительно оси, перпендикулярной или
параллельной плоскости изгиба (
или
);
в остальных случаях - минимальными
.
КонсультантПлюс:
примечание.
Нумерация пунктов
дана в соответствии с официальным текстом документа.
10.2.3. Расчетные
длины
и радиусы инерции сечений i-х сжатых, растянутых
и ненагруженных элементов пространственных конструкций (рисунок 15) из
одиночных уголков при определении гибкости следует принимать по таблицам 27, 28
и 29.

а, б, в - с
совмещенными в смежных гранях узлами;
г, д - с
несовмещенными в смежных гранях узлами;
е - с частично
совмещенными в смежных гранях узлами
Рисунок 15.
Схемы пространственных решетчатых конструкций
─────────────────────────────────┬──────────────────┬──────────────────────
Элементы пространственных │
Сжатые и │ Растянутые
элементы
конструкций │ ненагруженные │
│ элементы │
├─────────┬────────┼───────────┬──────────
│ l │ i │ l
│ i
│ ef │ │ ef
│
─────────────────────────────────┴─────────┴────────┴───────────┴──────────
Пояса:
по рисунку 15, а, б,
в
![]()
по рисунку 15, г,
д
![]()
по рисунку 15,
е
![]()
Раскосы:
по рисунку 15, а,
д
![]()
по рисунку 15, б, в, г,
е
![]()
Распорки:
по рисунку 15, б, е
- -
по рисунку 15,
в
![]()
───────────────────────────────────────────────────────────────────────────
Обозначения, принятые в таблице 27 (рисунок
15):
- условная длина, принимаемая по таблице 28;
- коэффициент расчетной длины раскоса,
принимаемый по таблице 29.
Примечания. 1. Раскосы по рисунку 15, а,
д в точках пересечения должны
быть
скреплены между собой.
2. Значение
для распорок по рисунку 15, в
дано для равнополочных
уголков.
3. В скобках даны значения
и i
для раскосов из
плоскости грани
конструкции.
───────────────────────────────────────────────────────────────────────────
┌─────────────────────────────────┬───────────────────────────────────────┐
│ Конструкция узла пересечения │
Условная длина раскоса l
при │
│ элементов решетки │ dc │
│ │ поддерживающем элементе │
│ ├────────────────┬──────────────┬───────┤
│ │ растянутом
│ неработающем │сжатом │
├─────────────────────────────────┼────────────────┼──────────────┼───────┤
│Оба
стержня не прерываются │ l
│ 1,3l │ 0,8l │
│ │ d
│ d │
d1│
│Поддерживающий
элемент │ │ │ │
│прерывается
и перекрывается │ │ │ │
│фасонкой;
рассматриваемый элемент│
│ │ │
│не
прерывается: │ │ │ │
│
в конструкциях по рисунку 15, а │
1,3l │ 1,6l
│ l │
│ │ d
│ d │
d1 │
│
в конструкциях по рисунку 15, д │(1,75 - 0,15n)l │(1,9 - 0,1n)l │ l │
│ │ d│ d│ d1 │
│Узел
пересечения элементов │ l
│ l │
l │
│закреплен
от смещения из │ d
│ d │
d │
│плоскости
грани (диафрагмой и │ │ │ │
│т.п.) │ │ │ │
├─────────────────────────────────┴────────────────┴──────────────┴───────┤
│ Обозначение, принятое в таблице 28 (рисунок
15): │
│ n = I
l /(I l ), │
│ m,min d d,min m │
│ где
I и I
- наименьшие моменты
инерции сечения│
│ m,min d,min │
│соответственно
пояса и раскоса. │
│ Примечание. При n < 1 и n > 3 в
формулах таблицы следует
принимать│
│соответственно
n = 1 и n = 3. │
└─────────────────────────────────────────────────────────────────────────┘
┌───────────────────────────────┬─────────┬───────────────────────────────┐
│
Прикрепление раскоса к поясам │Значение │Значение мю при l/i
, равном│
│ │ n │ d
min │
│ │ ├─────┬─────────────────┬───────┤
│ │ │до 60│ св. 60 до 160
│св. 160│
├───────────────────────────────┼─────────┼─────┼─────────────────┼───────┤
│Сварными швами, болтами │
До 2 │1,14 │ 0,54 +
36i /l │ 0,765 │
│(не
менее двух), расположенными│
│ │ min
│ │
│вдоль
раскоса ├─────────┼─────┼─────────────────┼───────┤
│ │ Свыше 6 │1,04
│0,54 + 28,8i /l│ 0,740 │
│ │ │ │ min
│ │
├───────────────────────────────┼─────────┼─────┼─────────────────┼───────┤
│Одним болтом без фасонки │При любых│1,12 │0,64
+ 28,8i /l│ 0,820 │
│ │значениях│ │ min
│ │
├───────────────────────────────┴─────────┴─────┴─────────────────┴───────┤
│ Обозначения, принятые в таблице 29: │
│ n - по таблице 28;
│
│ l - длина, принимаемая равной: l - для раскосов по рисунку 15, б, в,│
│ d │
│г,
е; l по таблице 28 - для раскосов по рисунку
15, а, д. │
│ dc │
│ Примечания. 1.
Значение мю при 2 <= n <= 6 следует
определять│
│ d │
│линейной
интерполяцией.
│
│
2. При прикреплении одного конца
раскоса к поясу без фасонок сваркой│
│или
болтами, а второго конца - через фасонку коэффициент расчетной длины│
│раскоса следует
принимать равным 0,5(1 + мю ); при
прикреплении│
│ d │
│обоих
концов раскосов через фасонки мю =
1,0. │
│ d │
└─────────────────────────────────────────────────────────────────────────┘
10.2.4. Для
определения расчетных длин раскосов по рисунку 15, в, при прикреплении их без
фасонок к распорке и поясу сварными швами или болтами (не менее двух),
расположенными вдоль раскоса, значение коэффициента расчетной длины
следует принимать по строке таблицы 29 при
значении n "До 2". В случае прикрепления их концов одним болтом
значение
следует принимать по строке таблицы 29
"Одним болтом без фасонки", а при вычислении значения
по таблице 27 вместо
следует принимать
.
10.2.5. Расчетные
длины
и радиусы инерции i-х элементов из труб или
парных уголков следует принимать согласно требованиям 10.1.1 - 10.1.3.
10.2.6. Расчетные
длины сжатых элементов пространственных решетчатых конструкций допускается
определять из расчета с использованием сертифицированных вычислительных
комплексов (в предположении упругой работы стали и недеформированной схемы).
При этом рекомендуется использовать программные комплексы, в которых несущая
способность сжатых стержней определена с учетом неплоской формы продольного
изгиба.
10.3. Расчетные длины колонн (стоек)
10.3.1. Расчетные
длины
колонн (стоек) постоянного сечения или
отдельных участков ступенчатых колонн следует определять по формуле
, (140)
где l - длина
колонны, отдельного участка ее или высота этажа;
- коэффициент расчетной длины.
10.3.2. При
определении коэффициентов расчетной длины колонн (стоек) значения продольных
сил в элементах системы следует принимать, как правило, для того сочетания
нагрузок, для которого выполняется проверка устойчивости колонн (стоек)
согласно разделам 7 и 9.
Допускается
определять коэффициенты расчетной длины колонн постоянного сечения и отдельных
участков ступенчатых колонн лишь для сочетания нагрузок, дающего наибольшие
значения продольных сил в колоннах и на отдельных участках, и полученные
значения коэффициентов
использовать для участков с другими
сочетаниями нагрузок.
При этом необходимо
различать несвободные (раскрепленные) рамы, у которых узлы крепления ригелей к
колоннам не имеют свободы перемещения в направлении, перпендикулярном оси
колонны в плоскости рамы, и свободные (нераскрепленные) рамы, у которых такие
перемещения возможны (см. рисунок 1).
10.3.3.
Коэффициенты расчетной длины
колонн (стоек) постоянного сечения следует
определять в зависимости от условий закрепления их концов и вида нагрузки. Для
некоторых случаев закрепления концов и вида нагрузки значения
приведены в таблице 30.
Таблица 30

Коэффициенты
расчетной длины колонн (стоек) постоянного сечения с упругим закреплением
концов следует определять по формулам, приведенным в таблицах И.1 и И.2
Приложения И.
10.3.4.
Коэффициенты расчетной длины
колонн постоянного сечения в плоскости
свободных или несвободных рам при жестком креплении ригелей к колоннам и при
одинаковом нагружении узлов, расположенных в одном уровне, следует определять
по формулам таблицы 31.
───────────────────────┬─────────────────────┬─────────────────────────────
Схема рамы │ Параметры │ Коэффициент расчетной длины
├──────────┬──────────┤
│ p
│ n │
───────────────────────┴──────────┴──────────┴─────────────────────────────
Свободные рамы

──────────
;
![]()
───────────────────────────────────────────────────────────────────────────

──────────
;
![]()
───────────────────────────────────────────────────────────────────────────
Верхний этаж

При n <= 0,2
;
(143)
Средний этаж
![]()
Нижний этаж
при n > 0,2
(144)
───────────────────────────────────────────────────────────────────────────
Частные случаи
──────────────────

p = 0 От 0,03 ![]()
до 0,2
─────────────────────── ────────────────────────────────────────
Св.
0,2 ![]()
───────────────────────────────────────────────────
───────────────────────
0,03 <= p
![]()
p <= 50

───────────────────────────────────────────────────
От 0,03 ![]()
до 0,2
────────────────────────────────────────
Св.
0,2 ![]()
───────────────────────────────────────────────────────────────────────────
Несвободные рамы
Верхний этаж

![]()
(145)
Средний этаж
![]()
Нижний этаж
![]()
───────────────────────────────────────────────────────────────────────────
Частные случаи
─────────────────────

p =
0
![]()
───────────────────────────────────────────────────────────────────────────

![]()
───────────────────────────────────────────────────────────────────────────
Обозначения, принятые в таблице 31:
,
и
,
-
моменты инерции сечения
ригелей, примыкающих
соответственно
к верхнему и нижнему концам проверяемой колонны;
,
- соответственно момент инерции
сечения и длина
проверяемой
колонны;
l,
,
- пролеты рамы;
k - число пролетов;
;
;
;
.
Примечание.
Для крайней колонны
свободной многопролетной рамы
коэффициент
следует определять при
значениях p и n
как для колонн
однопролетной
рамы.
───────────────────────────────────────────────────────────────────────────
10.3.5. При
отношении H/B >= 6 (где H - полная высота свободной многоэтажной рамы, B -
ширина рамы) должна быть проверена общая устойчивость рамы в целом как
составного стержня, защемленного в основании и свободного вверху.
10.3.6. При
неравномерном нагружении верхних узлов колонн в свободной одноэтажной раме и
наличии жесткого диска покрытия или продольных связей по верху всех колонн
коэффициент расчетной длины
наиболее нагруженной колонны в плоскости рамы
следует определять по формуле
, (146)
где
- коэффициент расчетной длины проверяемой
колонны, вычисленный по формулам (141) и (142) таблицы 31;
,
- момент инерции сечения и усилие в наиболее
нагруженной колонне рассматриваемой рамы соответственно;
,
- сумма расчетных усилий и моментов инерции
сечений всех колонн рассматриваемой рамы и четырех соседних рам (по две с
каждой стороны) соответственно; все усилия следует находить при том же
сочетании нагрузок, которое вызывает усилие
в проверяемой колонне.
10.3.7.
Коэффициенты расчетной длины
отдельных участков ступенчатых колонн в
плоскости рамы следует определять согласно Приложению И.
При определении
коэффициентов расчетной длины
для ступенчатых колонн рам одноэтажных
производственных зданий допускается:
не учитывать
влияние степени загружения и жесткости соседних колонн; для многопролетных рам
(с числом пролетов два и более) при наличии жесткого диска покрытия или
продольных связей, связывающих поверху все колонны и обеспечивающих
пространственную работу сооружения, определять расчетные длины колонн как для
стоек, неподвижно закрепленных на уровне ригелей.
10.3.8. Коэффициенты
расчетной длины
,
определенные для колонн свободных одноэтажных (при отсутствии жесткого диска
покрытия) и многоэтажных рам, допускается уменьшать умножением на коэффициент
,
определяемый по формуле
, (147)
;
.
Здесь обозначено
;
;
- условная гибкость колонны, вычисленная с учетом требований 7.3.2 и 7.3.3.
Расчетные значения
продольной силы N и изгибающего момента M в рассчитываемой свободной раме
следует определять согласно требованиям 9.2.3.
Значение
изгибающего момента
следует определять для того же сочетания
нагрузок в том же сечении колонны, где действует момент M, рассматривая раму в
данном расчетном случае как несвободную.
10.3.9. Расчетные
длины колонн в направлении вдоль здания (из плоскости рамы), как правило,
следует принимать равными расстояниям между закрепленными от смещения из
плоскости рамы точками (опорами колонн, подкрановых балок и подстропильных
ферм, узлами крепления связей и ригелей и т.п.). Расчетные длины допускается
определять на основе расчетной схемы, учитывающей фактические условия
закрепления концов колонн.
10.3.10.
Расчетную длину ветвей плоских опор транспортерных галерей следует принимать
равной:
в продольном
направлении галереи - высоте опоры (от низа базы до оси нижнего пояса фермы или
балки), умноженной на коэффициент
,
определяемый как для стоек постоянного сечения в зависимости от условий
закрепления их концов;
в поперечном
направлении (в плоскости опоры) - расстоянию между центрами узлов; при этом
должна быть проверена общая устойчивость опоры в целом как составного стержня,
защемленного в основании и свободного вверху.
10.4. Предельные гибкости элементов
10.4.1. Гибкости
элементов
,
как правило, не должны превышать предельных значений
,
приведенных в таблице 32 для сжатых элементов и в таблице 33 - для растянутых.
┌─────────────────────────────────────────────────────────┬───────────────┐
│ Элементы конструкций │ Предельная
│
│
│гибкость сжатых│
│ │ элементов
│
│
│ лямбда │
│
│ u │
├─────────────────────────────────────────────────────────┼───────────────┤
│1. Пояса, опорные раскосы и стойки,
передающие опорные │ │
│реакции:
│ │
│
а) плоских ферм, структурных конструкций и │180 - 60 альфа │
│пространственных
конструкций из труб или парных уголков │ │
│высотой
до 50 м
│ │
│
б) пространственных конструкций из одиночных уголков, а │ 120
│
│также
пространственных конструкций из труб и парных │ │
│уголков
высотой св. 50 м
│ │
│2.
Элементы, кроме указанных в позициях 1 и 7: │ │
│
а) плоских ферм, сварных пространственных и структурных │210 - 60 альфа │
│конструкций
из одиночных уголков, пространственных и
│ │
│структурных
конструкций из труб и парных уголков
│ │
│
б) пространственных и структурных конструкций из │220 - 40 альфа │
│одиночных
уголков с болтовыми соединениями
│ │
│3.
Верхние пояса ферм, не закрепленные в процессе монтажа│ 220
│
│(предельную
гибкость после завершения монтажа следует
│ │
│принимать
по позиции 1)
│ │
│4.
Основные колонны │180
- 60 альфа │
│5. Второстепенные колонны (стойки фахверка,
фонарей и │210 - 60 альфа │
│т.п.),
элементы решетки колонн, элементы вертикальных │ │
│связей
между колоннами (ниже балок крановых путей) │ │
│6.
Элементы связей, кроме указанных в позиции 5, а также │ 200
│
│стержни,
служащие для уменьшения расчетной длины сжатых
│ │
│стержней,
и другие ненагруженные элементы, кроме
│ │
│указанных
в позиции 7
│ │
│7. Сжатые и ненагруженные элементы
пространственных │ 150
│
│конструкций
таврового и крестового сечений, подверженные │ │
│воздействию
ветровых нагрузок, при проверке гибкости
│ │
│в
вертикальной плоскости │ │
└─────────────────────────────────────────────────────────┴───────────────┘
Обозначение, принятое в таблице 32:
- коэффициент,
принимаемый не менее
0,5 (в необходимых
случаях
вместо
следует принимать
).
───────────────────────────────────────────────────────────────────────────
┌────────────────────────────────┬────────────────────────────────────────┐
│ Элементы конструкций │Предельная гибкость растянутых
элементов│
│ │
лямбда при воздействии на конструкцию │
│ │ u │
│ │ нагрузок │
│ ├───────────────┬────────┬───────────────┤
│ │
динамических, │стати- │ от кранов
│
│ │ приложенных
│ческих │(см. прим. 4)
и│
│ │непосредственно│ │железнодорожных│
│ │ к
конструкции │ │ составов
│
├────────────────────────────────┼───────────────┼────────┼───────────────┤
│1. Пояса и опорные раскосы │ 250
│ 400 │
250 │
│плоских
ферм (включая тормозные │
│ │ │
│фермы)
и структурных конструкций│
│ │ │
│2.
Элементы ферм и структурных │ 350
│ 400 │
300 │
│конструкций,
кроме указанных │ │ │ │
│в
позиции 1 │ │ │ │
│3.
Нижние пояса балок и ферм │ -
│ - │
150 │
│крановых
путей │ │ │ │
│4.
Элементы вертикальных связей │
300 │ 300 │ 200
│
│между
колоннами (ниже балок │ │ │ │
│крановых
путей) │ │ │ │
│5. Прочие элементы связей │ 400
│ 400 │
300 │
│6. Пояса и опорные раскосы стоек│ 250
│ - │ -
│
│и
траверс, тяги траверс опор │ │ │ │
│линий
электропередачи, открытых │
│ │ │
│распределительных
устройств │ │ │ │
│и
контактных сетей транспорта │ │ │ │
│7.
Элементы опор линий │ 350
│ - │ -
│
│электропередачи,
открытых │ │ │ │
│распределительных
устройств │ │ │ │
│и
контактных сетей транспорта, │ │ │ │
│кроме
указанных в позициях 6 и 8│
│ │ │
│8.
Элементы пространственных │ 150
│ - │ -
│
│конструкций
таврового и │ │ │ │
│крестового
сечений (а в тягах │ │ │ │
│траверс
опор линий электропере- │
│ │ │
│дачи
и из одиночных уголков), │ │ │ │
│подверженных
воздействию │ │ │ │
│ветровых
нагрузок, при проверке │
│ │ │
│гибкости
в вертикальной │ │ │ │
│плоскости │ │ │ │
├────────────────────────────────┴───────────────┴────────┴───────────────┤
│ Примечания. 1.
В конструкциях, не
подвергающихся динамическим│
│воздействиям, гибкость
растянутых элементов следует проверять только в│
│вертикальных
плоскостях.
│
│ 2. Для элементов связей (позиция
5), у которых прогиб под действием│
│собственного веса
не превышает l/150, при
воздействии на конструкцию│
│статических
нагрузок допускается принимать лямбда =
500. │
│
u │
│ 3.
Гибкость растянутых элементов,
подвергнутых предварительному│
│напряжению,
не ограничивается. │
│ 4.
Значения предельных гибкостей следует принимать при кранах групп│
│режимов работы
7К (в цехах
металлургических
производств) и 8К│
│в
соответствии со СП 20.13330. │
│ 5. Для
нижних поясов балок
и ферм крановых путей при кранах групп│
│режимов
работы 1К - 6К допускается принимать лямбда
= 200. │
│
u │
│ 6.
К динамическим нагрузкам,
приложенным непосредственно к│
│конструкции,
относятся нагрузки, принимаемые в расчетах на усталость или│
│с
учетом коэффициентов динамичности по СП 20.13330. │
└─────────────────────────────────────────────────────────────────────────┘
10.4.2. Для
элементов конструкций, которые согласно Приложению В относятся к группе 4, в
зданиях и сооружениях I и II уровней ответственности (согласно требованиям СНиП
2.01.07), а также для всех элементов конструкций в зданиях и сооружениях III
уровня ответственности допускается повышать значение предельной гибкости на
10%.
11. Расчет листовых конструкций
11.1.1. Расчет на
прочность листовых конструкций (оболочек вращения), находящихся в безмоментном
напряженном состоянии, следует выполнять по формуле
, (148)
где
и
- нормальные напряжения по двум взаимно
перпендикулярным направлениям;
- коэффициент условий работы конструкций, назначаемый в соответствии с
требованиями СНиП 2.09.03.
При этом абсолютные
значения главных напряжений должны быть не более значений расчетных
сопротивлений, умноженных на
.
11.1.2. Напряжения
в безмоментных тонкостенных оболочках вращения (рисунок 16), находящихся под
давлением жидкости, газа или сыпучего материала, следует определять по
формулам:
; (149)
, (150)
где
и
- соответственно меридиональное и кольцевое
напряжения;
F - проекция на ось
z - z оболочки полного расчетного давления, действующего на часть оболочки abc
(см. рисунок 16);
r и
- радиус и угол, показанные на рисунке 16;
t - толщина
оболочки;
p - расчетное
давление на поверхность оболочки;
,
- радиусы кривизны в главных направлениях
срединной поверхности оболочки.

Рисунок 16.
Схема оболочки вращения
11.1.3. Напряжения
в замкнутых безмоментных тонкостенных оболочках вращения, находящихся под
внутренним равномерным давлением, следует определять по формулам:
для цилиндрических
оболочек
;
;
(151)
для сферических
оболочек
; (152)
для конических
оболочек
;
,
(153)
где p - расчетное
внутреннее давление на единицу поверхности оболочки;
r - радиус
срединной поверхности оболочки (рисунок 17);
- угол между образующей конуса и его осью z - z (см. рисунок 17).

Рисунок 17. Схема
конической оболочки вращения
11.1.4. При
проверке прочности оболочек в местах изменения их формы или толщины, а также
изменения нагрузки следует учитывать местные напряжения (краевой эффект).
11.2.1.
Расчет на устойчивость замкнутых круговых цилиндрических оболочек вращения,
равномерно сжатых параллельно образующим, следует выполнять по формуле
, (154)
где
- расчетное напряжение в оболочке;
- критическое напряжение, равное меньшему из значений
или cEt/r (здесь r - радиус срединной
поверхности оболочки; t - толщина оболочки) при r/t <= 300; при r/t > 300
.
Значения
коэффициентов
при 0 < r/t <= 300 следует определять по
формуле
. (155)
Значения коэффициента
c следует определять по таблице 34.
Таблица 34
|
r/t |
100 |
200 |
300 |
400 |
600 |
800 |
1000 |
1500 |
2500 |
|
c |
0,22 |
0,18 |
0,16 |
0,14 |
0,11 |
0,09 |
0,08 |
0,07 |
0,06 |
В случае
внецентренного сжатия параллельно образующим или чистого изгиба в диаметральной
плоскости при касательных напряжениях в месте наибольшего момента, не
превышающих значения
,
напряжение
должно быть увеличено в
раза, где
- наименьшее напряжение (растягивающие
напряжения считать отрицательными).
11.2.2. В
трубах, рассчитываемых как сжатые или внецентренно-сжатые стержни при условной
гибкости
,
должно быть выполнено условие
Такие трубы следует
рассчитывать на устойчивость в соответствии с требованиями разделов 7 и 9
независимо от расчета на устойчивость стенок. Расчет на устойчивость стенок
бесшовных или электросварных труб не требуется, если значения r/t не превышают
половины значений, определяемых по формуле (156).
11.2.3.
Цилиндрическая панель, опертая по двум образующим и двум дугам направляющей,
равномерно сжатая вдоль образующих, при
(где b - ширина панели, измеренная по дуге
направляющей) должна быть рассчитана на устойчивость как пластинка по формулам:
при расчетном
напряжении ![]()
; (157)
при расчетном
напряжении ![]()
. (158)
При
наибольшее отношение b/t следует определять
линейной интерполяцией.
Если
,
то панель следует рассчитывать на устойчивость как оболочку согласно
требованиям 11.2.1.
11.2.4.
Расчет на устойчивость замкнутой круговой цилиндрической оболочки вращения, при
действии внешнего равномерного давления p, нормального к боковой поверхности,
следует выполнять по формуле
где
- расчетное кольцевое напряжение в оболочке;
- критическое напряжение, определяемое по формулам:
при 0,5 <= l/r
<= 10
; (160)
при l/r >= 20
при 10 < l/r
< 20 напряжение
следует определять линейной интерполяцией.
Здесь l - длина
цилиндрической оболочки.
Та же оболочка, но
укрепленная кольцевыми ребрами, расположенными с шагом s >= 0,5r между
осями, должна быть рассчитана на устойчивость по формулам (159) - (161) с
подстановкой в них значения s вместо l.
В этом случае
должно быть удовлетворено условие устойчивости ребра в своей плоскости как
сжатого стержня согласно требованиям 7.1.3 при N = prs и расчетной длине
стержня
;
при этом в сечение ребра следует включать участки оболочки шириной
с каждой стороны от оси ребра, а условная
гибкость стержня
не должна превышать 6,5.
При одностороннем
ребре жесткости его момент инерции следует вычислять относительно оси,
совпадающей с ближайшей поверхностью оболочки.
11.2.5. Расчет на
устойчивость замкнутой круговой цилиндрической оболочки вращения, подверженной
одновременному действию нагрузок, указанных в 11.2.1 и 11.2.4, следует
выполнять по формуле
, (162)
где
должно быть вычислено согласно требованиям 11.2.1
и
- согласно требованиям 11.2.4.
11.2.6.
Расчет на устойчивость конической оболочки вращения с углом конусности
,
сжатой силой N вдоль оси (рисунок 18), следует выполнять по формуле
, (163)
где
- критическая сила, определяемая по формуле
здесь t - толщина
оболочки;
- значение напряжения, вычисленное согласно требованиям 11.2.1 с
заменой радиуса r радиусом
,
равным

Рисунок 18.
Схема конической оболочки вращения
под действием
продольного усилия сжатия
11.2.7.
Расчет на устойчивость конической оболочки вращения при действии внешнего
равномерного давления p, нормального к боковой поверхности, следует выполнять
по формуле
, (166)
здесь
- расчетное кольцевое напряжение в оболочке;
- критическое напряжение, определяемое по формуле
где
- радиус, определяемый по формуле (165);
h - высота
конической оболочки (между основаниями).
11.2.8. Расчет на
устойчивость конической оболочки вращения, подверженной одновременному действию
нагрузок, указанных в 11.2.6 и 11.2.7, следует выполнять по формуле
, (168)
где значения
и
следует вычислять по формулам (164) и (167).
11.2.9. Расчет на
устойчивость полной сферической оболочки (или ее сегмента) при r/t <= 750 и
действии внешнего равномерного давления p, нормального к ее поверхности,
следует выполнять по формуле
, (169)
где
- расчетное напряжение;
- критическое напряжение, принимаемое равным не более
;
здесь r - радиус
срединной поверхности сферы.
12. Расчет элементов стальных конструкций на усталость
12.1.1. При
проектировании стальных конструкций и их элементов (балки крановых путей, балки
рабочих площадок, элементы конструкций бункерных и разгрузочных эстакад,
конструкции под двигатели и др.), непосредственно воспринимающих многократно
действующие подвижные, вибрационные или другого вида нагрузки с количеством
циклов нагружений
и более, которые могут привести к явлению
усталости, следует применять такие конструктивные решения, которые не вызывают
значительной концентрации напряжений, и проверять расчетом на усталость.
Количество циклов
нагружений следует принимать по технологическим требованиям эксплуатации.
Расчет конструкций
на усталость следует производить на действие нагрузок, устанавливаемых согласно
требованиям СП 20.13330.
Расчет на усталость
также следует выполнять для конструкций высоких сооружений (типа мачт, башен и
т.п.), проверяемых на ветровой резонанс согласно требованиям СП 20.13330.
12.1.2.
Расчет на усталость следует производить по формуле
где
- наибольшее по абсолютному значению
напряжение в рассчитываемом сечении элемента, вычисленное по сечению нетто без
учета коэффициента динамичности и коэффициентов
,
,
;
- расчетное сопротивление усталости, принимаемое по таблице 35 в
зависимости от временного сопротивления стали
и групп элементов и соединений конструкций,
приведенных в таблице К.1 Приложения К;
- коэффициент, учитывающий количество циклов нагружений n:
при
принимаемый равным
;
при
вычисляемый по формулам:
для групп элементов
1 и 2
; (171)
для групп элементов
3 - 8
; (172)
- коэффициент, определяемый по таблице 36 в зависимости от
напряженного состояния и коэффициента асимметрии напряжений
(здесь
- наименьшее по абсолютному значению
напряжение в рассчитываемом сечении элемента, вычисляемое так же и при том же
загружении, как и
).
При разнозначных напряжениях
и
значение коэффициента
следует принимать со знаком "минус".
┌─────────┬───────────────────────────────────────────────────────────────┐
│
Группа │ Значение R при нормативном значении временного
сопротивления │
│элементов│ v
│
│ │ стали R , Н/мм2 │
│ │ un │
│ ├──────┬─────────────┬──────────────┬─────────────┬─────────────┤
│ │до 420│ св. 420
│ св. 440 │
св. 520 │ св. 580
│
│ │ │
до 440 │ до 520
│ до 580 │
до 675 │
├─────────┼──────┼─────────────┼──────────────┼─────────────┼─────────────┤
│ 1 │
120 │ 128
│ 132 │ 136
│ 145 │
│ 2 │
100 │ 106
│ 108 │ 110
│ 116 │
├─────────┼──────┴─────────────┴──────────────┴─────────────┴─────────────┤
│ 3 │
Для всех марок стали
90 │
│ 4 │ То же 75 │
│ 5 │ " 60 │
│ 6 │ "
45 │
│ 7 │ " 36 │
│ 8 │ " 27 │
└─────────┴───────────────────────────────────────────────────────────────┘
┌─────────────────────┬────────────────────────┬──────────────────────────┐
│Напряженное
состояние│ Коэффициент асимметрии │
Формулы для вычисления │
│ (для сигма
) │ напряжений ро │
коэффициента гамма │
│ max │ │ v │
├─────────────────────┼────────────────────────┼──────────────────────────┤
│ Растяжение │ -1 <= ро <= 0 │ 2,5 │
│ │ │ -------- │
│ │ │ 1,5 - ро │
│ │ │ │
│ │ 0 < ро <= 0,8 │ 2,0 │
│ │ │ -------- │
│ │ │ 1,2 - ро │
│ │ │ │
│ │ 0,8 < ро < 1 │ 1,0 │
│ │ │ ------ │
│ │ │ 1 - ро │
├─────────────────────┼────────────────────────┼──────────────────────────┤
│ Сжатие │ -1 <= ро < 1 │ 2,0 │
│ │ │ ------ │
│ │ │ 1 - ро
│
└─────────────────────┴────────────────────────┴──────────────────────────┘
При расчете по формуле
(170) должно быть выполнено условие
.
12.1.3.
Стальные конструкции и их элементы, непосредственно воспринимающие нагрузки с
количеством циклов нагружений менее
,
следует проектировать с применением таких конструктивных решений, которые не
вызывают значительной концентрации напряжений, и в необходимых случаях
проверять расчетом на малоцикловую усталость.
12.2. Расчет балок крановых путей
Расчет на усталость
балок крановых путей следует выполнять согласно требованиям 12.1.1 и 12.1.2 на
действие крановых нагрузок, определяемых согласно СП 20.13330. При этом следует
принимать
при кранах групп режимов работы 7К (в цехах
металлургических производств) и 8К и
- в остальных случаях. Расчет на усталость
верхней зоны стенок составных балок крановых путей в этих случаях следует
выполнять по формуле
где
- расчетное сопротивление усталости,
принимаемое для всех марок сталей, равным для балок со сварными и фрикционными
поясными соединениями соответственно:
для сжатой верхней
зоны стенки (сечения в пролете балки)
и 96 Н/мм2;
для растянутой
верхней зоны стенки (опорные сечения неразрезных балок)
и 89 Н/мм2.
Значения напряжений
в формуле (173) следует определять по формулам 8.3.3.
13. Проектирование стальных конструкций
с учетом
предотвращения хрупкого разрушения
13.1. При
проектировании стальных конструкций следует исключать возможность хрупкого
разрушения, возникающую вследствие неблагоприятного влияния сочетания следующих
факторов:
пониженной
температуры, при которой сталь в зависимости от ее химического состава,
структуры и толщины проката переходит в хрупкое состояние;
действия подвижных,
динамических и вибрационных нагрузок;
высоких местных
напряжений, вызванных воздействием сосредоточенных нагрузок или деформаций деталей
соединения, а также остаточных напряжений;
резких
концентраторов напряжений, ориентированных поперек направления действия
растягивающих напряжений.
13.2. Для
предотвращения хрупкого разрушения конструкций следует:
выбирать сталь
согласно требованиям 5.2 и таблицам В.1, В.2, В.3 Приложения В;
по возможности
избегать расположения сварных швов в зонах действия растягивающих напряжений,
превышающих 0,4
;
принимать меры по
снижению неблагоприятного влияния концентрации напряжений и наклепа, вызванных
конструктивным решением или возникающих при различных технологических операциях
(правка, гибка, гильотинная резка, продавливание отверстий и т.п.);
избегать
пересечений сварных швов;
для сварных
стыковых соединений применять выводные планки и физические методы контроля
качества швов;
учитывать, что
конструкции со сплошной стенкой имеют меньше концентраторов напряжений, чем
решетчатые;
в стыках элементов,
перекрываемых накладками, фланговые швы не доводить до оси стыка не менее чем
на 25 мм с каждой стороны;
применять возможно
меньшие толщины элементов сечения (особенно при гильотинной резке кромок и
продавливании отверстий);
фасонки связей,
вспомогательных и других второстепенных элементов крепить к растянутым
элементам конструкций по возможности на болтах.
13.3. При
применении в сварных соединениях проката толщиной s >= 25 мм из
низколегированных сталей в крестообразных, тавровых и угловых соединениях, а
также у сварных швов с полным проплавлением, один из элементов в которых
испытывает растягивающие напряжения по толщине листа, возникает риск появления
слоистого разрушения (дефекта в прокате, образующегося под действием сварки, в
виде слоистых трещин, параллельных плоскости проката).
Такой дефект обычно
обнаруживается при ультразвуковом контроле качества швов.
Возникновение
слоистого разрушения существенно зависит от формы соединений и расположения
сварных швов, от размера шва, толщины свариваемых элементов, степени жесткости
соединения и технологии сварки.
13.4. Склонность
проката к слоистым разрушениям следует определять при испытаниях на растяжение
в соответствии с ГОСТ 28870 по величине относительного сужения
на образцах, ось которых нормальна поверхности
проката.
13.5.
Исключить возможность слоистого разрушения можно при соблюдении условия
,
где
- суммарный фактор риска;
- нормируемое значение фактора риска для проката в соответствии с ГОСТ
28870:
,
,
соответственно для групп качества проката Z15,
Z25, Z35.
Расчетное значение
следует определять по формуле
, (174)
где
- форма соединения и расположение сварных
швов;
- толщина свариваемого проката;
- катет шва;
- степень жесткости соединения;
- влияние технологии сварки (суммарный фактор от количества проходов,
последовательности наложения швов и подогрева).
Значения
,
,
,
,
представлены в таблице 37.
Таблица 37
───────────────────────────────────────────────────────────────┬───────────
Характеристики сварных
соединений │ Факторы
│ риска
───────────────────────────────────────────────────────────────┴───────────
Форма соединения и расположения
сварного шва ![]()
───────────────────────────────────────────────────────────────────────────
Соединение без напряжения в направлении
Z ![]()
────────────────────────────────────────────────────────────────
![]()
───────────────────────────────────────────────────────────────────────────
Угловое соединение с симметрично расположенным
швом ![]()
────────────────────────────────────────────────────────────────
![]()
───────────────────────────────────────────────────────────────────────────
Соединение с промежуточным наплавленным
слоем ![]()
────────────────────────────────────────────────────────────────

───────────────────────────────────────────────────────────────────────────
Обычное тавровое соединение с угловыми
швами ![]()
────────────────────────────────────────────────────────────────
![]()
───────────────────────────────────────────────────────────────────────────
Тавровое соединение с угловыми
швами ![]()
с полным или частичным проваром
────────────────────────────────────────────────────────────────
![]()
───────────────────────────────────────────────────────────────────────────
Соединение с угловыми
швами, ![]()
расположенными вблизи свободного торца
листа
────────────────────────────────────────────────────────────────
![]()
───────────────────────────────────────────────────────────────────────────
Угловые соединения с полным
проваром ![]()
────────────────────────────────────────────────────────────────
![]()
───────────────────────────────────────────────────────────────────────────
Толщина листа S, мм, работающего в Z
направлении,
![]()
───────────────────────────────────────────────────────────────────────────
Величина катета углового шва a,
мм, ![]()
───────────────────────────────────────────────────────────────────────────
![]()

───────────────────────────────────────────────────────────────────────────
Степень жесткости
соединения ![]()
───────────────────────────────────────────────────────────────────────────
Низкая
- возможна свободная
усадка ![]()
───────────────────────────────────────────────────────────────────────────
Средняя
- частично возможна усадка шва и деформация конструкции ![]()
───────────────────────────────────────────────────────────────────────────
Высокая
- жесткое закрепление без усадки
шва ![]()
───────────────────────────────────────────────────────────────────────────
Технология сварки ![]()
───────────────────────────────────────────────────────────────────────────
Количество
проходов
Один ![]()
─────────────────────────────────────────────────────
Несколько ![]()
───────────────────────────────────────────────────────────────────────────
Последовательность Попеременно с одной и с
другой ![]()
наложения
швов стороны соединения
─────────────────────────────────────────────────────
Вначале с одной, затем с
другой ![]()
стороны соединения
───────────────────────────────────────────────────────────────────────────
Подогрев Без
подогрева ![]()
─────────────────────────────────────────────────────
С
подогревом ![]()
───────────────────────────────────────────────────────────────────────────
Расчетное значение
может быть уменьшено на 50% в случае работы
материала на статическое сжатие по толщине и увеличено на 10% - в случае
действия по толщине динамических или вибрационных нагрузок.
14. Проектирование соединений стальных конструкций
14.1.1. При
проектировании стальных конструкций со сварными соединениями следует:
назначать
минимальные размеры сварных швов с учетом требований 14.1.4 - 14.1.6, а также
применять минимально необходимое количество расчетных и конструктивных сварных
швов;
обеспечивать
свободный доступ к местам выполнения сварных соединений с учетом выбранного
вида и технологии сварки.
14.1.2. Основные
типы, конструктивные элементы и размеры сварных соединений следует принимать по
ГОСТ 5264, ГОСТ 8713, ГОСТ 11533, ГОСТ 11534, ГОСТ 14771, ГОСТ 23518.
14.1.3. При выборе
электродов, сварочной проволоки и флюсов следует учитывать группы конструкций и
расчетные температуры, указанные в Приложениях В и Г.
14.1.4. При
проектировании сварных соединений следует исключать возможность хрупкого
разрушения конструкций согласно требованиям раздела 13.
14.1.5. При
проектировании тавровых и угловых сварных соединений элементов стальных
конструкций с растягивающими напряжениями в направлении толщины проката с целью
исключения возможности слоистого разрушения металла под сварным швом, как
правило, следует:
применять стали для
конструкций группы 1 согласно Приложению В, с пределом текучести до 375 Н/мм2,
а также стали с гарантированными механическими свойствами в направлении толщины
проката согласно требованиям ГОСТ 28870;
применять сварочные
материалы с пониженной прочностью и повышенной пластичностью; использовать
технологические приемы сварки, направленные на снижение остаточных сварочных
напряжений; не применять порошковую проволоку;
отказаться от
применения одностороннего углового шва и перейти к двустороннему;
заменять угловые
соединения тавровыми, а в последних обеспечивать отношение ширины свеса к
толщине элементов не менее 1;
применять разделки
кромок, обеспечивающие снижение объема наплавленного металла.
14.1.6. Сварные
стыковые соединения листовых деталей, как правило, следует проектировать
прямыми с полным проваром и с применением выводных планок. В монтажных условиях
допускается односторонняя сварка с подваркой корня и сварка на остающейся
стальной подкладке.
14.1.7.
Размеры сварных угловых швов и конструкция соединения должны удовлетворять
следующим требованиям:
а) катет
углового шва
не должен превышать 1,2t, где t - наименьшая
из толщин свариваемых элементов;
катет шва,
наложенного на закругленную кромку фасонного проката толщиной t, как правило,
не должен превышать 0,9t;
б) катет
углового шва
должен удовлетворять требованиям расчета и
быть, как правило, не меньше указанного в таблице 38; при возможности
обеспечения большей глубины провара катет шва (от 5 мм и более) в тавровом
двустороннем, а также в нахлесточном и угловом соединениях допускается
принимать меньше указанного в таблице 38, но не менее 4 мм; при этом
дополнительным контролем должно быть установлено отсутствие дефектов, в том
числе технологических трещин;
в) расчетная длина
углового шва должна быть не менее
и не менее 40 мм;
г) расчетная длина
флангового шва должна быть не более
,
за исключением швов, в которых усилие действует на всем протяжении шва (здесь
- коэффициент, принимаемый согласно таблице 39);
д) размер нахлестки
должен быть не менее пяти толщин наиболее тонкого из свариваемых элементов;
е) соотношение
размеров катетов угловых швов следует принимать, как правило, 1:1; при разных
толщинах свариваемых элементов допускается принимать швы с неравными катетами;
при этом катеты, примыкающие к более тонкому либо к более толстому элементу,
должны удовлетворять требованиям соответственно 14.1.7, а либо 14.1.7, б;
ж) угловые швы
следует выполнять с плавным переходом к основному металлу в конструкциях,
возводимых в районах с расчетными температурами ниже минус 45 °C, а также в
случаях, когда плавный переход обеспечивает повышение расчетного сопротивления
усталости сварных соединений.
┌──────────┬────────┬───────────┬─────────────────────────────────────────┐
│ Вид
│ Вид │
Предел │Минимальный катет
шва k , мм, при толщине│
│соединения│
сварки │ текучести │ f │
│ │ │
стали, │ более толстого из
свариваемых элементов │
│ │ │ Н/мм2
│ t,
мм │
│ │ │ ├──────┬────┬─────┬─────┬─────┬─────┬─────┤
│ │ │ │4 - 5 │6 - │11 - │17
- │23 - │33 - │41 - │
│ │ │ │ │
10│ 16│ 22│
32│ 40 │ 80│
├──────────┼────────┼───────────┼──────┼────┼─────┼─────┼─────┼─────┼─────┤
│Тавровое
с│Ручная │До 285 │
4 │ 4 │
4 │ 5 │ 5 │ 6 │ 6 │
│двусторон-│дуговая
│Св. 285 │ 4 │
5 │ 6 │ 7 │ 8 │ 9 │
10 │
│ними │ │до 390 │ │
│ │ │
│ │ │
│угловыми │
├───────────┼──────┼────┼─────┼─────┼─────┼─────┼─────┤
│швами │ │" 390 " 590│ 5 │
6 │ 7 │ 8 │ 9 │
10 │ 12 │
│Нахлесточ-├────────┼───────────┼──────┼────┼─────┼─────┼─────┼─────┼─────┤
│ное
и │Автома- │До 285 │
3 │ 4 │
4 │ 5 │ 5 │ 6 │ 6 │
│угловое │тичес- │Св. 285 │
3 │ 4 │
5 │ 6 │ 7 │ 8 │ 9 │
│ │кая и │до 390 │ │
│ │ │
│ │ │
│ │механи- ├───────────┼──────┼────┼─────┼─────┼─────┼─────┼─────┤
│ │зиро- │" 390 " 590│ 4 │
5 │ 6 │ 7 │ 8 │ 9 │
10 │
│ │ванная │ │ │
│ │ │
│ │ │
├──────────┼────────┼───────────┼──────┼────┼─────┼─────┼─────┼─────┼─────┤
│Тавровое
с│Ручная │До 375 │
5 │ 6 │
7 │ 8 │ 9 │
10 │ 12 │
│односто- │дуговая │ │ │
│ │ │
│ │ │
│ронними ├────────┤ ├──────┼────┼─────┼─────┼─────┼─────┼─────┤
│угловыми │Автома- │ │ 4 │
5 │ 6 │ 7 │ 8 │ 9 │
10 │
│швами │тичес- │ │ │
│ │ │
│ │ │
│ │кая и │ │ │
│ │ │
│ │ │
│ │механи- │ │ │
│ │ │
│ │ │
│ │зиро- │ │
│ │ │
│ │ │
│
│ │ванная │ │ │
│ │ │
│ │ │
├──────────┴────────┴───────────┴──────┴────┴─────┴─────┴─────┴─────┴─────┤
│ Примечания. 1. В
конструкциях из стали с пределом текучести свыше│
│590
Н/мм2, а также из всех сталей при толщине
элементов более 80 мм│
│минимальный
катет швов следует
принимать по специальным
техническим│
│условиям. │
│ 2. В конструкциях группы 4 минимальный катет
односторонних угловых│
│швов
следует уменьшать на 1 мм при толщине свариваемых элементов до 40 мм│
│и
на 2 мм - при толщине элементов свыше 40 мм. │
└─────────────────────────────────────────────────────────────────────────┘
┌────────────────────┬───────────────┬───────┬────────────────────────────┐
│ Вид сварки при │ Положение шва │Коэффи-│ Значения коэффициентов │
│
диаметре сварочной │ │циент │бета
и бета при нормальных│
│проволоки
сплошного │ │ │ f
z │
│ сечения d, мм │ │ │
режимах сварки и катетах │
│ │ │ │ швов, мм │
│ │ │ ├──────┬──────┬───────┬──────┤
│ │ │ │3 - 8 │9 - 12│14 - 16│св.
16│
├────────────────────┼───────────────┼───────┼──────┴──────┴───────┼──────┤
│Автоматическая
при │В лодочку │ бета │ 1,1 │ 0,7 │
│d
= 3 - 5 │ │ f │ │ │
│ │ ├───────┼─────────────────────┼──────┤
│ │ │ бета │
1,15 │ 1,0 │
│ │ │ z │ │ │
│ ├───────────────┼───────┼──────┬──────────────┼──────┤
│ │Нижнее │ бета │ 1,1
│ 0,9 │ 0,7 │
│ │ │ f │ │ │ │
│ │ ├───────┼──────┼──────────────┼──────┤
│ │ │ бета │ 1,15 │ 1,05
│ 1,0 │
│ │ │ z │ │ │ │
├────────────────────┼───────────────┼───────┼──────┴──────┬───────┼──────┤
│Автоматическая
и │В лодочку │ бета │
0,9 │
0,8 │ 0,7 │
│механизированная
при│ │ f │ │ │ │
│d
= 1,4 - 2 │ ├───────┼─────────────┼───────┴──────┤
│ │ │ бета │
1,05 │ 1,0
│
│ │ │ z │ │ │
│ ├───────────────┼───────┼──────┬──────┼──────────────┤
│ │Нижнее, │ бета │ 0,9
│ 0,8 │ 0,7
│
│ │горизонтальное,│ f │ │ │ │
│ │вертикальное │
│ │ │ │
│ │ ├───────┼──────┼──────┴──────────────┤
│ │ │ бета │ 1,05 │ 1,0 │
│ │ │ z │ │ │
├────────────────────┼───────────────┼───────┼──────┴─────────────────────┤
│Ручная
и │В лодочку │ бета │ 0,7 │
│механизированная
при│ │ f │ │
│d
< 1,4 или ├───────────────┼───────┼────────────────────────────┤
│порошковой │Нижнее, │ бета │ 1,0 │
│проволокой │горизонтальное,│ z │ │
│ │вертикальное, │
│
│
│ │потолочное │ │ │
└────────────────────┴───────────────┴───────┴────────────────────────────┘
14.1.8. Для угловых
швов, размеры которых установлены в соответствии с расчетом, для элементов из
стали с пределом текучести до 285 Н/мм2 следует, как правило, применять
электродные материалы, удовлетворяющие условиям:
- при механизированной сварке;
- при ручной сварке;
для элементов из
стали с пределом текучести свыше 285 Н/мм2 допускается применять электродные
материалы, удовлетворяющие условию
(здесь
и
- коэффициенты, зависящие от технологии сварки
и катета шва и определяемые по таблице 39).
14.1.9.
Односторонние угловые швы в тавровых соединениях элементов из стали с пределом
текучести до 375 Н/мм2, как правило, следует применять в конструкциях,
эксплуатируемых в неагрессивной или слабоагрессивной среде (классификация по СНиП
2.03.11) в отапливаемых помещениях:
для прикрепления
промежуточных ребер жесткости и диафрагм - в конструкциях всех групп, кроме
конструкций группы 1, рассчитываемых на усталость;
для поясных швов
сварных двутавров - в конструкциях групп 2 и 3 (кроме балок с условной
гибкостью стенки
)
при толщине стенки
в колоннах и стойках до 12 мм и в балках до 10
мм, при выполнении швов механизированной сваркой с катетом шва
;
при этом следует учитывать требования 15.3.3 и 15.5.5;
для всех
конструктивных элементов - в конструкциях группы 4.
Катеты
односторонних швов следует принимать по расчету, но не менее указанных в таблице
38.
Односторонние
угловые швы не следует применять в конструкциях зданий и сооружений,
относящихся к I уровню ответственности, возводимых в районах с сейсмичностью 8
баллов и выше, в районах с расчетной температурой ниже минус 45 °C, в
конструкциях групп 1, 2, 3 в зданиях с кранами режимов работы 7К (в цехах
металлургических производств) и 8К, а также в балках и ригелях рамных
конструкций, рассчитываемых согласно требованиям 8.2.3, 8.2.6 и 8.2.7.
14.1.10.
Прерывистые угловые сварные швы допускается применять при статической нагрузке
при избыточной несущей способности непрерывного шва минимального размера для
соединений в конструкциях группы 4, а также в реконструируемых конструкциях
группы 3, в районах, кроме имеющих расчетную температуру ниже минус 45 °C, и
эксплуатируемых в неагрессивных или слабоагрессивных средах.
Размеры сварного
шва должны соответствовать требованиям 14.1.7.
Расстояние s между
участками сварных швов (рисунок 19), как правило, не должно превышать одного из
значений: 200 мм,
в сжатом элементе (
-толщина самого тонкого из соединяемых
элементов),
в растянутом элементе. В конструкциях группы 4
расстояние s допускается увеличить на 50%.

а - в нахлесточном
соединении; б - в тавровом соединении
Рисунок 19. Схема
прерывистых угловых сварных швов
При наложении
прерывистого шва следует предусматривать шов по концам соединяемых частей элементов;
длина
этого шва в элементах составного сечения из
пластин должна быть не менее 0,75b, где b - ширина более узкой из соединяемых
пластин.
4.1.11. Угловые
сварные швы, расположенные по периметру отверстий или прорезей, допускается
применять в нахлесточных соединениях в случаях, предусмотренных 14.1.10, для
передачи усилий в плоскости нахлестки, предотвращения потери устойчивости
элементов нахлестки или конструктивных соединений элементов.
4.1.12. Пробочные
швы, заполняющие наплавленным металлом всю площадь круглых или щелевых
отверстий, допускается применять в нахлесточных соединениях в случаях,
предусмотренных 14.1.10, только для предотвращения потери устойчивости элементов
нахлестки или для конструктивных соединений элементов.
Толщина пробочного
шва должна быть: не менее толщины t просверленного или прорезанного элемента,
но не более 16 мм; не менее 0,1 длины прорези либо значений 0,45d или 0,45b
(где d и b - диаметр отверстия и ширина прорези, равные d >= t + 8 мм и b
>= t + 8 мм).
Расстояние между
центрами отверстий или продольными осями прорезей должно быть не менее 4d или
4b.
14.1.13. Применение
комбинированных соединений, в которых часть сдвигающего усилия воспринимается
фрикционным соединением, а часть - сварными швами, допускается при условии, что
сварка выполнена после затяжки болтов на расчетное усилие и с последующей их дотяжкой
в случае необходимости.
Распределение
усилия между фрикционными и сварными соединениями допускается принимать
пропорционально их несущим способностям. Применение в комбинированных
соединениях болтов без контролируемого натяжения не допускается.
14.1.14. Расчет
сварных стыковых соединений при действии осевой силы N, проходящей через центр
тяжести соединения, следует выполнять по формуле
где t - наименьшая
из толщин соединяемых элементов;
- расчетная длина шва, равная полной его длине, уменьшенной на 2t, или
полной его длине, если концы шва выведены за пределы стыка.
При расчете сварных
стыковых соединений элементов из стали с отношением
,
эксплуатация которых возможна и после достижения металлом предела текучести, а
также из стали с пределом текучести
в формуле (175) вместо
следует принимать
.
Расчет сварных
стыковых соединений выполнять не требуется при применении сварочных материалов
согласно Приложению Г, полном проваре соединяемых элементов и физическом
контроле качества соединений при растяжении.
14.1.15. Сварные
стыковые соединения, выполненные без физического контроля качества, при
одновременном действии в одном и том же сечении шва нормальных
и
и касательных
напряжений следует проверять по формуле (44),
принимая в ней
,
,
,
.
14.1.16. Расчет
сварного соединения с угловыми швами при действии силы N, проходящей через
центр тяжести соединения, следует выполнять на срез (условный) по одному из
двух сечений (рисунок 20) по формулам:
при
по металлу шва
;
(176)
при
по металлу границы сплавления
,
(177)
где
- расчетная длина швов в сварном соединении,
равная суммарной длине всех его участков за вычетом по 1 см на каждом
непрерывном участке шва;
,
- коэффициенты, принимаемые по таблице 39.

1 - по металлу шва;
2 - по металлу границы сплавления
Рисунок 20.
Схема расчетных сечений
сварного соединения
с угловым швом
14.1.17. Расчет
сварных соединений с угловыми швами при действии момента M в плоскости,
перпендикулярной плоскости расположения швов, следует выполнять на срез
(условный) по одному из двух сечений (см. рисунок 20) по формулам:
по металлу шва
; (178)
по металлу границы
сплавления
, (179)
где
и
- моменты сопротивления расчетных сечений
сварного соединения по металлу шва и по металлу границы сплавления
соответственно.
14.1.18. Расчет
сварного соединения с угловыми швами при действии момента M в плоскости
расположения этих швов следует выполнять на срез (условный) по одному из двух
сечений (см. рисунок 20) по формулам:
по металлу шва
; (180)
по металлу границы
сплавления
, (181)
где x и y -
координаты точки сварного соединения, наиболее удаленной от центра тяжести O
расчетного сечения этого соединения (рисунок 21);
,
- моменты инерции расчетного сечения сварного
соединения по металлу шва относительно его главных осей x - x и y - y
соответственно;
,
- то же, по металлу границы сплавления.

Рисунок 21.
Расчетная схема сварного соединения
14.1.19. При
расчете сварного соединения с угловыми швами на одновременное действие
продольной N и поперечной V сил и момента M (см. рисунок 21) должны быть
выполнены условия
и
,
(182)
где
и
- напряжения в точке расчетного сечения
сварного соединения по металлу шва и по металлу границы сплавления
соответственно, определяемые по формуле
. (183)
14.1.20.
Нахлесточные соединения элементов толщиной до 4 мм допускается осуществлять
точечным швом дуговой сваркой сквозным проплавлением; при этом несущую способность
одной точки следует принимать равной меньшему из двух предельных значений:
при срезе
; (184)
при вырыве
, (185)
где d - диаметр
точечного шва в плоскости соединяемых элементов, принимаемый по ГОСТ 14776;
при применении
способа сварки, не предусмотренного ГОСТ 14776, значение d следует
согласовывать и принимать в установленном порядке;
при сварке элементов равной толщины;
при сварке элементов с разными толщинами, отличающимися в 2 и более
раза; при меньшем отличии в толщинах значение
следует принимать по интерполяции;
t - меньшая из
толщин свариваемых элементов.
14.2.1. Для
болтовых соединений элементов стальных конструкций следует применять болты
согласно Приложению Г.
14.2.2.
Болты следует размещать согласно требованиям таблицы 40, при этом в стыках и в
узлах на минимальных расстояниях, а соединительные конструктивные болты, как
правило, на максимальных расстояниях.
┌──────────────────────────────────────────────────────────┬──────────────┐
│Характеристика
расстояния и предела текучести соединяемых │Расстояние при│
│ элементов │ размещении
│
│
│ болтов │
├──────────────────────────────────────────────────────────┼──────────────┤
│1.
Расстояние между центрами отверстий для болтов в любом │ │
│направлении: │ │
│
а) минимальное: │ │
│ при R
<= 375 Н/мм2 │ 2,5d
│
│ yn
│ │
│ при R
> 375 Н/мм2 │ 3d
│
│ yn
│ │
│
б) максимальное в крайних рядах при отсутствии │ 8d или 12t
│
│окаймляющих
уголков при растяжении и сжатии
│ │
│
в) максимальное в средних рядах, а также в крайних рядах │ │
│при
наличии окаймляющих уголков: │ │
│ при растяжении │
16d или 24t │
│ при сжатии │ 12d или 18t │
│2.
Расстояние от центра отверстия для болта до края │ │
│элемента:
│ │
│
а) минимальное вдоль усилия: │ │
│ при R <= 375 Н/мм2 │ 2d
│
│ yn
│ │
│ при R
> 375 Н/мм2 │ 2,5d
│
│ yn │ │
│
б) то же, поперек усилия: │ │
│ при обрезных кромках │ 1,5d
│
│ при прокатных кромках │ 1,2d
│
│
в) максимальное │ 4d или 8t
│
│
г) минимальное во фрикционном соединении при любой │ 1,3d
│
│ кромке и любом направлении усилия │ │
│3. Расстояние минимальное между центрами
отверстий вдоль │ u + 1,5d
│
│усилия
для болтов, размещаемых в шахматном порядке │ │
├──────────────────────────────────────────────────────────┴──────────────┤
│ Обозначения, принятые в таблице 40: │
│ d - диаметр отверстия для болта; │
│ t - толщина наиболее тонкого наружного
элемента; │
│ u - расстояние поперек усилия между рядами
отверстий. │
│
Примечания. 1. Диаметр отверстий следует принимать: для болтов класса│
│точности
A d = d ; для болтов класса точности B в конструкциях опор
ВЛ,│
│ b
│
│ОРУ
и КС d = d + 1 мм, в остальных случаях d
= d + (1; 2 или 3 мм), где│
│ b b │
│d - диаметр болта. │
│
b
│
│
2. В одноболтовых
соединениях элементов решетки
(раскосов и│
│распорок), кроме
постоянно работающих на
растяжение, при толщине│
│элементов
до 6 мм из стали с пределом текучести до 375
Н/мм2 расстояние│
│от
края элемента до центра отверстия вдоль усилия
допускается принимать│
│1,35d
(без допуска при изготовлении элементов в сторону уменьшения, о чем│
│должно
быть указано в проекте). │
│ 3. При размещении болтов в шахматном
порядке на расстоянии, не менее│
│указанного
в поз. 3, сечение элемента A
следует определять с
учетом│
│ n │
│ослабления
его отверстиями, расположенными в одном сечении поперек усилия│
│(не
по зигзагу).
│
└─────────────────────────────────────────────────────────────────────────┘
При прикреплении
уголка одной полкой болтами, размещаемыми в шахматном порядке, отверстие,
наиболее удаленное от его конца, следует размещать на риске, ближайшей к
обушку.
Допускается крепить
элементы одним болтом.
14.2.3. Болты
класса точности A следует применять для соединений, в которых отверстия
просверлены на проектный диаметр в собранных элементах, либо по кондукторам в
отдельных элементах и деталях, либо просверлены или продавлены на меньший
диаметр в отдельных деталях с последующей рассверловкой до проектного диаметра
в собранных элементах.
Болты классов
точности B в многоболтовых соединениях следует применять для конструкций из
стали с пределом текучести до 375 Н/мм2.
В соединениях, где
болты работают преимущественно на растяжение, как правило, следует применять
болты классов точности B или высокопрочные.
14.2.4. Болты,
имеющие по длине ненарезанной части участки с различными диаметрами, не следует
применять в соединениях, в которых эти болты работают на срез.
14.2.5. Резьба
болта, воспринимающего сдвигающее усилие, в элементах структурных конструкций,
опор линий электропередачи и открытых распределительных устройств, а также в
соединениях при толщине наружного элемента до 8 мм должна находиться вне пакета
соединяемых элементов; в остальных случаях резьба болта не должна входить
вглубь отверстия более чем на половину толщины крайнего элемента со стороны
гайки или свыше 5 мм.
14.2.6. Установку
шайб на болты следует выполнять согласно требованиям СНиП 3.03.01.
В расчетных
соединениях с болтами классов точности A и B (за исключением крепления
вспомогательных конструкций) следует предусматривать меры против
самоотвинчивания гаек (постановка пружинных шайб, вторых гаек и др.).
14.2.7. На
скошенных поверхностях соединяемых деталей и элементов (внутренние грани полок
двутавров и швеллеров) под головки болтов или гайки следует устанавливать косые
шайбы.
14.2.8. Диаметр
отверстия для болтов в элементах из проката должен соответствовать ГОСТ 24839 и
примечанию 1 таблицы 40.
14.2.9.
Расчетное усилие, которое может быть воспринято одним болтом, в зависимости от
вида напряженного состояния следует определять по формулам:
при срезе
; (186)
при смятии
; (187)
при растяжении
где
,
,
- расчетные сопротивления одноболтовых
соединений;
и
- площади сечений стержня болта брутто и
резьбовой части нетто соответственно, принимаемые согласно таблице Г.9
Приложения Г;
- число расчетных срезов одного болта;
- наружный диаметр стержня болта;
- наименьшая суммарная толщина соединяемых элементов, сминаемых в
одном направлении;
- коэффициент условий работы, определяемый по таблице 1;
- коэффициент условий работы болтового соединения, определяемый по
таблице 41 и принимаемый не более 1,0.
┌───────────────────────────┬───────────┬─────────────────┬───────────────┐
│ Характеристика │
Предел │Значения a/d, s/d│ Значение
│
│ │ текучести │ │ коэффициента │
├──────────────┬────────────┤
R стали │ │ гамма
│
│ болтового
│напряженного│
yn │ │ b
│
│ соединения
│ состояния │соединяемых│ │ │
│ │ │элементов, │ │ │
│ │ │ Н/мм2
│ │ │
├──────────────┼────────────┼───────────┼─────────────────┼───────────────┤
│Одноболтовое,
│ Срез │
- │ -
│ 1,0 │
│болт
классов ├────────────┼───────────┼─────────────────┼───────────────┤
│точности
A, B │ Смятие │
До 285 │1,5 <= a/d
<= 2; │ 0,4a/d + 0,2 │
│или │ │ │1,35 <= a/d < 1,5│ a/d - 0,7
│
│высокопрочный
│ ├───────────┤ ├───────────────┤
│ │ │ Св. 285
│ │ 0,5a/d
│
│ │ │ до 375
│ │0,67a/d
- 0,25 │
│ │ ├───────────┼─────────────────┼───────────────┤
│ │ │ Св. 375
│ a/d >= 2,5 │
1,0 │
│ │ │ │ │ │
├──────────────┼────────────┼───────────┼─────────────────┼───────────────┤
│Многоболтовое,│ Срез
│ - │ -
│ 1,0 │
│болты
класса ├────────────┼───────────┼─────────────────┼───────────────┤
│точности
A │ Смятие
│ До 285 │ 1,5 <= a/d <= 2 │ 0,4a/d
+ 0,2 │
│ │ │ │ 2 <= s/d <= 2,5 │ 0,4s/d
│
│ │ ├───────────┤ ├───────────────┤
│ │ │ Св. 285
│ │ 0,5a/d
│
│ │ │ до 375
│ │
0,5s/d - 0,25 │
│ │ ├───────────┼─────────────────┼───────────────┤
│ │ │ Св. 375
│ a/d >= 2,5 │
1,0 │
│ │ │ │ s/d >= 3 │ 1,0
│
├──────────────┴────────────┴───────────┴─────────────────┴───────────────┤
│ Обозначения, принятые в таблице 41: │
│ a - расстояние вдоль усилия от края элемента
до центра ближайшего│
│отверстия;
│
│ s - расстояние вдоль усилия между центрами
отверстий; │
│ d - диаметр отверстия для болта. │
│ Примечания. 1. Для расчета многоболтового
соединения на срез и смятие│
│при
болтах класса точности B, а
также при высокопрочных
болтах без│
│регулируемого
натяжения при всех значениях
предела текучести R стали│
│
yn │
│соединяемых элементов
значения коэффициента гамма следует умножать на│
│ b │
│0,9.
│
│ 2. Для расчета многоболтового соединения на
смятие следует принимать│
│значение
гамма , меньшее из вычисленных при принятых значениях d, a, s. │
│ b
│
└─────────────────────────────────────────────────────────────────────────┘
14.2.10. При
действии на болтовое соединение силы N, проходящей через центр тяжести
соединения, распределение этой силы между болтами следует принимать
равномерным. В этом случае количество болтов в соединении следует определять по
формуле
, (189)
где
- наименьшее из значений
или
,
либо значение
,
вычисленное согласно требованиям 14.2.9.
В случаях, когда в
стыке расстояние l между крайними болтами вдоль сдвигающего усилия превышает
16d, значение n в формуле (189) следует увеличивать путем деления на
коэффициент
,
принимаемый равным не менее 0,75. Это требование не распространяется при
действии усилия по всей длине соединения (например, в поясном соединении
балки).
14.2.11.
При действии на болтовое соединение момента, вызывающего сдвиг соединяемых
элементов, распределение усилий на болты следует принимать пропорционально
расстояниям от центра тяжести соединения до рассматриваемого болта.
Усилие в наиболее
нагруженном болте
не должно превышать меньшего из значений
или
,
вычисленных согласно требованиям 14.2.9.
14.2.12.
При одновременном действии на болтовое соединение силы и момента, действующих в
одной плоскости и вызывающих сдвиг соединяемых элементов, болты следует
проверять на равнодействующее усилие (в наиболее нагруженном болте, которое не
должно превышать меньшего из значений
или
,
вычисленных согласно требованиям 14.2.9).
14.2.13. При
одновременном действии на болтовое соединение усилий, вызывающих срез и
растяжение болтов, наиболее напряженный болт, наряду с проверкой по формуле
(188), следует проверять по формуле
, (190)
где
и
- усилия, действующие на болт, срезывающее и
растягивающее соответственно;
,
- расчетные усилия, определяемые согласно
требованиям 14.2.9.
14.2.14. В
креплениях одного элемента к другому через прокладки или иные промежуточные
элементы, а также в элементах с односторонней накладкой количество болтов по
сравнению с расчетом следует увеличивать на 10%.
При креплениях
выступающих полок уголков или швеллеров с помощью коротышей количество болтов,
прикрепляющих коротыш к этой полке, по сравнению с результатом расчета следует
увеличивать на 50%.
14.2.15.
Фундаментные (анкерные) болты следует проверять согласно требованиям СНиП
2.09.03.
14.3. Фрикционные соединения (на болтах с контролируемым натяжением)
14.3.1. Фрикционные
соединения, в которых усилия передаются через трение, возникающее по
соприкасающимся поверхностям соединяемых элементов вследствие натяжения высокопрочных
болтов, следует применять:
в конструкциях из
стали с пределом текучести свыше 375 Н/мм2 и непосредственно воспринимающих
подвижные, вибрационные и другие динамические нагрузки;
в многоболтовых
соединениях, к которым предъявляются повышенные требования в отношении
ограничения деформативности.
14.3.2. Во
фрикционных соединениях следует применять болты, гайки и шайбы согласно
требованиям 5.6.
Болты следует
размещать согласно требованиям таблицы 40.
14.3.3.
Расчетное усилие, которое может быть воспринято каждой плоскостью трения
элементов, стянутых одним высокопрочным болтом, следует определять по формуле
где
- расчетное сопротивление растяжению
высокопрочного болта, определяемое согласно требованиям 6.7;
- площадь сечения болта по резьбе, принимаемая согласно таблице Г.9
Приложения Г;
- коэффициент трения, принимаемый по таблице 42;
- коэффициент, принимаемый по таблице 42.
Таблица 42
┌────────────────────────────┬───────────┬────────────────────────────────┐
│
Способ обработки (очистки) │Коэффициент│Коэффициент гамма при контроле │
│ соединяемых поверхностей │ трения мю │ h │
│
│ │ натяжения болтов по моменту │
│ │ │ закручивания при разности │
│ │ │номинальных диаметров
отверстий │
│ │ │ и болтов дельта, мм, при │
│ │ │ нагрузке │
│ │ ├────────────────┬───────────────┤
│ │ │ динамической
│ динамической │
│ │ │дельта = 3 - 6; │ дельта = 1;
│
│ │ │ статической
│ статической │
│ │ │ дельта = 5 - 6 │дельта
= 1 - 4 │
├────────────────────────────┼───────────┼────────────────┼───────────────┤
│1.
Дробеметный или │ 0,58
│ 1,35 │ 1,12
│
│дробеструйный
двух │ │ │ │
│поверхностей
без консервации│ │ │ │
│2.
Газопламенный двух │ 0,42
│ 1,35 │ 1,12
│
│поверхностей
без консервации│ │ │ │
│3.
Стальными щетками двух │ 0,35
│ 1,35 │ 1,17
│
│поверхностей
без консервации│ │ │ │
│4.
Без обработки │ 0,25
│ 1,70 │ 1,30
│
├────────────────────────────┴───────────┴────────────────┴───────────────┤
│ Примечание.
При контроле натяжения болтов по углу поворота
гайки│
│значения
гамма следует умножать на 0,9. │
│ h
│
└─────────────────────────────────────────────────────────────────────────┘
14.3.4. При
действии на фрикционное соединение силы N, вызывающей сдвиг соединяемых
элементов и проходящей через центр тяжести соединения, распределение этой силы
между болтами следует принимать равномерным. В этом случае количество болтов в
соединении следует определять по формуле
, (192)
где
- расчетное усилие, определяемое по формуле
(191);
-
количество плоскостей трения соединяемых элементов;
- коэффициент условий работы, принимаемый по таблице 1;
- коэффициент условий работы фрикционного соединения, зависящий от
количества n болтов, необходимых для восприятия расчетного усилия, и
принимаемый равным:
0,8 при n < 5;
0,9 при 5 <= n
< 10;
1,0 при n >= 10.
14.3.5. При
действии на фрикционное соединение момента или силы и момента, вызывающих сдвиг
соединяемых элементов, распределение усилий между болтами следует принимать
согласно указаниям 14.2.11 и 14.2.12.
14.3.6. При
действии на фрикционное соединение помимо силы N, вызывающей сдвиг соединяемых
элементов, силы F, вызывающей растяжение в болтах, значение коэффициента
,
определяемое согласно требованиям 14.3.4, следует умножать на коэффициент
,
где
- растягивающее усилие, приходящееся на один
болт,
- усилие натяжения болта, принимаемое равным
.
14.3.7. Диаметр
болта во фрикционном соединении следует принимать при условии
,
где
- суммарная толщина соединяемых элементов,
сминаемых в одном направлении,
- диаметр болта.
Во фрикционных
соединениях с большим количеством болтов их диаметр следует назначать возможно
.
14.3.8. В проекте
должны быть указаны марки стали и механические свойства болтов, гаек и шайб и
стандарты, по которым они должны поставляться, способ обработки соединяемых
поверхностей, осевое усилие
,
принимаемое согласно 14.3.6.
14.3.9. При
проектировании фрикционных соединений следует обеспечивать возможность
свободного доступа для установки болтов, плотного стягивания пакета болтами и
закручивания гаек с применением динамометрических ключей, гайковертов и др.
14.3.10. Для
высокопрочных болтов по ГОСТ Р 52644 с увеличенными размерами головок и гаек и
при разности номинальных диаметров отверстия и болта не более 3 мм, а в
конструкциях из стали с временным сопротивлением не ниже 440 Н/мм2 - не более 4
мм допускается установка одной шайбы под гайку.
14.3.11. Расчет на
прочность соединяемых элементов, ослабленных отверстиями во фрикционном
соединении, следует выполнять с учетом того, что половина усилия, приходящегося
на каждый болт, передана силами трения. При этом проверку ослабленных сечений
следует выполнять: при подвижных, вибрационных и других динамических нагрузках
- по площади сечения нетто
;
при статических нагрузках - по площади сечения брутто A (при
)
либо по условной площади
(при
).
14.4. Поясные соединения в составных балках
14.4.1. Сварные и
фрикционные поясные соединения составной двутавровой балки следует рассчитывать
по формулам таблицы 43.
───────────┬──────────────────────────┬────────────────────────────────────
Характер
│ Поясные соединения │
Формулы для расчета поясных
нагрузки
│ │ соединений в составных балках
───────────┴──────────────────────────┴────────────────────────────────────
Неподвижная Сварные
(193)
(194)
───────────────────────────────────────────────────────────────
Фрикционные
(195)
───────────────────────────────────────────────────────────────────────────
Подвижная Сварные (двусторонние швы)
(196)
(197)
───────────────────────────────────────────────────────────────
Фрикционные
(198)
───────────────────────────────────────────────────────────────────────────
Обозначения, принятые в таблице 43:
T =
QS/I - сдвигающее
пояс усилие на
единицу длины, вызываемое
поперечной
силой Q (здесь S
- статический момент
брутто пояса балки
относительно
центральной оси);
n -
количество угловых швов:
при двусторонних швах
n = 2, при
односторонних
n = 1;
,
- величины, определяемые согласно 14.3.3, 14.3.4;
- давление от сосредоточенного груза
на единицу длины,
определяемое
с учетом требований 8.2.2 и 8.3.3
(для неподвижных грузов
);
и
-
коэффициенты надежности по
нагрузке, принимаемые по СП
20.13330;
s - шаг поясных болтов;
- коэффициент, принимаемый равным:
при нагрузке
по верхнему
поясу
балки, к которому пристрогана
стенка, и
при
отсутствии
пристрожки
стенки или при нагрузке по нижнему поясу.
───────────────────────────────────────────────────────────────────────────
При отсутствии
поперечных ребер жесткости для передачи неподвижных сосредоточенных нагрузок,
приложенных к верхнему поясу, а также при приложении неподвижной
сосредоточенной нагрузки к нижнему поясу независимо от наличия ребер жесткости
в местах приложения нагрузки поясные соединения следует рассчитывать как для
подвижной нагрузки.
Сварные швы,
выполненные с проваром на всю толщину стенки, следует считать равнопрочными со
стенкой.
14.4.2. В балках с
фрикционными поясными соединениями с многолистовыми поясными пакетами
прикрепление каждого из листов за местом своего теоретического обрыва следует
рассчитывать на половину усилия, которое может быть воспринято сечением листа.
Прикрепление каждого листа на участке между действительным местом его обрыва и
местом обрыва предыдущего листа следует рассчитывать на полное усилие, которое
может быть воспринято сечением листа.
15. Дополнительные требования по проектированию
некоторых видов
зданий, сооружений и конструкций
15.1. Расстояния между температурными швами
Расстояния l между
температурными швами стальных каркасов одноэтажных зданий и сооружений не
должны превышать наибольших значений
,
принимаемых по таблице 44.
┌────────────────────────────────────────────┬────────────────────────────┐
│ Характеристика │Наибольшее расстояние l
, м,│
│ │ u │
│ │ при расчетной
температуре │
│ │ воздуха, °C (см. 4.2.3) │
├─────────────┬──────────────────────────────┼──────────────┬─────────────┤
│ здания
│ направления │ t >= -45
│ t < -45 │
│и
сооружения │
│ │ │
├─────────────┼──────────────┬───────────────┼──────────────┼─────────────┤
│Отапливаемое
│между │вдоль блока
(по│ 230 │ 160
│
│здание │температурными│длине
здания) │ │ │
│ │швами │ │ │ │
│ │ ├───────────────┼──────────────┼─────────────┤
│ │ │по ширине блока│ 150
│ 110 │
│ ├──────────────┴───────────────┼──────────────┼─────────────┤
│ │от температурного шва
или │ 90
│ 60 │
│ │торца здания до оси
ближайшей │ │ │
│ │вертикальной связи │ │ │
├─────────────┼──────────────┬───────────────┼──────────────┼─────────────┤
│Неотап- │между │вдоль блока (по│ 200
│ 140
│
│ливаемое │температурными│длине
здания) │ │ │
│здание
и │швами │ │ │ │
│горячий
цех │ ├───────────────┼──────────────┼─────────────┤
│ │ │по ширине блока│ 120
│ 90 │
│ ├──────────────┴───────────────┼──────────────┼─────────────┤
│ │от температурного шва
или │ 75
│ 50 │
│ │торца здания до оси ближайшей
│ │ │
│ │вертикальной связи │ │ │
├─────────────┼──────────────────────────────┼──────────────┼─────────────┤
│Открытая │между температурными швами │
130 │ 100 │
│эстакада │вдоль блока │ │ │
│ ├──────────────────────────────┼──────────────┼─────────────┤
│ │от температурного шва
или │ 50
│ 40 │
│ │торца здания до оси
ближайшей │ │ │
│ │вертикальной связи │ │ │
├─────────────┴──────────────────────────────┴──────────────┴─────────────┤
│ Примечание.
При наличии между
температурными швами здания
или│
│сооружения
двух вертикальных связей расстояние между последними в осях не│
│должно
превышать: для зданий 40 - 50 м и для открытых эстакад 25 - 30 м,│
│при
этом для зданий и сооружений, возводимых при
расчетных температурах│
│t
< -45 °C, должны приниматься меньшие из указанных расстояний. │
└─────────────────────────────────────────────────────────────────────────┘
При превышении
более чем на 5% указанных в таблице 44 расстояний, а также при увеличении
жесткости каркаса стенами или другими конструкциями в расчете следует учитывать
климатические температурные воздействия, неупругие деформации конструкций и
податливость узлов.
15.2. Фермы и структурные плиты покрытий
15.2.1. Оси
стержней ферм и структур должны быть, как правило, центрированы во всех узлах.
Центрирование стержней следует производить в сварных фермах по центрам тяжести
сечений (с округлением до 5 мм), а в болтовых - по рискам уголков, ближайшим к
обушку.
Смещение осей
поясов ферм при изменении сечений допускается не учитывать, если оно не
превышает 1,5% высоты пояса меньшего сечения.
При наличии
эксцентриситетов в узлах элементы ферм и структур следует рассчитывать с учетом
соответствующих изгибающих моментов.
При приложении
нагрузок вне узлов ферм пояса должны быть рассчитаны на совместное действие
продольных усилий и изгибающих моментов.
15.2.2. При
расчете плоских ферм соединения элементов в узлах ферм допускается принимать
шарнирными:
при сечениях
элементов из уголков или тавров;
при двутавровых,
Н-образных и трубчатых сечениях элементов, когда отношение высоты сечения h к
длине элемента l между узлами не превышает: 1/15 - для конструкций,
эксплуатируемых в районах с расчетными температурами ниже минус 45 °C; 1/10 -
для конструкций, эксплуатируемых в остальных районах.
При превышении
указанных отношений h/l следует учитывать дополнительные изгибающие моменты в
элементах от жесткости узлов.
15.2.3.
Расстояние между краями элементов решетки и пояса в узлах сварных ферм с
фасонками следует принимать не менее a = (6t - 20) мм, но не более 80 мм (здесь
t - толщина фасонки, мм).
Между торцами
стыкуемых элементов поясов ферм, перекрываемых накладками, следует оставлять
зазор не менее 50 мм.
Фланговые сварные
швы, прикрепляющие элементы решетки ферм к фасонкам, следует выводить на торец
элемента на длину не менее 20 мм.
15.2.4. В узлах
ферм с поясами из тавров, двутавров и одиночных уголков крепления фасонок к
полкам поясов встык следует осуществлять с проваром на всю толщину фасонки. В
конструкциях группы 1, а также эксплуатируемых в районах при расчетных
температурах ниже минус 45 °C примыкание узловых фасонок к поясам следует
выполнять согласно Приложению К (таблица К.1, позиция 7).
15.2.5. При
расчете узлов ферм со стержнями трубчатого и двутаврового сечения и
прикреплением элементов решетки непосредственно к поясу (без фасонок) следует
проверять несущую способность:
стенки пояса при
местном изгибе (продавливании) в местах примыкания элементов решетки (для
круглых и прямоугольных труб);
боковой стенки
пояса в месте примыкания сжатого элемента решетки (для прямоугольных труб);
полок пояса на
отгиб (для двутаврового сечения);
стенки пояса (для
двутаврового сечения);
элементов решетки в
сечении, примыкающем к поясу;
сварных швов,
прикрепляющих элементы решетки к поясу.
Указанные проверки
приведены в Приложении Л.
Кроме того, следует
соблюдать требования по Z-свойствам к материалам поясов ферм (см. 13.5).
15.2.6. При
пролетах ферм покрытий свыше 36 м следует предусматривать строительный подъем,
равный прогибу от постоянной и длительной нормативных нагрузок. При плоских
кровлях строительный подъем следует предусматривать независимо от величины
пролета, принимая его равным прогибу от суммарной нормативной нагрузки плюс
1/200 пролета.
15.3.1. Отправочные
элементы сквозных колонн с решетками в двух плоскостях следует укреплять
диафрагмами, располагаемыми у концов отправочного элемента.
В сквозных колоннах
с соединительной решеткой в одной плоскости диафрагмы следует располагать не
реже чем через 4 м.
15.3.2. В колоннах
и стойках с односторонними поясными швами согласно 14.1.9 в узлах крепления
связей, балок, распорок и других элементов в зоне передачи усилия следует
применять двусторонние поясные швы, выходящие за контуры прикрепляемого
элемента (узла) на длину
с каждой стороны.
15.3.3.
Угловые швы, прикрепляющие фасонки соединительной решетки к колоннам
внахлестку, следует назначать по расчету и располагать с двух сторон фасонки вдоль
колонны в виде отдельных участков в шахматном порядке; при этом расстояние
между концами таких швов не должно превышать толщину фасонки в 15 раз.
В конструкциях,
возводимых в районах с расчетными температурами ниже минус 45 °C, а также при
применении ручной дуговой сварки угловые сварные швы должны быть непрерывными
по всей длине фасонки.
15.3.4. Монтажные
стыки колонн следует выполнять с фрезерованными торцами, сваренными встык, на
накладках со сварными швами или болтовыми соединениями, в том числе фрикционными.
При приварке накладок сварные швы не следует доводить до стыка на 25 мм с
каждой стороны. Допускается применение фланцевых соединений с передачей
сжимающих усилий через плотное касание, а растягивающих - болтами.
15.3.5. В
сквозных колоннах, ветви которых соединены планками, следует принимать:
ширину
промежуточных планок - равной от 0,5b до 0,75b
(здесь b - габаритная ширина колонны в плоскости планок);
ширину концевых
планок - равной от
до
.
15.4.1. В каждом
температурном блоке здания следует предусматривать самостоятельную систему
связей.
15.4.2.
Нижние пояса балок и ферм крановых путей пролетом свыше 12 м следует укреплять
горизонтальными связями.
15.4.3.
Вертикальные связи между основными колоннами ниже уровня балок крановых путей
следует располагать по возможности в середине или около середины температурного
блока; верхние вертикальные связи целесообразно располагать по торцам здания и
в шагах колонн, примыкающих к температурным швам, а также в тех шагах, где
расположены связи нижнего яруса.
При недостаточной
жесткости ветвей колонн в продольном направлении здания допускается установка
дополнительных распорок, закрепленных в узлах связей.
При двухветвевых
колоннах вертикальные связи следует располагать в плоскости каждой из ветвей
колонны. Ветви двухветвевых связей, как правило, следует соединять между собой
соединительными решетками.
15.4.4. Система
связей покрытия зависит от типа каркаса (стальной или смешанный), типа покрытия
(прогонное или беспрогонное), грузоподъемности кранов и режима их работы,
наличия подвесного подъемно-транспортного оборудования и подстропильных ферм.
15.4.5. В
уровне нижних поясов стропильных ферм следует предусматривать поперечные
горизонтальные связи в каждом пролете здания у торцов, а также у температурных
швов здания. При длине температурного блока более 144 м и при кранах большой
грузоподъемности (>= 50 т) следует предусматривать также и промежуточные
поперечные горизонтальные связи примерно через каждые 60 м.
В зданиях со
стальным каркасом, оборудованных мостовыми кранами грузоподъемностью 10 т и
более, и в зданиях с подстропильными фермами следует предусматривать продольные
связи, располагаемые по крайним панелям нижних поясов стропильных ферм и
образующие совместно с поперечными связями жесткий контур в плоскости нижних
поясов ферм.
В однопролетных
зданиях такого типа продольные связи по нижним поясам следует назначать вдоль
обоих рядов колонн.
В многопролетных
зданиях при кранах грузоподъемностью <= 50 т, с режимом работы 1К - 6К (в
соответствии с СП 20.13330) продольные связи, как правило, следует располагать
вдоль крайних колонн и через один ряд вдоль средних колонн. В многопролетных
зданиях с кранами грузоподъемностью > 50 т, с режимом работы 7К - 8К, а
также в зданиях с перепадами высоты следует назначать более частое расположение
продольных связей по нижним поясам ферм. Продольные связи по средним рядам
колонн при одинаковой высоте смежных пролетов следует проектировать такими же,
как и вдоль крайних рядов колонн.
В случае если
гибкость в горизонтальной плоскости панелей нижних поясов ферм (см. 10.4),
находящихся между двумя поперечными связевыми фермами, недостаточна, то она
должна быть обеспечена постановкой растяжек, закрепленных за узлы связевых
ферм.
15.4.6. По верхним
поясам стропильных ферм поперечные горизонтальные связи при покрытии с
прогонами следует назначать в любом одноэтажном промышленном здании. Поперечные
связевые фермы по верхним и нижним поясам рекомендуется совмещать в плане.
Верхние пояса
стропильных ферм, не примыкающие непосредственно к поперечным связям, следует
раскреплять в плоскости расположения этих связей распорками.
15.4.7. При наличии
жесткого диска кровли в уровне верхних поясов в покрытиях без прогонов (в
которых крупноразмерные железобетонные плиты приварены к верхним поясам или
профилированный лист покрытия прикреплен в каждом гофре) поперечные связи по
верхним поясам ферм следует устраивать только в торцах здания и у температурных
швов. В остальных шагах необходимы распорки у конька и у опор стропильных ферм.
При наличии
жесткого диска кровли в уровне верхних поясов следует предусматривать
инвентарные съемные связи для выверки конструкций и обеспечения их устойчивости
в процессе монтажа.
В покрытиях без
прогонов горизонтальные связи по нижним и верхним поясам следует ставить
независимо от типа покрытия только в зданиях с кранами большой грузоподъемности
>= 50 т, с режимом работы 7К в цехах металлургических производств и 8К (в
соответствии с СП 20.13330).
При наличии
подстропильных ферм в однопролетных покрытиях без прогонов и многопролетных
покрытиях, расположенных в одном уровне, необходимо устройство продольных
горизонтальных связей в плоскости верхних поясов ферм в одной из крайних
панелей ферм.
15.4.8. При
расположении покрытий в разных уровнях необходимо предусмотреть по одной
продольной системе связей в каждом уровне.
В пределах фонаря,
где прогоны по верхнему поясу ферм отсутствуют, необходимо предусматривать
распорки. Наличие таких распорок по коньковым узлам ферм является обязательным.
15.4.9. Связи по
фонарям следует располагать в плоскости верхних поясов (ригелей) у торцов
фонаря и с обеих сторон температурных швов.
15.4.10. В местах
расположения поперечных связей покрытия следует предусматривать установку
вертикальных связей между фермами.
В покрытиях зданий
и сооружений, эксплуатируемых в районах с расчетными температурами ниже минус
45 °C, как правило, следует предусматривать (дополнительно к обычно
применяемым) вертикальные связи посередине каждого пролета вдоль всего здания.
Вертикальные связи,
как правило, следует располагать в плоскостях опорных стоек стропильных ферм, в
плоскостях коньковых стоек для ферм пролетом до 30 м, а также в плоскостях
стоек, находящихся под узлом крепления наружных ног фонаря для ферм пролетом
более 30 м.
Сечения элементов
вертикальных связей, как правило, следует назначать по предельной гибкости (см.
10.4).
15.4.11.
Горизонтальные связи по верхним и нижним поясам разрезных ферм пролетных строений
транспортерных галерей конструируют раздельно для каждого пролета.
15.4.12. При
применении крестовой решетки связей покрытий, за исключением зданий и
сооружений I уровня ответственности, допускается расчет по условной схеме в
предположении, что раскосы воспринимают только растягивающие усилия.
При определении
усилий в элементах связей обжатие поясов ферм допускается не учитывать.
15.4.13. В висячих
покрытиях с плоскостными несущими системами (двухпоясными, изгибно-жесткими
вантами и т.п.) следует предусматривать вертикальные и горизонтальные связи
между несущими системами.
КонсультантПлюс:
примечание.
Нумерация пунктов
дана в соответствии с официальным текстом документа.
13.4.14. Крепление
связей следует осуществлять на болтах класса точности B.
В зданиях,
оборудованных кранами большой грузоподъемностью и режимов работы 7К и 8К, а
также в случае значительных усилий в элементах связей (ветровые фермы и т.п.)
крепление элементов связей следует осуществлять на монтажной сварке, а в
отдельных случаях и на болтах класса точности A.
15.5.1. Пакеты
листов для поясов сварных двутавровых балок, как правило, применять не следует.
Для поясов балок с
фрикционными соединениями допускается применять пакеты, состоящие не более чем
из трех листов; при этом площадь сечения поясных уголков следует принимать
равной не менее 30% всей площади сечения пояса.
15.5.2.
Поясные швы сварных балок, а также швы, присоединяющие к основному сечению
балки вспомогательные элементы (например, ребра жесткости), как правило,
следует выполнять непрерывными. Поперечные ребра жесткости должны иметь вырезы
для пропуска поясных швов.
В ригелях рамных
конструкций у опорных узлов следует применять двухсторонние поясные швы,
протяженность которых должна быть не менее высоты сечения ригеля.
15.5.3. При
применении односторонних поясных швов в сварных двутавровых балках 1-го класса,
несущих статическую нагрузку, следует выполнять следующие требования:
расчетная нагрузка
должна быть приложена симметрично относительно поперечного сечения балки;
должна быть
обеспечена устойчивость сжатого пояса балки в соответствии с 8.4.4, а;
расчет устойчивости
стенок балок должен быть произведен в соответствии с требованиями 8.5.1 и 8.5.2;
должны быть
установлены поперечные ребра жесткости в местах приложения к поясу балки
сосредоточенных нагрузок, включая нагрузки от ребристых железобетонных плит.
15.5.4.
Ребра жесткости сварных балок должны быть удалены от стыков стенки на
расстояние не менее 10 толщин стенки. В местах пересечения стыковых швов стенки
балки с продольным ребром жесткости швы, прикрепляющие продольное ребро
жесткости к стенке, не следует доводить до стыкового шва стенки в местах их
пересечения на (6t - 20) мм.
15.5.5. В
сварных двутавровых балках конструкций групп 2 - 4 следует, как правило,
применять односторонние ребра жесткости с расположением их с одной стороны
балки и приваркой их к поясам балки.
В балках с
односторонними поясными швами ребра жесткости на стенке следует располагать со
стороны, противоположной расположению односторонних поясных швов.
Расчет устойчивости
одностороннего ребра жесткости следует производить согласно требованиям 8.5.9 и
8.5.10.
15.6.1. Верхние
поясные швы в балках крановых путей для кранов групп режимов работы 7К (в цехах
металлургических производств) и 8К (по СП 20.13330) следует выполнять с
проваром на всю толщину стенки.
15.6.2. Свободные
кромки растянутых поясов балок крановых путей и балок рабочих площадок,
непосредственно воспринимающих нагрузку от подвижных составов, должны быть
прокатными, строгаными или обрезанными машинной кислородной или
плазменно-дуговой резкой.
15.6.3. Размеры
ребер жесткости балок крановых путей должны удовлетворять требованиям 8.5.9, 8.5.10
и 8.5.17, при этом ширина выступающей части двустороннего промежуточного ребра
должна быть не менее 90 мм. Двусторонние поперечные ребра жесткости, как
правило, не следует приваривать к поясам балки; при этом торцы ребер жесткости
должны быть плотно пригнаны к верхнему поясу балки. В балках под краны групп
режимов работы 7К и 8К (по СП 20.13330) необходимо строгать торцы, примыкающие
к верхнему поясу.
В балках под краны
групп режимов работы 1К - 5К (по СП 20.13330) допускается применять
односторонние поперечные ребра жесткости из полосовой стали или одиночных
уголков с приваркой их к стенке и к верхнему поясу и расположением согласно 15.5.5.
15.7.1.
Контур поперечных элементов жесткости оболочек следует проектировать замкнутым.
15.7.2. Передачу
сосредоточенных нагрузок на листовые конструкции следует, как правило,
предусматривать через элементы жесткости.
15.7.3. В местах
сопряжений оболочек различной формы следует применять, как правило, плавные
переходы в целях уменьшения местных напряжений.
15.7.4. Выполнение
всех стыковых швов следует предусматривать двусторонней сваркой либо
односторонней сваркой с подваркой корня или на подкладках.
В проекте следует
указывать на необходимость обеспечения плотности соединений конструкций, в
которых эта плотность требуется.
15.7.5. В
листовых конструкциях, как правило, следует применять сварные соединения встык.
Соединения листов толщиной 5 мм и менее допускается предусматривать внахлестку.
15.8.1. Для
конструкций из нитей следует, как правило, применять канаты, пряди и
высокопрочную проволоку. Допускается применение проката.
15.8.2. Кровля
висячего покрытия, как правило, должна быть расположена непосредственно на
несущих нитях и повторять образуемую ими форму. Допускается кровлю поднять над
нитями, оперев на специальную надстроечную конструкцию, или подвесить к нитям
снизу. В этом случае форма кровли может отличаться от формы провисания нитей.
15.8.3. Очертания
опорных контуров следует назначать с учетом кривых давления от усилий в
прикрепленных к ним нитях при расчетных нагрузках.
15.8.4. Для
сохранения стабильности формы, которая должна обеспечивать герметичность
принятой конструкции кровли, висячие покрытия следует рассчитывать на действие
временных нагрузок, в том числе ветрового отсоса. При этом следует проверять
изменение кривизны покрытия по двум направлениям - вдоль и поперек нитей.
Необходимая стабильность достигается с помощью конструктивных мероприятий:
увеличением натяжения нити за счет веса покрытия или предварительного
напряжения; созданием специальной стабилизирующей конструкции; применением
изгибно-жестких нитей; превращением системы нитей и кровельных плит в единую
конструкцию.
15.8.5. Сечение
нити должно быть рассчитано по наибольшему усилию, возникающему при расчетной
нагрузке, с учетом изменения заданной геометрии покрытия. В сетчатых системах,
кроме этого, сечение нити должно быть проверено на усилие от действия временной
нагрузки, расположенной только вдоль данной нити.
15.8.6.
Вертикальные и горизонтальные перемещения нитей и усилия в них следует
определять с учетом нелинейности работы конструкций покрытия.
15.8.7. При расчете
нитей из канатов и их закреплений коэффициенты условий работы следует принимать
в соответствии с таблицей 47 (раздел 17). Для стабилизирующих канатов, если они
не являются затяжками для опорного контура, коэффициент условий работы
.
15.8.8. Опорные
узлы нитей из прокатных профилей следует выполнять, как правило, шарнирными.
15.9.1. При
проектировании фланцевых соединений следует:
применять сталь для
фланцев С255, С285, С345, С375, С390 с относительным сужением
(с учетом требований 13.3 - 13.5);
использовать
высокопрочные болты, обеспечивающие возможность воспринимать поперечные усилия
за счет сил трения между фланцами.
Требования по
натяжению болтов, его контролю и плотности контакта между фланцами даны в СНиП 3.03.01.
15.9.2. При расчете
фланцевых соединений в зависимости от конструктивного решения, характера
передаваемых усилий и требований эксплуатации следует проверять:
несущую способность
болтового соединения;
несущую способность
фрикционного соединения;
прочность фланцевых
листов при изгибе;
прочность сварных
швов, соединяющих фланец с основным элементом.
15.10. Соединения с фрезерованными торцами
В соединениях
элементов с фрезерованными торцами (в стыках и базах колонн и т.п.) сжимающую
силу следует считать полностью передающейся через торцы.
Во
внецентренно-сжатых (сжато-изгибаемых) элементах сварные швы и болты, включая
высокопрочные, указанных соединений следует рассчитывать на максимальное
растягивающее усилие от действия момента и продольной силы при наиболее
неблагоприятном их сочетании, а также на сдвигающее усилие от действия
поперечной силы.
15.11.1.
Монтажные крепления конструкций зданий и сооружений с балками крановых путей,
рассчитываемыми на усталость, а также конструкций под железнодорожные составы
следует осуществлять сварными или фрикционными.
Болты класса
точности B в монтажных соединениях этих конструкций допускается применять:
для крепления
прогонов, элементов фонарной конструкции, связей по верхним поясам ферм (при
наличии связей по нижним поясам или жесткой кровли), вертикальных связей по
фермам и фонарям, а также элементов фахверка;
для крепления
связей по нижним поясам ферм при наличии жесткой кровли (приваренных к верхним
поясам железобетонных или армированных плит из ячеистых бетонов или
прикрепленного в каждую волну стального профилированного настила и т.п.);
для крепления
стропильных и подстропильных ферм к колоннам и стропильных ферм к
подстропильным при условии передачи вертикального опорного давления через
столик;
для крепления
разрезных балок крановых путей между собой, а также для крепления их нижнего
пояса к колоннам, к которым не крепятся вертикальные связи;
для крепления балок
рабочих площадок, не подвергающихся воздействию динамических нагрузок;
для крепления второстепенных
конструкций.
15.11.2. Для
перераспределения изгибающих моментов в элементах рамных систем каркасных
зданий допускается применение в узлах соединения ригелей с колоннами стальных
накладок, работающих в пластической стадии.
Накладки следует выполнять
из сталей с пределом текучести до 345 Н/мм2.
Усилия в накладках
следует определять при минимальном пределе текучести
и максимальном пределе текучести
.
Накладки,
работающие в пластической стадии, должны иметь строганые или фрезерованные
продольные кромки.
15.12.1.
Неподвижные шарнирные опоры с центрирующими прокладками, тангенциальные, а при
весьма больших реакциях - балансирные опоры следует применять при необходимости
строго равномерного распределения давления под опорой.
Плоские или
катковые подвижные опоры следует применять в случаях, когда нижележащая
конструкция должна быть разгружена от горизонтальных усилий, возникающих при
неподвижном опирании балки или фермы.
Коэффициент трения
в плоских подвижных опорах следует принимать равным 0,3, в катковых - 0,03.
15.12.2. Расчет на
смятие в цилиндрических шарнирах (цапфах) балансирных опор следует выполнять
(при центральном угле касания поверхностей, равном или большем 90°) по формуле
, (199)
где F - давление
(сила) на опору;
r, l -
соответственно радиус и длина шарнира;
- расчетное сопротивление местному смятию при плотном касании,
принимаемое согласно требованиям 6.1.
15.12.3. Расчет на
диаметральное сжатие катков следует производить по формуле
, (200)
где n - число
катков;
d, l -
соответственно диаметр и длина катка;
- расчетное сопротивление диаметральному сжатию катков при свободном
касании, принимаемое согласно требованиям 6.1.
16. Дополнительные требования по проектированию конструкций
опор воздушных
линий электропередачи, открытых
распределительных
устройств и контактных сетей транспорта
КонсультантПлюс:
примечание.
ГОСТ 8731-87
отменен с 1 января 1995 года (Указатель "Отмененные и замененные
национальные стандарты", М.: ФГУП "Стандартинформ", 2009).
Действует ГОСТ 8731-74.
16.1. Для
конструкций опор воздушных линий электропередачи (ВЛ), открытых
распределительных устройств (ОРУ) и контактных сетей транспорта (КС), как
правило, следует применять стали С235, С245, С255, С285, С345, С345К, С375 по ГОСТ
27772, сталь марок 20 и 09Г2С по ГОСТ 8731 согласно Приложению В.
В зависимости от
назначения и типа их соединений конструкции опор подразделяются на группы (см. Приложение
В):
группа 1 - сварные
специальные опоры больших переходов высотой свыше 60 м;
группа 2 - сварные
опоры ВЛ, кроме указанных в группе 1; сварные опоры ошиновки и под выключатели
ОРУ независимо от напряжения, сварные опоры под оборудование ОРУ напряжением
свыше 330 кВ; конструкции и элементы КС, связанные с натяжением проводов (тяги,
штанги, хомуты), а также опоры, указанные в группе 1, при отсутствии сварных
соединений;
группа 3 - сварные
и болтовые опоры под оборудование ОРУ напряжением до 330 кВ, кроме опор под
выключатели; конструкции и элементы несущих, поддерживающих и фиксирующих
устройств КС (опоры, ригели жестких поперечин, прожекторные мачты, фиксаторы),
а также конструкции группы 2, кроме КС, при отсутствии сварных соединений;
группа 4 - сварные
и болтовые конструкции кабельных каналов, детали путей перекатки
трансформаторов, трапы, лестницы, ограждения и другие вспомогательные
конструкции и элементы ОРУ, ВЛ и КС.
16.2. Болты классов
точности A и B для опор ВЛ высотой до 60 м и конструкций ОРУ и КС следует
принимать как для конструкций, не рассчитываемых на усталость, а для фланцевых
соединений и опор ВЛ высотой более 60 м - как для конструкций, рассчитываемых
на усталость, по таблице Г.3 Приложения Г.
16.3. Литые детали
следует проектировать из углеродистой стали марок 35Л и 45Л групп отливок II и
III по ГОСТ 977.
16.4. При расчетах
опор ВЛ, конструкций ОРУ и КС следует принимать коэффициенты условий работы,
установленные в разделах 4 и 14, 7.1.2 и по таблице 45.
┌─────────────────────────────────────────────────────┬───────────────────┐
│ Элемент конструкций │Коэффициент условий│
│
│ работы гамма │
│
│ c │
├─────────────────────────────────────────────────────┼───────────────────┤
│1.
Сжатые пояса из одиночных уголков стоек свободно │ │
│стоящей
опоры в первых двух панелях от башмака
│ │
│при
узловых соединениях:
│ │
│
а) на сварке
│ 0,95 │
│
б) на болтах │ 0,90 │
│2.
Сжатый элемент плоской решетчатой траверсы │ │
│из
одиночного равнополочного уголка, прикрепляемого │ │
│одной
полкой (рисунок 22):
│ │
│
а) пояс, прикрепляемый к стойке опоры │ 0,90 │
│непосредственно
двумя болтами и более, поставленными │ │
│вдоль
пояса траверсы
│ │
│
б) пояс, прикрепляемый к стойке опоры одним болтом │
0,75 │
│или
через фасонку
│ │
│
в) раскос и распорка │ 0,75 │
│3.
Оттяжка из стального каната или пучка │ │
│высокопрочной
проволоки: │ │
│
а) для промежуточной опоры в нормальном режиме │ 0,90 │
│работы │ │
│
б) для анкерной, анкерно-угловой и угловой опор: │ │
│ в нормальном режиме работы │ 0,80
│
│ в аварийном режиме работы │ 0,90 │
├─────────────────────────────────────────────────────┴───────────────────┤
│ Примечание.
Указанные в таблице
коэффициенты условий работы
не│
│распространяются
на соединения элементов в узлах. │
└─────────────────────────────────────────────────────────────────────────┘

Рисунок 22.
Схема траверсы с треугольной решеткой
Для опор ВЛ, ОРУ и
КС значение коэффициента надежности по ответственности
следует принимать равным 1,0.
Расчет на прочность
растянутых элементов опор по формуле (5) с заменой в ней значения
на
не допускается.
16.5. При
определении приведенной гибкости по таблице 8 наибольшую гибкость всего стержня
следует вычислять по формулам:
для четырехгранного
стержня с параллельными поясами, шарнирно опертого по концам,
для трехгранного
равностороннего стержня с параллельными поясами, шарнирно опертого по концам,
; (202)
для свободно
стоящей стойки пирамидальной формы (см. рисунок 15)
. (203)
Обозначения,
принятые в формулах (201) - (203):
l - геометрическая
длина сквозного стержня;
b - расстояние
между осями поясов наиболее узкой грани стержня с параллельными поясами;
h - высота свободно
стоящей стойки;
- коэффициент для определения расчетной длины,
где
и
- расстояния между осями поясов пирамидальной
опоры соответственно в верхнем и нижнем основаниях наиболее узкой грани.
16.6.
Расчет на устойчивость при сжатии с изгибом сквозного стержня с решетками
постоянного по длине сечения следует выполнять согласно требованиям раздела 9.
Для равностороннего
трехгранного сквозного стержня с решетками постоянного по длине сечения
относительный эксцентриситет следует вычислять по формулам:
при изгибе в
плоскости, перпендикулярной одной из граней,
; (204)
при изгибе в
плоскости, параллельной одной из граней,
, (205)
где b - расстояние
между осями поясов в плоскости грани;
- коэффициент, равный 1,2 при болтовых соединениях и 1,0 - при сварных
соединениях.
16.7. При расчете
на устойчивость при сжатии с изгибом сквозного стержня с решетками согласно
требованиям 9.3.1 и 9.3.2 значение эксцентриситета e при болтовых соединениях
элементов следует умножать на коэффициент 1,2.
16.8. При проверке
устойчивости отдельных поясов стержня сквозного сечения опор с оттяжками при
сжатии с изгибом продольную силу в каждом поясе следует определять с учетом
дополнительного усилия
от изгибающего момента M, вычисляемого по
деформированной схеме.
Для шарнирно
опертой по концам решетчатой стойки постоянного по длине прямоугольного сечения
(тип 2, таблица 8) опоры с оттяжками значение момента M в середине длины стойки
при изгибе ее в одной из плоскостей x - x или y - y следует определять по
формуле
где
- изгибающий момент в середине длины стойки от
поперечной нагрузки, определяемый как в балках;
- коэффициент, принимаемый согласно 16.6;
N - продольная сила
в стойке;
- прогиб стойки в середине длины от поперечной нагрузки, определяемый
как в обычных балках с использованием приведенного момента инерции сечения
;
- начальный прогиб стойки в плоскости изгиба;
.
Здесь: l - длина
стойки;
,
где A - площадь
сечения стойки;
- приведенная гибкость стойки, определяемая по таблице 8 для сечения типа
2 с заменой в формуле (16)
на
или
соответственно плоскости изгиба.
При изгибе стойки в
двух плоскостях усилие
следует определять по формуле (124); при этом
начальный прогиб
следует учитывать только в той плоскости, в
которой составляющая усилия
от момента
или
имеет наибольшее значение.
16.9. Поперечную
силу Q в шарнирно опертой по концам стойке с решетками постоянного по длине
прямоугольного сечения (тип 2, таблица 8) опоры с оттяжками при сжатии с
изгибом в одной из плоскостей x - x или y - y следует принимать постоянной по
длине стойки и определять по формуле
где
- максимальная поперечная сила от поперечной
нагрузки в плоскости изгиба, определяемая как в балках.
Остальные
обозначения в формуле (207) следует принимать такими же, как в формуле (206).
16.10. Для шарнирно
опертой по концам решетчатой стойки постоянного по длине треугольного сквозного
сечения (тип 3, таблица 8) опоры с оттяжками при сжатии с изгибом в одной из
плоскостей x - x или y - y значение момента M в середине ее длины следует
определять по формуле (206), а приведенную гибкость - по таблице 8 для сечения типа
3.
При изгибе стойки в
двух плоскостях значение усилия
следует принимать
из двух значений, определяемых по формулам:
или
.
(208)
При учете обоих
моментов
и
во второй формуле (208) начальный прогиб
стойки в каждой из двух плоскостей следует принимать равным
.
16.11. Поперечную
силу Q в плоскости грани в шарнирно опертой по концам решетчатой стойке
треугольного сквозного сечения опоры с оттяжками при сжатии с изгибом следует
определять по формуле (207) с учетом приведенной гибкости
,
определяемой по таблице 8 для сечения типа 3.
16.12.
Расчет на устойчивость сжатых элементов конструкций из одиночных уголков
(поясов, решетки) следует выполнять, как правило, с учетом эксцентричного
приложения продольной силы.
Допускается
рассчитывать эти элементы как центрально-сжатые по формуле (7) при условии
умножения продольных сил на коэффициенты
и
,
принимаемые не менее 1,0.
В пространственных
болтовых конструкциях по рисунку 15 (кроме рисунка 15, в и концевых опор) при
центрировании в узле элементов из одиночных равнополочных уголков по их рискам
при однорядном расположении болтов в элементах решетки и прикреплении раскосов
в узле с двух сторон полки пояса значения коэффициентов
и
следует определять:
для поясов при
(при
следует принимать
)
по формулам:
при 0,55 <= c/b
<= 0,66 и ![]()
при 0,4 <= c/b
< 0,55 и ![]()
для раскосов,
примыкающих к рассчитываемой панели пояса, по формулам:
при 0,55 <= c/b
<= 0,66 и ![]()
при 0,4 <= c/b
< 0,55 и ![]()
Для
пространственных болтовых конструкций по рисунку 15, г, д в формулах (210) и (212)
следует принимать 0,45 <= c/b < 0,55.
В формулах (211) и (212)
отношение расстояния по полке уголка раскоса от обушка до риски, на которой
установлены болты, к ширине полки уголка раскоса принято от 0,54 до 0,6; при
отношении, равном 0,5, коэффициент
,
вычисленный по формулам (211) и (212), должен быть увеличен на 5%.
В пространственных
сварных конструкциях из одиночных равнополочных уголков по рисунку 15, б, г
(кроме концевых опор) с прикреплением раскосов в узле только с внутренней
стороны полки пояса при
значения коэффициентов
и
следует принимать:
при центрировании в
узлах элементов по центрам тяжести сечений
;
при центрировании в
узлах осей раскосов на обушок пояса
.
При расчете
конструкций на совместное действие вертикальных и поперечных нагрузок и
крутящего момента, вызванного обрывом проводов или тросов, допускается
принимать
.
Обозначения,
принятые в формулах (209) - (212):
c - расстояние по
полке уголка пояса от обушка до риски, на которой расположен центр узла;
b - ширина полки
уголка пояса;
- продольная сила в панели пояса;
- сумма проекций на ось пояса усилий в раскосах, примыкающих к одной
полке пояса, передаваемая на него в узле и определяемая при том же сочетании
нагрузок, как для
;
при расчете пояса следует принимать большее из значений
,
полученных для узлов по концам панели, а при расчете раскосов - для узла, к
которому примыкает раскос.
16.13. Расчетные
длины
и радиусы инерции сечений i при определении
гибкости элементов плоских траверс с поясами и решеткой из одиночных уголков
(см. рисунок 22) следует принимать равными:
для пояса
,
,
,
;
для раскоса
,
;
для распорки
,
,
где
- радиус инерции сечения относительно оси,
параллельной плоскости решетки траверсы.
16.14.
Гибкость первого снизу раскоса из одиночного уголка решетчатой свободно стоящей
опоры ВЛ не должна превышать 160.
16.15. Отклонения
верха опор и прогибы траверс не должны превышать значений, приведенных в
таблице 46.
Таблица 46
┌────┬──────────────────────┬─────────────┬───────────────────────────────┐
│
N │ Конструкция и │Относительное│ Относительный
прогиб траверсы │
│п.п.│направление
отклонения│ отклонение │ и
балки (к пролету или длине │
│ │ │ верха опоры │ консоли) │
│ │ │ (к высоте
├───────────────┬───────────────┤
│ │ │ опоры)
│ вертикальный │горизонтальный
│
│ │ │ ├───────┬───────┼───────┬───────┤
│ │ │ │ в │ на │ в │ на │
│ │ │ │пролете│консоли│пролете│консоли│
├────┼──────────────────────┼─────────────┼───────┼───────┼───────┴───────┤
│
1 │Концевая и угловая │
1 │ 1 │ 1 │ Не
│
│ │опора ВЛ анкерного │
--- │ --- │ -- │ограничивается
│
│ │типа высотой до 60 м │
120 │ 120 │ 70 │ │
│ │вдоль проводов │ │ │ │ │
│
2 │Опора ВЛ анкерного │
1 │ 1 │ 1 │ То же
│
│ │типа высотой до 60 м │
--- │ --- │ -- │ │
│ │вдоль проводов │ 100
│ 120 │
70 │ │
│
3 │Промежуточная опора ВЛ│Не
ограничи- │ 1 │
1 │ "
│
│ │(кроме переходной) │вается │
--- │ -- │ │
│ │вдоль проводов │ │ 150 │ 50 │ │
│
4 │Переходные опоры ВЛ │
1 │ 1 │ 1 │ " │
│ │всех типов высотой │
--- │ --- │ -- │ │
│ │свыше 60 м вдоль │ 140
│ 200 │
70 │ │
│ │проводов │ │ │ │ │
│
5 │Опора ОРУ вдоль │ 1
│ 1 │
1 │ 1 │ 1 │
│ │проводов │ ---
│ --- │
-- │ --- │ -- │
│ │ │ 100
│ 120 │
70 │ 200 │ 70 │
│
6 │То же, поперек │ 1
│Не ог- │Не ог- │
Не │
│ │проводов │ --
│раничи-│раничи-│ограничивается │
│ │ │ 70
│вается │вается │ │
│ 7 │Стойка
опоры под │ 1
│ - │
- │ - │ - │
│ │оборудование │ ---
│ │ │ │ │
│ │ │ 100
│ │ │ │ │
│ 8 │Балка
под оборудование│ - │
1 │ 1 │ - │ - │
│ │ │ │ --- │ --- │ │ │
│ │ │ │ 300 │ 250 │ │ │
├────┴──────────────────────┴─────────────┴───────┴───────┴───────┴───────┤
│ Примечания. 1. Отклонение опор ОРУ и
траверс опор ВЛ в аварийном
и│
│монтажном
режимах не нормируется. │
│ 2. Отклонения и прогибы по позициям 7 и 8
должны быть уменьшены, если│
│техническими
условиями на эксплуатацию оборудования
установлены более│
│жесткие
требования.
│
└─────────────────────────────────────────────────────────────────────────┘
16.16. В
стальных пространственных конструкциях опор ВЛ и ОРУ из одиночных уголков
следует предусматривать в поперечных сечениях диафрагмы, которые должны
располагаться в стойках свободно стоящих опор не реже, чем через 25 м, и в
стойках опор на оттяжках не реже, чем через 15 м. Диафрагмы должны также устанавливаться
в местах приложения сосредоточенных нагрузок и переломов поясов.
16.17. При расчете
на смятие соединяемых элементов решетки в одноболтовых соединениях с
расстоянием от края элемента до центра отверстия вдоль усилия менее 1,5d
следует учитывать примечание 2 таблицы 40.
В одноболтовых
соединениях элементов, постоянно работающих на растяжение (тяг траверс,
элементов, примыкающих к узлам крепления проводов и тросов, и в местах
крепления оборудования), расстояние от края элемента до центра отверстия вдоль
усилия следует принимать не менее 2d.
16.18. Раскосы,
прикрепляемые к поясу болтами в одном узле, должны быть расположены, как
правило, с двух сторон полки поясного уголка.
16.19. В болтовых
стыках поясных равнополочных уголков число болтов в стыке следует назначать
четным и распределять болты поровну между полками уголка.
Число болтов при
однорядном и шахматном их расположении, а также число поперечных рядов болтов
при двухрядном их расположении следует назначать, как правило, не более пяти на
одной полке уголка с каждой стороны от стыка.
Указанное число
болтов и поперечных рядов допускается увеличить до семи при условии уменьшения
значения коэффициента
,
определяемого по таблице 40, умножением на 0,85.
16.20. Расчет на
устойчивость стенок опор из многогранных труб при числе граней от 8 до 12
следует выполнять по формуле
, (213)
где
- наибольшее сжимающее напряжение в сечении
опоры при ее расчете по деформированной схеме;
- критическое напряжение, вычисляемое по формуле
. (214)
В формуле (214)
обозначено:
;
- условная гибкость стенки грани шириной b и толщиной t;
,
где
следует принимать не более 2,4;
- наименьшее напряжение в сечении, принимаемое при растяжении со
знаком "минус".
Многогранные трубы
должны отвечать требованиям 11.2.1 и 11.2.2 для круглых труб с радиусом
описанной окружности.
17. Дополнительные требования по проектированию
конструкций
антенных сооружений связи высотой до 500 м
КонсультантПлюс:
примечание.
ГОСТ 8731-87
отменен с 1 января 1995 года (Указатель "Отмененные и замененные
национальные стандарты", М.: ФГУП "Стандартинформ", 2009).
Действует ГОСТ 8731-74.
17.1. Для стальных
конструкций антенных сооружений (АС), как правило, следует применять стали по ГОСТ
27772 (кроме сталей С390К, С590, С590К), сталь марок 20 и 09Г2С по ГОСТ 8731
согласно Приложению В. При этом следует принимать распределение конструкций по
группам:
группа 1 - оттяжки
из стальных канатов и цепей различной конфигурации, несущие ванты антенных
полотен и антенные провода; элементы (механические детали) оттяжек мачт и
антенных полотен, детали крепления оттяжек к фундаментам и к стволам стальных
опор; фланцы и фланцевые соединения элементов стволов мачт и башен, включая
опорные фланцы и башмаки;
группа 2 -
сплошностенчатые и решетчатые стволы мачт и башен, решетка, диафрагмы стволов
башенных опор;
группа 3 -
лестницы, переходные площадки; металлоконструкции крепления антенного
оборудования.
Материалы для
соединений следует принимать согласно разделу 5, нормативные и расчетные
сопротивления материалов и соединений - согласно разделу 6 и Приложениям В и Г.
КонсультантПлюс:
примечание.
Нумерация пунктов
дана в соответствии с официальным текстом документа.
15.2. Для
оттяжек и элементов антенных полотен следует применять стальные канаты круглые
оцинкованные по группе СС, грузовые нераскручивающиеся одинарной свивки
(спиральные) или нераскручивающиеся двойной крестовой свивки с металлическим
сердечником (круглопрядные), при этом спиральные канаты следует применять при
расчетных усилиях до 325 кН. В канатах следует применять стальную круглую
канатную проволоку наибольших диаметров марки 1. Для средне- и
сильноагрессивных сред допускается применять канаты, оцинкованные по группе ЖС,
с требованиями для канатов группы СС. Допускается применение раскручивающихся
канатов при условии, что обвязки из мягкой оцинкованной проволоки,
расположенные по концам канатов, будут увеличены по длине на 25%.
Для оттяжек со
встроенными изоляторами орешкового типа следует применять стальные канаты с
неметаллическими сердечниками, если это допускается радиотехническими
требованиями.
Для оттяжек с
усилиями, превышающими несущую способность канатов из круглой проволоки,
допускается применение стальных канатов закрытого типа из зетобразных и
клиновидных оцинкованных проволок.
17.3. Концы
стальных канатов в стаканах или муфтах следует закреплять заливкой цинковым
сплавом ЦАМ9-1,5Л по ГОСТ 21437.
17.4. Для элементов
антенных полотен следует применять провода согласно таблице Г.11 Приложения Г.
Применение медных проволок допускается только в случаях технологической
необходимости.
17.5. Значение
расчетного сопротивления (усилия) растяжению проводов и проволок следует
принимать равным значению разрывного усилия, установленному государственными
стандартами, деленному на коэффициент надежности по материалу
:
для алюминиевых и
медных проводов
;
для
сталеалюминиевых проводов при номинальных сечениях, мм2:
16 и 25 -
;
35 - 95 -
;
120 и более -
;
для биметаллических
сталемедных проволок
.
17.6. При расчетах
конструкций АС следует принимать коэффициенты условий работы, установленные в 4.3;
в разделе 14 и в таблице 47.
┌────────────────────────────────────────────────────────┬──────────────┐
│ Элементы конструкций │ Коэффициент │
│
│условий работы│
│
│ гамма │
│
│ c │
├────────────────────────────────────────────────────────┼──────────────┤
│Предварительно
напряженные элементы решетки │ 0,90
│
│Фланцы:
│ │
│
кольцевого типа │
1,10 │
│
остальных типов │ 0,90
│
│Стальные
канаты оттяжек мачт или элементы антенных
│ │
│полотен
при их количестве:
│ │
│
3 - 5 оттяжек в ярусе или элементов антенных полотен │
0,80 │
│
6 - 8 оттяжек в ярусе │ 0,90
│
│
9 и более оттяжек в ярусе │ 0,95
│
│Заделка
концов на коуше зажимами или точечное
│ 0,75 │
│опрессование
во втулке
│ │
│Оплетка
каната на коуше или изоляторе
│ 0,55 │
│Элементы
крепления оттяжек, антенных полотен, проводов, │ 0,90
│
│подкосов
к опорным конструкциям и анкерным фундаментам
│ │
│Анкерные
тяжи без резьбовых соединений при работе их на │ 0,65
│
│растяжение
с изгибом
│ │
│Проушины
при работе на растяжение │ 0,65
│
│Детали
креплений и соединений стальных канатов:
│ │
│
механические, кроме осей шарниров │ 0,80
│
│
оси шарниров при смятии │ 0,90
│
└────────────────────────────────────────────────────────┴──────────────┘
17.7. Относительные
отклонения опор (к высоте) не должны превышать значений (кроме отклонений опор,
для которых установлены иные значения техническим заданием на проектирование):
при ветровой или гололедной нагрузке .......................... 1/100;
при односторонней подвеске антенны к опоре
при отсутствии ветра ........................................... 1/300.
17.8.
Монтажные соединения элементов конструкций, передающие расчетные усилия,
следует проектировать, как правило, на болтах класса точности B и высокопрочных
болтах. При знакопеременных усилиях, как правило, следует принимать соединения
на высокопрочных болтах или на монтажной сварке.
Во фланцевых
соединениях следует, как правило, применять высокопрочные болты.
Применение
монтажной сварки или болтов класса точности A должно быть согласовано с
монтирующей организацией.
17.9. Раскосы с
гибкостью более 250 при перекрестной решетке в местах пересечений должны быть
скреплены между собой.
Прогибы распорок
диафрагм и элементов технологических площадок в вертикальной и горизонтальной
плоскостях не должны превышать 1/250 пролета.
17.10. В
конструкциях решетчатых опор диафрагмы должны устанавливаться на расстоянии
между ними не более трех размеров среднего поперечного сечения секции опоры, а
также в местах приложения сосредоточенных нагрузок и переломов поясов.
17.11.
Болты фланцевых соединений труб следует размещать на одной окружности минимально
возможного диаметра, как правило, на равных расстояниях между болтами.
17.12. Элементы
решетки ферм, сходящиеся в одном узле, следует центрировать на ось пояса в
точке пересечения их осей. В местах примыкания раскосов к фланцам допускается
их расцентровка, но, как правило, не более чем на треть размера поперечного
сечения пояса. При расцентровке на больший размер элементы должны быть
рассчитаны с учетом узловых моментов.
В прорезных
фасонках для крепления раскосов из круглой стали конец прорези следует засверливать
отверстием диаметром в 1,2 раза больше диаметра раскоса.
17.13. Оттяжки в
мачтах с решетчатым стволом следует центрировать в точку пересечения осей
поясов и распорок. За условную ось оттяжек следует принимать хорду.
Листовые проушины
для крепления оттяжек должны подкрепляться ребрами жесткости, предохраняющими
их от изгиба.
Конструкции узлов
крепления оттяжек, которые не вписываются в транспортные габариты секций ствола
мачт, следует проектировать на отдельных вставках в стволе в виде жестких габаритных
диафрагм.
17.14. Натяжные
устройства (муфты), служащие для регулировки длины и закрепления оттяжек мачт,
должны крепиться к анкерным устройствам гибкой канатной вставкой. Длина
канатной вставки между торцами втулок должна быть не менее 20 диаметров каната.
17.15. Для
элементов АС следует применять типовые механические детали, прошедшие испытания
на прочность и усталость.
КонсультантПлюс:
примечание.
Взамен ГОСТ
24705-81 Приказом Ростехрегулирования от 02.03.2005 N 36-ст с 1 июля 2005 года
введен в действие ГОСТ 24705-2004.
Резьбу на
растянутых элементах следует принимать согласно ГОСТ 8724, ГОСТ 9150, ГОСТ
24705 (исполнение впадины резьбы с закруглением).
17.16. В
оттяжках мачт, на проводах и канатах горизонтальных антенных полотен для
гашения вибрации следует предусматривать последовательную установку парных
низкочастотных (1 - 2,5 Гц) и высокочастотных (4 - 40 Гц) виброгасителей
рессорного типа. Низкочастотные гасители следует выбирать в зависимости от
частоты основного тона оттяжки, провода или каната. Расстояние s от концевой
заделки каната до места подвески гасителей следует определять по формуле
, (215)
где d - диаметр
каната, провода, мм;
m - масса 1 м
каната, провода, кг;
P - предварительное
натяжение в канате, проводе, Н.
Высокочастотные
гасители следует устанавливать выше низкочастотных на расстоянии s. При
пролетах проводов и канатов антенных полотен, превышающих 300 м, гасители
следует устанавливать независимо от расчета.
Для гашения
колебаний типа "галопирование" следует изменять свободную длину
каната (провода) поводками.
17.17. Антенные
сооружения радиосвязи необходимо окрашивать согласно требованиям по маркировке
и светоограждению высотных препятствий в соответствии с Наставлением по
аэродинамической службе в гражданской авиации.
17.18. Механические
детали оттяжек, арматуры изоляторов, а также метизы, как правило, должны быть
оцинкованными.
18. Дополнительные требования по проектированию
конструкций зданий
и сооружений при реконструкции
18.1.1. Оценку
остаточного ресурса конструкций зданий и сооружений следует производить на
основании анализа имеющейся технической документации, визуального,
инструментального освидетельствований, проверочных расчетов несущей способности
и деформативности конструктивных элементов, имеющих дефекты или получивших
повреждение в процессе эксплуатации. В итоге освидетельствования техническое
состояние элементов зданий и сооружений должно быть определено как:
исправное - при
отсутствии дефектов и выполнении всех требований действующих норм и
государственных стандартов;
работоспособное -
при наличии дефектов и повреждений локального характера (категории В), которые
при последующем развитии не могут оказать влияние на другие элементы и
конструкции, но повлиять на условия безопасной эксплуатации, т.е. при частичном
отступлении от требований норм без нарушения требований по предельным
состояниям первой группы (ГОСТ 27751) и при таких нарушениях требований по
предельным состояниям второй группы, которые в конкретных условиях не
ограничивают нормальную эксплуатацию здания (сооружения);
ограниченно
работоспособное - при наличии дефектов и повреждений (категории Б), не представляющих
опасности разрушения конструкций, но могущих в дальнейшем вызвать повреждения
других элементов и узлов конструкций, или при развитии повреждения перейти в
категорию опасных, т.е. в случаях, когда для обеспечения эксплуатации здания
(сооружения) необходим контроль за состоянием конструкций, за
продолжительностью их эксплуатации или за параметрами технологических процессов
(например, ограничение грузоподъемности мостовых кранов);
аварийное - при
наличии дефектов и повреждений (категории А) особо ответственных элементов и
соединений, представляющих опасность разрушения конструкций, т.е. при нарушении
или невозможности предотвратить возможное нарушение требований по предельным
состояниям первой группы.
18.1.2. При
усилении или изменении условий работы сохраняемых конструкций следует
обеспечивать как минимум их работоспособное состояние.
Конструкции,
находящиеся в ограниченно работоспособном состоянии, при обеспечении
необходимого контроля допускается не усиливать на период от проведения
обследования до реконструкции.
18.1.3. Для
конструкций, запроектированных по ранее действовавшим нормам и техническим
условиям, допускается не проводить проверочный расчет в случаях, если за период
эксплуатации не менее 15 лет в них не возникли дефекты и повреждения, не изменились
условия дальнейшей эксплуатации, нагрузки и воздействия, а при их изменении не
увеличились усилия в основных элементах.
18.1.4. При
усилении конструкций следует предусматривать конструктивные решения и методы
производства работ, обеспечивающие плавное включение элементов и конструкций
усиления в совместную работу с сохраняемыми конструкциями. В необходимых
случаях следует использовать искусственное регулирование усилий и временную
разгрузку конструкций.
18.2. Расчетные характеристики стали и соединений
18.2.1. Оценку
качества материала конструкций следует производить по данным заводских
сертификатов или по результатам испытаний образцов. Испытания следует выполнять
при отсутствии исполнительной документации или сертификатов, недостаточности
имеющихся в них сведений или обнаружении повреждений, которые могли быть
вызваны низким качеством металла.
18.2.2. При
исследовании и испытании металла следует определять следующие показатели:
химический состав -
массовую долю элементов, нормируемых государственными стандартами или
техническими условиями на сталь;
предел текучести,
временное сопротивление и относительное удлинение при испытаниях на растяжение
по ГОСТ 1497 (следует проводить испытания с построением диаграммы работы
стали);
ударную вязкость по
ГОСТ 9454 для температур, соответствующих группе конструкций и расчетной
температуре по таблице В.3 Приложения В;
ударную вязкость
после деформационного старения по ГОСТ 7268 для групп конструкций и расчетных
температур по таблице В.3 Приложения В;
в отдельных случаях
макро- и микроструктуру стали (в частности, для конструкций 1-й и 2-й групп
Приложения В, выполненных из кипящей стали толщиной свыше 12 мм и
эксплуатирующихся при отрицательных температурах).
Места отбора проб
для определения перечисленных показателей, количество проб и необходимость
усиления мест вырезки устанавливает организация, производящая обследование
конструкций.
18.2.3.
Исследования и испытания металла конструкций, изготовленных до 1932 г., следует
проводить в специализированных научно-исследовательских институтах, где кроме
свойств металла устанавливается способ производства стали: пудлинговая,
конвертерная с продувкой воздухом (бессемеровская или томасовская),
мартеновская или электросталь.
18.2.4.
Расчетные сопротивления проката, гнутых профилей и труб сохраняемых конструкций
следует назначать согласно требованиям 6.1, при этом значения
,
и
следует принимать:
для металла
конструкций, изготовленных до 1932 г., - по полученным при испытаниях
минимальным значениям предела текучести и временного сопротивления,
;
для пудлинговой стали должно быть не более 170 Н/мм2, для
конвертерной, мартеновской и электростали - не более 210 Н/мм2;
для металла
конструкций, изготовленных после 1932 г.:
а) при наличии
сертификата - по минимальным значениям предела текучести и временного
сопротивления в государственных стандартах и технических условиях, по которым
изготовлена данная металлопродукция;
для проката, изготовленного по ГОСТ 27772;
для проката, изготовленного после 1982 г. по ГОСТ
380 и ГОСТ 19281;
- для всего остального проката;
б) при отсутствии
сертификата (по результатам исследований металла согласно 18.2.2, а также по
сведениям о виде проката и времени строительства следует определять марку стали
и нормативный документ, по которому изготовлена данная металлопродукция) - по
минимальным значениям предела текучести и временного сопротивления в
нормативном документе для данной продукции,
;
в) в случаях, когда
идентифицировать сталь не удалось, - по минимальному результату испытаний,
;
не должно быть больше 210 Н/мм2.
Допускается не
производить испытания металла конструкций, в элементах которых нормальные
напряжения не выше 165 Н/мм2.
18.2.5. Расчетные
сопротивления сварных соединений сохраняемых конструкций, подлежащих
реконструкции или усилению, следует назначать с учетом марки стали, сварочных
материалов, видов сварки, положения швов и способов их контроля, примененных в
конструкциях.
При отсутствии
установленных нормами необходимых данных допускается принимать:
для угловых швов
;
и
,
считая при этом
;
для растянутых
стыковых швов
в конструкциях, изготовленных до 1972 г., и
- после 1972 г. Допускается уточнять несущую
способность сварных соединений по результатам испытаний образцов, взятых из
конструкции.
18.2.6. Расчетные
сопротивления срезу и растяжению болтов, а также смятию элементов, соединяемых
болтами, следует определять согласно указаниям 6.5. Если невозможно установить
класс прочности болтов, то значения расчетных сопротивлений одноболтовых
соединений следует принимать:
и
.
18.2.7. Расчетные
сопротивления заклепочных соединений следует принимать по таблице 48.
┌───────────────┬───────────┬──────────┬──────────────────────────────────┐
│ Напряженное
│ Условное │ Группа
│ Расчетное
сопротивление │
│ состояние
│обозначение│соединения│ заклепочного соединения, Н/мм2 │
│ │ │ ├──────────────────────┬───────────┤
│ │ │ │ срезу и растяжению │
смятию │
│ │ │ │ заклепок из стали │соединяемых│
│ │ │ │ марок │ элементов │
│ │ │ ├───────────┬──────────┤ │
│ │ │ │ Ст2, Ст3 │
09Г2 │ │
├───────────────┼───────────┼──────────┼───────────┼──────────┼───────────┤
│Срез │ R
│ B │ 180
│ 220 │
- │
│ │ rs
│ C │
160 │ -
│ - │
├───────────────┼───────────┼──────────┼───────────┼──────────┼───────────┤
│Растяжение │
R │ B, C
│ 120 │
150 │ -
│
│(отрыв
головки)│ rt │ │ │ │ │
├───────────────┼───────────┼──────────┼───────────┼──────────┼───────────┤
│Смятие │ R
│ B │
- │ -
│R = 2R │
│ │ rp
│ │ │ │ rp y │
│ │ │ C
│ - │
- │R = 1,7R │
│ │ │ │ │ │ rp y│
├───────────────┴───────────┴──────────┴───────────┴──────────┴───────────┤
│ Примечания. 1. К группе B следует
относить соединения, в
которых│
│заклепки
поставлены в отверстия, сверленные в собранных элементах или в│
│деталях
по кондукторам; к группе C -
соединения, в которых
заклепки│
│поставлены
в отверстия, продавленные или сверленные
без кондуктора в│
│отдельных
деталях.
│
│ 2. При применении заклепок с потайными или
полупотайными головками│
│расчетные
сопротивления заклепочных соединений
срезу и смятию
следует│
│понижать
умножением на коэффициент 0,8. Работа
указанных заклепок на│
│растяжение
не допускается. │
└─────────────────────────────────────────────────────────────────────────┘
Если в
исполнительной документации отсутствуют указания о способе образования
отверстий и материале заклепок и установить их по имеющимся данным не
представляется возможным, расчетные сопротивления следует принимать по таблице
48 как для соединений на заклепках группы C из стали марки Ст2.
Расчет заклепочных
соединений следует выполнять согласно формулам 14.2.9, принимая
;
;
;
;
;
.
18.3.1.
Конструкции, эксплуатируемые при положительной температуре и изготовленные из
кипящей малоуглеродистой стали, а также из других сталей, у которых по
результатам испытаний значения ударной вязкости ниже гарантированных
государственными стандартами по сталям для групп конструкций в соответствии с
требованиями Приложения В, не подлежат усилению или замене при условии, что
напряжения в элементах из этих сталей не будут превышать значений, имевшихся до
реконструкции. Решение об использовании, усилении или замене этих конструкций,
если эксплуатация их не будет соответствовать указанному условию, следует
принимать на основании заключения специализированного научно-исследовательского
института.
18.3.2.
Расчетную схему конструкции следует принимать с учетом особенностей ее
действительной работы, в том числе с учетом фактических отклонений
геометрической формы, размеров сечений, условий закрепления и выполнения узлов
сопряжения элементов.
Проверочные расчеты
элементов конструкций и их соединений следует выполнять с учетом обнаруженных
дефектов и повреждений, коррозионного износа, фактических условий сопряжения и
опирания. Расчет элементов допускается выполнять по деформированной схеме, принимая
при этом коэффициент условий работы
для позиции 4 и 5 таблицы 1.
18.3.3.
Конструкции, не удовлетворяющие требованиям разделов 7 - 9, 11 - 14 и 15.7.1 - 15.7.5,
17.2, а также требованиям СП 20.13330 по ограничению вертикальных прогибов,
должны быть, как правило, усилены или заменены, за исключением случаев,
указанных в данном разделе.
Отклонения от
геометрической формы, размеров элементов и соединений от номинальных,
превышающие допускаемые ГОСТ 23118 и СНиП 3.03.01, но не препятствующие
нормальной эксплуатации, могут не устраняться при условии обеспечения несущей
способности конструкций с учетом требований 18.3.2.
18.3.4.
Допускается не усиливать элементы конструкций, если:
их вертикальные и
горизонтальные прогибы и перемещения превышают предельные значения,
установленные СП 20.13330, но не препятствуют нормальной эксплуатации исходя из
технологических требований;
их гибкость
превышает предельные значения, установленные в 10.4, но отклонения положения
конструкций не превышают значений, установленных СНиП 3.03.01, и усилия в
элементах не будут возрастать в процессе дальнейшей эксплуатации, а также в тех
случаях, когда возможность использования таких элементов проверена расчетом или
испытаниями.
18.3.5. При
усилении конструкций допускается учитывать возможность предварительного
напряжения и активного регулирования усилий (в том числе за счет сварки,
изменений конструктивной и расчетной схем), а также упругопластическую работу
стали, закритическую работу тонкостенных элементов и обшивок конструкций в
соответствии с действующими нормами.
18.3.6. Конструкции
усиления и методы его выполнения должны предусматривать меры по снижению
нежелательных дополнительных деформаций элементов в процессе усиления в
соответствии с 4.3.5.
Несущая способность
конструкций в процессе выполнения работ по усилению должна обеспечиваться с
учетом влияния ослаблений сечений дополнительными отверстиями под болты и
влияния сварки.
В необходимых случаях
в период усиления конструкция должна быть полностью или частично разгружена.
18.3.7. В
конструкциях 2-й, 3-й и 4-й групп (согласно Приложению В), эксплуатируемых при
расчетной температуре не ниже минус 45 °C в неагрессивной или слабоагрессивной
среде, для обеспечения совместной работы деталей усиления и существующей
конструкции допускается применять прерывистые фланговые швы.
Во всех случаях
применения угловых швов, как правило, следует назначать минимально необходимые
катеты. Допускается концевые участки швов проектировать с катетом
,
чем катет промежуточных участков, и устанавливать их размеры в соответствии с
расчетом.
18.3.8. При
усилении элементов конструкций допускается применять комбинированные
соединения: заклепочные с фрикционными; заклепочные с болтами класса точности
A.
18.3.9. В
элементах групп конструкций 1, 2, 3 или 4 (согласно Приложению В), подверженных
при усилении нагреву вследствие сварки, расчетное напряжение
не должно превышать значений
;
;
или
соответственно.
Напряжение
следует определять от нагрузок, действующих во
время усиления, для неусиленного сечения с учетом фактического состояния
конструкций (ослаблений сечения, искривлений элемента и др.).
При превышении
указанных напряжений необходимы разгрузка конструкций или подведение временных
опор.
18.3.10.
При расчете элементов конструкций, усиленных путем увеличения сечения, как
правило, следует учитывать разные расчетные сопротивления материалов
конструкции и усиления. Допускается принимать одно расчетное сопротивление,
равное меньшему из них, если они отличаются не более чем на 15%.
18.3.11. При
расчете на устойчивость элементов при центральном сжатии и сжатии с изгибом
допускается принимать для усиленного сечения в целом приведенное значение
расчетного сопротивления, вычисляемое по формуле
, (216)
где
- расчетное сопротивление основного металла,
определяемое согласно требованиям 18.2.4;
k - коэффициент,
вычисляемый по формуле:
. (217)
Здесь
- расчетное сопротивление металла усиления;
A, I -
соответственно площадь и момент инерции неусиленного сечения элемента
относительно оси, перпендикулярной плоскости проверки устойчивости;
,
- то же, усиленного сечения элемента в целом.
18.3.12. Расчет на
прочность и устойчивость элементов, усиленных способом увеличения сечений, как
правило, следует выполнять с учетом напряжений, существовавших в элементе в момент
усиления (с учетом разгрузки конструкций). При этом следует учитывать начальные
искривления элементов, смещение центра тяжести усиленного сечения и
искривления, вызванные сваркой.
Искривления от
сварки при проверке устойчивости элементов при центральном сжатии и сжатии с
изгибом допускается учитывать введением дополнительного коэффициента условий
работы
.
Проверку на
прочность элементов, для которых согласно 18.3.10 принято одно расчетное сопротивление,
кроме расчета по формулам (50), (51) и (105), допускается выполнять на полное
расчетное усилие без учета напряжений, существовавших до усиления, а при
проверке стенок балок на местную устойчивость допускается использовать
дополнительный коэффициент условий работы
.
18.3.13. Расчет на
прочность элементов конструкций, усиливаемых методом увеличения сечений,
следует выполнять по формулам:
а) для
центрально-растянутых симметрично усиливаемых элементов - (5);
б) для
центрально-сжатых симметрично усиливаемых элементов
где
- при усилении без использования сварки;
- при усилении с использованием сварки;
в) для
несимметрично усиливаемых центрально-растянутых, центрально-сжатых и
внецентренно-сжатых элементов
, (219)
где
для конструкций группы 1;
для конструкций групп 2, 3 и 4;
при
следует принимать
,
здесь
следует определять как в формуле (218).
Изгибающие моменты
и
следует определять относительно главных осей
усиленного сечения.
КонсультантПлюс:
примечание.
В официальном
тексте документа, видимо, допущена опечатка: пункты 15.1.1 15.1.3 отсутствуют.
18.3.14.
Допускается не усиливать существующие стальные конструкции, выполненные с
отступлением от требований 14.1.7, 14.1.10, 14.2.2, 15.1.1 - 15.1.3, 15.2.1, 15.2.3,
15.3.3 - 15.3.5, 15.4.2, 15.4.5, 15.5.2, 15.5.4, 15.11.1, 16.14, 16.16, 17.8 - 17.11,
17.16, при условии, что:
отсутствуют
вызванные этими отступлениями повреждения элементов конструкций;
исключены изменения
в неблагоприятную сторону условий эксплуатации конструкций;
несущая способность
и жесткость обоснованы расчетом с учетом требований 18.3.2, 18.3.4, 18.3.9;
выполняются
мероприятия по предупреждению усталостного и хрупкого разрушения конструкций,
на которые распространяются указания 12.1.1, 12.1.3 и раздела 13.
При выполнении этих
условий для проверок устойчивости центрально-сжатых элементов допускается
принимать тип сечения "b" вместо типа "c" (см. таблицу 7 и таблицу
Д.1 Приложения Д).
(справочное)
ПЕРЕЧЕНЬ
НОРМАТИВНЫХ ДОКУМЕНТОВ
СП 20.13330.2011
"СНиП 2.01.07-85*. Нагрузки и воздействия"
СНиП 2.03.11-85.
Защита строительных конструкций от коррозии
СНиП 2.09.03-85.
Сооружения промышленных предприятий
СНиП 3.03.01-87.
Несущие и ограждающие конструкции
СНиП 21-01-97*.
Пожарная безопасность зданий и сооружений
СНиП 23-01-99*.
Строительная климатология
ГОСТ 380-94. Сталь
углеродистая обыкновенного качества. Марки
ГОСТ 535-88. Прокат
сортовой и фасонный из стали углеродистой обыкновенного качества. Общие
технические условия
ГОСТ 839-80.
Провода неизолированные для воздушных линий электропередачи. Технические
условия
ГОСТ 977-88.
Отливки стальные. Общие технические условия
ГОСТ 1050-88.
Прокат сортовой, калиброванный, со специальной отделкой поверхности из
углеродистой качественной конструкционной стали. Общие технические условия
ГОСТ 1497-84.
Металлы. Методы испытаний на растяжение
ГОСТ 1759.0-87*.
Болты, винты, шпильки и гайки. Технические условия
ГОСТ 2246-70*.
Проволока стальная сварочная. Технические условия
ГОСТ 3062-80*.
Канат одинарной свивки типа ЛК-0 конструкции 1 x 7 (1 x 6). Сортамент
ГОСТ 3063-80*.
Канат одинарной свивки типа ТК конструкции 1 x 19 (1 x 6 x 12). Сортамент
ГОСТ 3064-80*.
Канат одинарной свивки типа ТК конструкции 1 x 37 (1 x 6 x 12 x 18). Сортамент
ГОСТ 3066-80*.
Канат двойной свивки типа ЛК-0 конструкции 6 x 7 (1 + 6) + 1 x 7 (1 + 6).
Сортамент
ГОСТ 3067-88. Канат
стальной двойной свивки типа ТК конструкции 6 x 19 (1 + 6 + 12) + 1 x 19 x (1 +
6 + 12). Сортамент
ГОСТ 3068-88. Канат
стальной двойной свивки типа ТК конструкции 6 x 37 (1 + 6 + 12 + 18) + 1 x 37 x
(1 + 6 + 12 + 18). Сортамент
ГОСТ 3081-80*.
Канат двойной свивки типа ЛК-0 конструкции 6 x 19 (1 + 9 + 9) + 7 x 7 (1 + 6).
Сортамент
ГОСТ 3090-73*.
Канаты стальные. Канат закрытый несущий с одним слоем зетообразной проволоки и
сердечником типа ТК. Сортамент
ГОСТ 3822-79.
Проволока биметаллическая сталемедная. Технические условия
ГОСТ 5264-80.
Ручная дуговая сварка. Соединения сварные. Основные типы. Конструктивные элементы
и размеры
ГОСТ 5915-70*.
Гайки шестигранные класса точности B. Конструкция и размеры
ГОСТ 5927-70*.
Гайки шестигранные класса точности A. Конструкция и размеры
ГОСТ 6402-70*.
Шайбы пружинные. Технические условия
ГОСТ 7268-82.
Сталь. Метод определения склонности к механическому старению по испытанию на
ударный изгиб
ГОСТ 7372-79*.
Проволока стальная канатная. Технические условия
ГОСТ 7669-80*.
Канат двойной свивки типа ЛК-РО конструкции 6 x 36 (1 + 7 + 7/7 + 14) + 7 x 7
(1 + 6). Сортамент
ГОСТ 7675-73*.
Канаты стальные. Канат закрытый несущий с одним слоем клиновидной и одним слоем
зетообразной проволоки и сердечником типа ТК. Сортамент
ГОСТ 7676-73*.
Канаты стальные. Канат закрытый несущий с двумя слоями клиновидной и одним
слоем зетообразной проволоки и сердечником типа ТК. Сортамент
ГОСТ 7798-70*.
Болты с шестигранной головкой класса точности B. Конструкция и размеры
ГОСТ 7805-70*.
Болты с шестигранной головкой класса точности A. Конструкция и размеры
ГОСТ 8050-85.
Двуокись углерода газообразная и жидкая. Технические условия
ГОСТ 8713-79.
Сварка под флюсом. Соединения сварные. Основные типы, конструктивные элементы и
размеры
ГОСТ 8724-2002.
Основные нормы взаимозаменяемости. Резьба метрическая. Диаметры и шаги
КонсультантПлюс:
примечание.
ГОСТ 8731-87
отменен с 1 января 1995 года (Указатель "Отмененные и замененные
национальные стандарты", М.: ФГУП "Стандартинформ", 2009).
Действует ГОСТ 8731-74.
ГОСТ 8731-87. Трубы
стальные бесшовные горячедеформированные. Технические условия
ГОСТ 9087-81*.
Флюсы сварочные плавленые. Технические условия
ГОСТ 9150-2002.
Основные нормы взаимозаменяемости. Резьба метрическая. Профиль
ГОСТ 9454-78.
Металлы. Метод испытания на ударный изгиб при пониженных, комнатной и
повышенных температурах
ГОСТ 9467-75*.
Электроды покрытые металлические для ручной дуговой сварки конструкционных и
теплоустойчивых сталей. Типы
ГОСТ 10157-79*.
Аргон газообразный и жидкий. Технические условия
ГОСТ 10605-94.
Гайки шестигранные с диаметром резьбы свыше 48 мм класса точности B.
Технические условия
ГОСТ 10705-80.
Трубы стальные электросварные. Технические условия
ГОСТ 10706-76. Трубы
стальные электросварные прямошовные. Технические требования
ГОСТ 10906-78*.
Шайбы косые. Технические условия
ГОСТ 11371-78*.
Шайбы. Технические условия
ГОСТ 11474-76.
Профили стальные гнутые. Технические условия
ГОСТ 11533-75.
Автоматическая и полуавтоматическая дуговая сварка под флюсом. Соединения
сварные под острыми и тупыми углами. Основные типы, конструктивные элементы и
размеры
ГОСТ 11534-75.
Ручная дуговая сварка. Соединения сварные под острыми и тупыми углами. Основные
типы, конструктивные элементы и размеры
ГОСТ 14637-89.
Прокат толстолистовой из углеродистой стали обыкновенного качества. Технические
условия
ГОСТ 14771-76.
Дуговая сварка в защитном газе. Соединения сварные. Основные типы,
конструктивные элементы и размеры
ГОСТ 14776-79.
Дуговая сварка. Соединения сварные точечные. Основные типы, конструктивные
элементы и размеры
ГОСТ 14954-80.
Канат двойной свивки типа ЛК-Р конструкции 6 x 19 (1 + 6 + 6/6) + 7 x 7 (1 +
6). Сортамент
ГОСТ 16523-97.
Прокат тонколистовой из углеродистой стали качественной и обыкновенного
качества общего назначения. Технические условия
ГОСТ 17066-94.
Прокат тонколистовой из стали повышенной прочности. Технические условия
ГОСТ 18123-82*.
Шайбы. Общие технические условия
ГОСТ 18126-94.
Болты и гайки с диаметром резьбы свыше 48 мм. Общие технические условия
ГОСТ 18901-73*.
Канаты стальные. Канат закрытый несущий с двумя слоями зетообразной проволоки и
сердечником типа ТК. Сортамент
ГОСТ 19281-89.
Прокат из стали повышенной прочности. Общие технические условия
ГОСТ 21437-95.
Сплавы цинковые антифрикционные. Марки, технические требования и методы
испытаний
ГОСТ 21780-83.
Система обеспечения точности геометрических параметров в строительстве. Расчет
точности
ГОСТ 22727-88.
Прокат листовой. Методы ультразвукового контроля
ГОСТ 23118-99.
Конструкции стальные строительные. Общие технические условия
ГОСТ 23518-79.
Дуговая сварка в защитных газах. Соединения сварные под острыми и тупыми
углами. Основные типы, конструктивные элементы и размеры
ГОСТ 24379.0-80.
Болты фундаментные. Общие технические условия
ГОСТ 24379.1-80*.
Болты фундаментные. Конструкция и размеры
КонсультантПлюс:
примечание.
Взамен ГОСТ
24705-81 Приказом Ростехрегулирования от 02.03.2005 N 36-ст с 1 июля 2005 года
введен в действие ГОСТ 24705-2004.
ГОСТ 24705-81.
Основные нормы взаимозаменяемости. Резьба метрическая. Основные размеры
ГОСТ 24839-81.
Конструкции строительные стальные. Расположение отверстий в прокатных профилях.
Размеры
ГОСТ 25546-82.
Краны грузоподъемные. Режимы работы
ГОСТ 26271-84.
Проволока порошковая для дуговой сварки углеродистых и низколегированных
сталей. Общие технические условия
ГОСТ 27751-88*.
Надежность строительных конструкций и оснований. Основные положения по расчету
ГОСТ 27772-88.
Прокат для строительных конструкций. Общие технические условия
ГОСТ 28870-90.
Сталь. Методы испытания на растяжение толстолистового проката в направлении
толщины
ГОСТ 30245-2003.
Профили стальные гнутые замкнутые сварные квадратные и прямоугольные для
строительных конструкций. Технические условия
ГОСТ Р 52627-2006.
Болты, винты и шпильки. Механические свойства и методы испытаний
ГОСТ Р 52628-2006.
Гайки. Механические свойства и методы испытаний
ГОСТ Р 52643-2006.
Болты и гайки высокопрочные и шайбы для металлических конструкций. Общие
технические условия
ГОСТ Р 52644-2006.
Болты высокопрочные с шестигранной головкой с увеличенным размером под ключ для
металлических конструкций. Технические условия
ГОСТ Р 52645-2006.
Гайки высокопрочные шестигранные с увеличенным размером под ключ для
металлических конструкций. Технические условия
ГОСТ Р 52646-2006.
Шайбы к высокопрочным болтам для металлических конструкций. Технические
условия.
(справочное)
ОСНОВНЫЕ
БУКВЕННЫЕ ОБОЗНАЧЕНИЯ ВЕЛИЧИН
A - площадь сечения
брутто;
- площадь сечения болта нетто;
- площадь сечения раскосов;
- площадь сечения полки (пояса);
- площадь сечения нетто;
- площадь сечения стенки;
- площадь сечения по металлу углового шва;
- площадь сечения по металлу границы сплавления;
E - модуль
упругости;
F - сила;
G - модуль сдвига;
I - момент инерции
сечения брутто;
- момент инерции сечения ветви;
;
- моменты инерции сечения пояса и раскосов
фермы;
- момент инерции сечения ребра, планки;
- момент инерции сечения продольного ребра;
- момент инерции при свободном кручении;
;
- моменты инерции сечения брутто относительно
осей x - x и y - y соответственно;
;
- то же, сечения нетто;
- секториальный момент инерции сечения;
M - момент,
изгибающий момент;
;
- моменты относительно осей x - x и y - y
соответственно;
N - продольная
сила;
- дополнительное усилие;
- продольная сила от момента в ветви колонны;
Q - поперечная
сила, сила сдвига;
- условная поперечная сила для соединительных элементов;
- условная поперечная сила, приходящаяся на систему планок,
расположенных в одной плоскости;
- расчетное сопротивление растяжению фундаментных болтов;
- расчетное сопротивление растяжению высокопрочных болтов;
- расчетное сопротивление смятию одноболтового соединения;
- расчетное сопротивление срезу одноболтового соединения;
- расчетное сопротивление растяжению одноболтового соединения;
- нормативное сопротивление стали болтов, принимаемое равным
временному сопротивлению
по государственным стандартам и техническим
условиям на болты;
- расчетное сопротивление растяжению U-образных болтов;
- нормативное сопротивление стали болтов, принимаемое равным пределу
текучести
по государственным стандартам и техническим
условиям на болты;
- расчетное сопротивление диаметральному сжатию катков (при свободном
касании в конструкциях с ограниченной подвижностью);
- расчетное сопротивление растяжению высокопрочной проволоки;
- расчетное сопротивление местному смятию в цилиндрических шарнирах
(цапфах) при плотном касании;
- расчетное сопротивление стали смятию торцевой поверхности (при
наличии пригонки);
- расчетное сопротивление стали сдвигу;
- расчетное сопротивление стали растяжению, сжатию, изгибу по
временному сопротивлению;
- временное сопротивление стали, принимаемое равным минимальному
значению
по государственным стандартам и техническим
условиям на сталь;
- расчетное сопротивление стали усталости;
- расчетное сопротивление угловых швов срезу (условному) по металлу
шва;
- расчетное сопротивление стыковых сварных соединений растяжению,
сжатию, изгибу по временному сопротивлению;
- нормативное сопротивление металла шва по временному сопротивлению;
- расчетное сопротивление стыковых сварных соединений сдвигу;
- расчетное сопротивление стыковых сварных соединений растяжению,
сжатию, изгибу по пределу текучести;
- расчетное сопротивление угловых швов срезу (условному) по металлу
границы сплавления;
- расчетное сопротивление стали растяжению, сжатию, изгибу по пределу
текучести;
- то же, для полки (пояса);
- то же, для стенки;
- предел текучести стали, принимаемый равным значению предела
текучести
по государственным стандартам и техническим
условиям на сталь;
S - статический
момент сдвигаемой части сечения брутто относительно нейтральной оси;
;
- моменты сопротивления сечения брутто относительно
осей x - x и y - y соответственно;
;
- моменты сопротивления сечения для сжатой и
растянутой полки соответственно;
;
- моменты сопротивления сечения нетто
относительно осей x - x и y - y соответственно;
b - ширина;
- расчетная ширина;
- ширина полки (пояса);
- ширина выступающей части ребра, свеса;
;
- коэффициенты для расчета с учетом развития пластических
деформаций при изгибе относительно осей x - x, y - y соответственно;
d - диаметр
отверстия болта;
- наружный диаметр стержня болта;
e - эксцентриситет
силы;
h - высота;
- расчетная высота стенки;
- высота стенки;
i - радиус инерции
сечения;
- наименьший радиус инерции сечения;
;
- радиусы инерции сечения относительно осей x
- x и y - y соответственно;
- катет углового шва;
l - длина, пролет;
- длина стойки, колонны, распорки;
- длина раскоса;
- расчетная длина;
- длина панели пояса фермы или колонны;
- длина планки;
- длина сварного шва;
;
- расчетные длины элемента в плоскостях,
перпендикулярных осям x - x и y - y соответственно;
m - относительный
эксцентриситет
;
r - радиус;
t - толщина;
- толщина полки (пояса);
- толщина стенки;
- отношение площадей сечений полки (пояса) и стенки
;
;
- коэффициенты для расчета углового шва
соответственно по металлу шва и по металлу границы сплавления;
- коэффициент условий работы болтового соединения;
- коэффициент условий работы;
- коэффициент надежности по нагрузке;
- коэффициент надежности по материалу;
- коэффициент надежности по ответственности;
- коэффициент надежности в расчетах по временному сопротивлению;
- коэффициент надежности по устойчивости системы;
- коэффициент влияния формы сечения;
- гибкость
;
- условная гибкость
;
- приведенная гибкость стержня сквозного сечения;
- условная приведенная гибкость стержня сквозного сечения
;
- условная гибкость свеса пояса
;
- условная гибкость поясного листа
;
- условная гибкость стенки
;
- предельная условная гибкость свеса пояса (поясного листа);
- предельная условная гибкость стенки;
;
- расчетные гибкости элемента в плоскостях,
перпендикулярных осям x - x и y - y соответственно;
- абсолютная величина нормального напряжения;
- местное напряжение;
;
- нормальные напряжения, параллельные осям x -
x и y - y соответственно;
- касательное напряжение;
- коэффициент устойчивости при центральном сжатии;
- коэффициент устойчивости при сжатии;
- коэффициент устойчивости при изгибе;
- коэффициент устойчивости при сжатии с изгибом;
- коэффициент устойчивости при сжатии с изгибом в двух плоскостях.
(справочное)
МАТЕРИАЛЫ
ДЛЯ СТАЛЬНЫХ КОНСТРУКЦИЙ
И ИХ РАСЧЕТНЫЕ
СОПРОТИВЛЕНИЯ
Группы стальных
конструкций
Группа 1.
Сварные конструкции <*> либо их элементы, работающие в особо тяжелых
условиях (согласно ГОСТ 25546), в том числе максимально стесняющие развитие
пластических деформаций или подвергающиеся непосредственному воздействию
динамических <**>, вибрационных или подвижных нагрузок [подкрановые
балки; балки рабочих площадок; балки путей подвижного транспорта; элементы
конструкций бункерных и разгрузочных эстакад, непосредственно воспринимающих
нагрузки от подвижных составов; главные балки и ригели рам при динамической
нагрузке; пролетные строения транспортерных галерей; фасонки ферм; стенки,
окрайки днищ, кольца жесткости, плавающие крыши, покрытия резервуаров и
газгольдеров; бункерные балки; оболочки параболических бункеров; стальные
оболочки свободно стоящих дымовых труб; сварные специальные опоры больших
переходов линий электропередачи (ВЛ) высотой более 60 м; элементы оттяжек мачт
и оттяжечных узлов].
--------------------------------
<*>
Конструкция или ее элемент считаются имеющими сварные соединения, если они
расположены в местах действия значительных расчетных растягивающих напряжений (
;
или
)
либо в местах, где возможно разрушение сварного соединения, например из-за
значительных остаточных напряжений, что может привести к непригодности к
эксплуатации конструкции в целом.
<**>
Конструкции относятся к подвергающимся воздействию динамических нагрузок, если
отношение абсолютного значения нормального напряжения, вызванного динамической
нагрузкой, к суммарному растягивающему напряжению от всех нагрузок в том же
сечении
.
Группа 2.
Сварные конструкции либо их элементы, работающие при статической нагрузке при
наличии растягивающих напряжений [фермы; ригели рам; балки перекрытий и
покрытий; косоуры лестниц; оболочки силосов; опоры ВЛ, за исключением сварных
опор больших переходов; опоры ошиновки открытых распределительных устройств
подстанций (ОРУ); опоры транспортерных галерей; прожекторные мачты; элементы
комбинированных опор антенных сооружений (АС) и другие растянутые,
растянуто-изгибаемые и изгибаемые элементы], а также конструкции и их элементы группы
1 при отсутствии сварных соединений и балки подвесных путей из двутавров по ГОСТ
19425 и ТУ 14-2-427 при наличии сварных монтажных соединений.
Группа 3.
Сварные конструкции либо их элементы, работающие при статической нагрузке,
преимущественно на сжатие [колонны; стойки; опорные плиты; элементы настила
перекрытий; конструкции, поддерживающие технологическое оборудование;
вертикальные связи по колоннам с напряжениями в расчетных, сечениях связей
свыше
;
анкерные, несущие и фиксирующие конструкции (опоры, ригели жестких поперечин,
фиксаторы) контактной сети транспорта; опоры под оборудование ОРУ, кроме опор
под выключатели; элементы стволов и башен АС; колонны бетоновозных эстакад;
прогоны покрытий и другие сжатые и сжато-изгибаемые элементы], а также
конструкции и их элементы группы 2 при отсутствии сварных соединений.
Группа 4.
Вспомогательные конструкции зданий и сооружений (связи, кроме указанных в группе
3; элементы фахверка; лестницы; трапы; площадки; ограждения; металлоконструкции
кабельных каналов; вспомогательные элементы сооружений и т.п.), а также
конструкции и их элементы группы 3 при отсутствии сварных соединений.
Примечания. 1. При
назначении стали для конструкций зданий и сооружений I уровня ответственности
по ГОСТ 27751 номер группы конструкций следует уменьшать на единицу (для групп
2 - 4).
2. При толщине
проката t > 40 мм номер группы конструкций следует уменьшать на единицу (для
групп 2 - 4); при толщине проката t <= 6 мм - увеличивать на единицу (для групп
1 - 3).
Таблица В.1
Назначение
стали в конструкциях и сооружениях
┌────────────────────────────────────┬─────────────────────────────────────────┐
│ Марка стали по │ Условия применения стали при
расчетной │
│ │ температуре, °C │
│ ├───────────┬───────────┬─────────────────┤
│ │ t
>= -45 │-45 > t >= │ t < -55 │
│ │ │ -55
│ │
├──────────┬──────────────┬──────────┼───────────┴───────────┴─────────────────┤
│ГОСТ
27772│ ГОСТ 535, │ГОСТ 19281│ для групп конструкций │
│ │ ГОСТ 14637
│ ├──┬──┬──┬──┬──┬──┬──┬──┬──┬──┬────────┬──┤
│ │ │ │1 │2 │3 │4 │1
│2 │3 │4 │1 │2 │ 3 │4
│
├──────────┼──────────────┼──────────┼──┼──┼──┼──┼──┼──┼──┼──┼──┼──┼────────┼──┤
│ С235
│Ст3кп2, Ст3пс2│
│- │- │+ │+ │- │- │- │- │-
│- │ - │- │
│ С245
│ Ст3пс5 │ │- │+ │x │- │-
│- │- │+ │- │- │ - │+
│
│С255,
С285│ Ст3сп5 │ │+ │x │x │- │-
│- │- │+ │- │- │ - │+
│
│ │ │ │ │
│ │ │
│ │ │
│ │ │
│ │
│ │ │ │3 │1 │1 │ │3 │3 │1 │ │4 │4 │2 или 3 │ │
│С345,
С375│ │ 09Г2С
│--│- │- │- │--│--│- │- │--│--│--------│-
│
│ │ │ │12│4 │4 │ │12│12│4 │ │15│15│7 или 12│ │
├──────────┴──────────────┴──────────┴──┴──┴──┴──┴──┴──┴──┴──┴──┴──┴────────┴──┤
│ Обозначения, принятые в таблице В.1: │
│ знак "+" означает,
что данную сталь
следует применять; знак "-" │
│означает,
что данную сталь
не следует применять; знак "x" означает, что │
│данную сталь
можно применять при соответствующем технико-экономическом │
│обосновании.
│
│ Примечания. 1. Для стали
С345 и 09Г2С даны категории требований по │
│ударной
вязкости соответственно в числителе по ГОСТ 27772, в знаменателе - │
│по
ГОСТ 19281.
│
│ 2. Прокат
из стали с
пределом текучести R
>= 390 Н/мм2 следует │
│ yn │
│назначать
согласно требованиям таблиц В.3 и В.4. │
└──────────────────────────────────────────────────────────────────────────────┘
Таблица В.2
┌──────────┬──────────┬───────────────────────────────────────────────────┐
│ Марка
│ ГОСТ │Условие применения стали при
расчетной температуре,│
│ стали
│ │ °C │
│(толщина,
│ ├─────────────────┬─────────────────┬───────────────┤
│ мм)
│ │ t >= -45 │ -45 > t >= -55 │
t < -55 │
│ │ ├─────────────────┴─────────────────┴───────────────┤
│ │ │ для групп конструкций │
│ │ ├─────┬─────┬─────┬─────┬─────┬─────┬─────┬────┬────┤
│ │ │ 2 │ 3 │ 4 │ 2 │ 3 │ 4 │ 2 │
3 │ 4 │
├──────────┼──────────┼─────┼─────┼─────┼─────┼─────┼─────┼─────┼────┼────┤
│ВСт3кп │ГОСТ 10705│ +2 │ +2
│ +2 │ +2 │ +2
│ +2 │ - │
- │ +2 │
│(до
4) │<1> │ <3> │ <3> │
<3> │ <3> │ <3> │ <3> │ │
│<3> │
│ │ │ │
│ │ │
│ │ │
│ │
│ВСт3кп │ГОСТ 10705│ - │
+2 │ +2 │
- │ - │ - │ - │
- │ - │
│(4,5
- 10)│<1> │ │ <3> │ <3> │ │
│ │ │
│ │
│ │ │ │
│ │ │
│ │ │
│ │
│ВСт3пс │ГОСТ
10705│ +2 │ +2 │ +2
│ - │ +2
│ +2 │ - │
- │ +2 │
│(до
5,5) │<1> │ <3> │ <3> │
<3> │ │ <3> │
<3> │ │ │<3> │
│ │ │ │
│ │ │
│ │ │
│ │
│ВСт3пс │ГОСТ 10705│ +6 │ +6
│ +6 │ - │ - │
+6 │ - │
- │ +6 │
│(6
- 10) │<1> │ │
│ │ │
│ │ │ │
│
│ │ │ │
│ │ │
│ │ │
│ │
│ВСт3сп │ГОСТ 10705│ - │ - │ - │ - │
+5 │ - │ - │
- │ - │
│(6
- 10) │<1> │ │
│ │ │
│ │ │
│ │
│ │ │ │
│ │ │
│ │ │
│ │
│ВСт3пс │ГОСТ 10706│ - │
+4 │ +4 │
- │ - │
+4 │ - │
- │ - │
│(5
- 15) │<2> │ │
│ │ │
│ │ │
│ │
│ │ │ │
│ │ │
│ │ │
│ │
│ВСт3сп │ГОСТ 10706│ - │ - │ - │ - │
+4 │ - │ - │
- │ - │
│(5
- 15) │<2> │ │
│ │ │
│ │ │
│ │
│ │ │ │
│ │ │
│ │ │
│ │
КонсультантПлюс: примечание.
ГОСТ 8731-87 отменен с 1 января
1995 года (Указатель "Отмененные и
замененные национальные
стандарты", М.: ФГУП
"Стандартинформ",
2009).
Действует
ГОСТ 8731-74.
│20
<4> │ГОСТ 8731 │ + │ + │ - │ - │ - │ - │ - │
- │ - │
│ │ │ │
│ │ │
│ │ │
│ │
│09Г2С
<4> │ГОСТ 8731 │
+ │ + │ - │ + │ + │ - │ - │
- │ - │
├──────────┴──────────┴─────┴─────┴─────┴─────┴─────┴─────┴─────┴────┴────┤
│
<1> Группа B по таблице 1 ГОСТ 10705. │
КонсультантПлюс: примечание.
В
официальном тексте документа, видимо, допущена опечатка: пункт 5.1.4
в
ГОСТ 10706 отсутствует.
│
<2> Группа B с дополнительными требованиями по 5.1.4 ГОСТ 10706. │
│
<3> Кроме опор ВЛ, ОРУ и КС. │
│
<4> Бесшовные горячедеформированные трубы из указанных
марок стали│
│допускается
применять для элементов специальных опор больших переходов ВЛ│
│высотой более
60 м (группа
конструкций 1); при
этом они должны│
│удовлетворять
требованиям по ударной вязкости:
│
│ - из стали марки 20 при расчетной
температуре t >=
-45 °C (при│
│температуре
испытаний минус 20 °C) не менее 30 Дж/см2; │
│ - из стали марки 09Г2С при расчетной
температуре -45 °C > t >= -55 °C│
│(при
температуре испытаний минус 40 °C) не менее 40
Дж/см2 при толщине│
│стенки
до 9 мм и 35 Дж/см2 - при толщине стенки 10 мм и более. │
│
│
│ Обозначения, принятые в таблице В.2: │
│ Знак "+" означает, что данную
сталь следует применять;
знак "-"│
│означает,
что данную сталь не следует
применять; цифра у
знака "+"│
│означает
категорию стали. │
│ Примечание. Трубы, поставляемые по
другим стандартам и
ТУ, в том│
│числе
зарубежного производства, следует
назначать по согласованию
с│
│организацией
- разработчиком настоящих норм. │
└─────────────────────────────────────────────────────────────────────────┘
Таблица В.3
Нормируемые
показатели ударной вязкости проката
┌───────────┬──────────┬──────────────────────────────────────────────────┐
│Расчетная │Группа │ Предел текучести проката, Н/мм2 │
│температу-
│конструк- ├───────────────┬────────────┬──────────┬──────────┤
│ра,
°C │ций │
R < 290 │290 <= R <│390 <= R │R
>= 490│
│ │ │ yn
│ yn │
yn│ yn │
│ │ │ │390 │< 490 │ │
│ │ ├───────────────┴────────────┴──────────┴──────────┤
│ │ │ Показатели ударной вязкости, Дж/см2 │
│ │ ├───┬───────────┬────────────┬──────────┬──────────┤
│ │ │KCA│ KCV
│ KCV │
KCV │ KCV
│
│ │ ├───┴───────────┴────────────┴──────────┴──────────┤
│ │ │
при температуре испытаний на ударный изгиб, °C │
│ │ ├───┬───┬───┬───┬──────┬─────┬────┬─────┬──────────┤
│ │ │+20│+20│ 0 │-20│
-20 │ -40 │-40 │ -60 │ -60
│
├───────────┼──────────┼───┼───┼───┼───┼──────┼─────┼────┼─────┼──────────┤
│t
>= -45 │ 1, 2, 3 │29 │34 │ - │ - │ 34 │ - │
34 │ - │
40 │
├───────────┼──────────┼───┼───┼───┼───┼──────┼─────┼────┼─────┼──────────┤
│-45
> t >= │ 1 │29 │ - │ - │34 │ - │
34 │ 34 │ - │ 40
│
│-55 ├──────────┼───┼───┼───┼───┼──────┼─────┼────┼─────┼──────────┤
│ │ 2, 3
│29 │ - │34 │ - │ 34 │ - │
34 │ - │
40 │
├───────────┼──────────┼───┼───┼───┼───┼──────┼─────┼────┼─────┼──────────┤
│t
< -55 │ 1, 2, 3 │29 │ - │ - │34 │ - │
34 │ - │ 34
│ 40 │
├───────────┴──────────┴───┴───┴───┴───┴──────┴─────┴────┴─────┴──────────┤
│ Примечания. 1. KCA - ударная вязкость
образцов типа 1 по ГОСТ 9454,│
│испытанных при
температуре +20 °C, с U-образным
надрезом после│
│деформационного
старения; KCV - ударная вязкость
образцов с V-образным│
│надрезом
(тип 11 по ГОСТ 9454). │
│ 2.
В толстолистовом прокате
испытываются поперечные образцы,
в│
│фасонном
и сортовом - продольные. │
└─────────────────────────────────────────────────────────────────────────┘
Таблица В.4
Требования
по химическому составу
┌─────────────────────────┬──────────────────────────────────┬────────────┐
│Нормативные
сопротивления│ Содержание
элементов <*>, % │ C , %
│
│ стали, Н/мм2 │ (не более) │ э
│
│ ├──────────┬───────────┬───────────┤
(не более) │
│ │ C │ P
│ S │ │
├─────────────────────────┼──────────┼───────────┼───────────┼────────────┤
│R < 290 │ 0,22
│ 0,040 │0,045 <**> │ -
│
│
yn │ │ │ │ │
│290
<= R < 390 │ 0,14
│ 0,035 │0,035 <**> │ 0,45
│
│ yn │ │ │ │ │
│390
<= R < 490 │ 0,12
│0,015 <***>│0,015 <***>│ 0,46
│
│ yn │ │ │ │ │
│490
<= R < 590 │ 0,13
│ 0,015 │
0,010 │ 0,47
│
│ yn │ │ │ │ │
│R >= 590 │ 0,15
│ 0,010 │
0,005 │ 0,51
│
│
yn │ │ │ │ │
├─────────────────────────┴──────────┴───────────┴───────────┴────────────┤
│
<*> Предельные отклонения по химическому составу в готовом прокате
по│
│ГОСТ
27772. │
│
<**> В случае
термической обработки, направленной
на измельчение│
│зерна,
S <= 0,025%.
│
│
│
│ Примечания. 1. Углеродный эквивалент (C , %)
следует определять по│
│
э │
│формуле
│
│
│
│ Mn Si
Cr Ni Cu V
+ Nb Mo P │
│ C
= C + -- + -- + -- + -- + -- + ------ + -- + -, │
│ э 6
24 5 40
13 14 4
2 │
│
│
│где
C, Mn, Si, Cr, Ni, Cu, V, Nb, Mo, P - массовые доли элементов, %. │
│ 2.
Для сталей с
нормативным сопротивлением 290 <= R
< 390 Н/мм2│
│
yn │
│допускается
повышение содержания углерода до 0,17%
по согласованию с│
│организацией
- составителем норм. Для фасонных профилей
с нормативным│
│
│
│сопротивлением
390 <= R < 490 Н/мм2 допускается
содержание фосфора до│
│ yn
│
│P
<= 0,030% и серы
до S <= 0,025% по согласованию
с организацией -│
│составителем
норм.
│
└─────────────────────────────────────────────────────────────────────────┘
Таблица В.5
Нормативные
и расчетные сопротивления при растяжении,
сжатии и изгибе
листового, широкополосного
универсального и
фасонного проката
┌──────────┬────────────┬─────────────────────────┬───────────────────────┐
│
Сталь по │ Толщина │Нормативное сопротивление│Расчетное
сопротивление│
│ГОСТ
27772│проката <*>,│ <**> проката, Н/мм2 │ <***> проката, Н/мм2 │
│ │ мм
├────────────┬────────────┼───────────┬───────────┤
│ │ │ R
│ R │ R
│ R │
│ │ │ yn
│ un │
y │ u
│
├──────────┼────────────┼────────────┼────────────┼───────────┼───────────┤
│ С235
│От 2 до 8 │ 235
│ 360 │
230/225 │ 350/345
│
├──────────┼────────────┼────────────┼────────────┼───────────┼───────────┤
│ С245
│" 2 " 20 │ 245
│ 370 │
240/235 │ 360/350
│
│ │Св. 20 " 30 │ 235
│ 370 │
230/225 │ 360/350
│
├──────────┼────────────┼────────────┼────────────┼───────────┼───────────┤
│ С255
│От 2 " 20 │ 245
│ 370 │
240/235 │ 360/350
│
│ │Св. 20 " 40 │ 235
│ 370 │
230/225 │ 360/350
│
├──────────┼────────────┼────────────┼────────────┼───────────┼───────────┤
│ С285
│От 2 " 10 │ 275
│ 390 │
270/260 │ 380/370
│
│ │Св. 10 " 20 │ 265
│ 380 │
260/250 │ 370/360
│
├──────────┼────────────┼────────────┼────────────┼───────────┼───────────┤
│ С345
│От 2 " 20 │ 325
│ 470 │ 320/310
│ 460/450 │
│ │Св. 20 " 40 │ 305
│ 460 │
300/290 │ 450/440
│
│ │" 40 " 80 │ 285
│ 450 │
280/270 │ 440/430
│
│ │" 80 " 100│ 265
│ 430 │
260/250 │ 420/410
│
├──────────┼────────────┼────────────┼────────────┼───────────┼───────────┤
│ С345К
│От 4 " 10 │ 345
│ 470 │
335/330 │ 460/450
│
├──────────┼────────────┼────────────┼────────────┼───────────┼───────────┤
│ С375
│" 2 " 20 │ 355
│ 490 │
345/340 │ 480/465
│
│ │Св. 20 " 40 │ 335
│ 480 │
325/320 │ 470/455
│
├──────────┼────────────┼────────────┼────────────┼───────────┼───────────┤
│ С390
│От 4 " 50 │ 390
│ 540 │ 380/370
│ 525/515 │
├──────────┼────────────┼────────────┼────────────┼───────────┼───────────┤
│ С440
│" 4 " 30 │ 440
│ 590 │
430/420 │ 575/560
│
│ │Св. 30 " 50 │ 410
│ 570 │
400/390 │ 555/540
│
├──────────┼────────────┼────────────┼────────────┼───────────┼───────────┤
│ С590
│От 10 " 40 │ 590
│ 685 │
575/560 │ 670/650
│
│ С590К
│ │ │ │ │ │
├──────────┴────────────┴────────────┴────────────┴───────────┴───────────┤
│
<*> За толщину фасонного проката следует принимать толщину
полки. │
│
<**> За нормативное сопротивление
приняты гарантированные значения│
│предела текучести
и временного сопротивления, приводимые в│
│государственных
стандартах или технических условиях. В тех случаях, когда│
│эти значения
в государственных стандартах
или технических условиях│
│приведены только
в одной системе
единиц - (кгс/мм2),
нормативные│
│сопротивления
(Н/мм2) вычислены умножением соответствующих величин
на│
│9,81 с
округлением до 5
Н/мм2. По согласованию
с организацией -│
│составителем норм
допускается применение значений
нормативных│
│сопротивлений,
отличных от приведенных в настоящей таблице В.5. │
КонсультантПлюс: примечание.
В
официальном тексте документа, видимо, допущена опечатка: пункт
3.2
отсутствует.
│
<***> Значения расчетных сопротивлений получены делением нормативных│
│сопротивлений
на коэффициенты надежности по материалу,
определенные в│
│соответствии
с 3.2, с округлением до 5 Н/мм2. В числителе
представлены│
│значения
расчетных сопротивлений проката, поставляемого
по ГОСТ 27772│
│(кроме
стали С590К) или
другой нормативной документации,
в которой│
│используется процедура
контроля свойств проката
по ГОСТ 27772│
│(гамма = 1,025),
в знаменателе -
расчетное сопротивление
остального│
│ m
│
│проката
при гамма = 1,050. │
│ m
│
└─────────────────────────────────────────────────────────────────────────┘
Таблица В.6
Нормативные
и расчетные сопротивления
при растяжении,
сжатии и изгибе труб
┌────────────────┬──────────┬───────┬───────────────────┬─────────────────┐
│ Марка стали
│ ГОСТ │Толщина│ Нормативное │
Расчетное │
│ │ │стенки,│ сопротивление, │ сопротивление, │
│ │ │ мм │ Н/мм2 │ Н/мм2
│
│ │ │ ├─────────┬─────────┼────────┬────────┤
│ │ │ │
R │ R │ R │ R │
│ │ │ │ yn │ un │ y │ u │
├────────────────┼──────────┼───────┼─────────┼─────────┼────────┼────────┤
│ВСт3кп,
ВСт3пс, │ГОСТ 10705│ До 10 │
225 │ 370 │ 215 │ 350 │
│ВСт3сп │ │ │ │ │ │ │
├────────────────┼──────────┼───────┼─────────┼─────────┼────────┼────────┤
│ВСт3пс4,
Ст3сп4,│ГОСТ 10706│4 - 15 │
245 │ 370 │ 235 │ 350 │
КонсультантПлюс: примечание.
ГОСТ 8731-87 отменен с 1 января
1995 года (Указатель "Отмененные и
замененные национальные
стандарты", М.: ФГУП
"Стандартинформ",
2009).
Действует
ГОСТ 8731-74.
│20 │ГОСТ 8731 │4 - 36 │ 245 │ 410 │ 225 │ 375 │
├────────────────┴──────────┴───────┴─────────┴─────────┴────────┴────────┤
│ Примечания. 1. Нормативные
сопротивления для труб
из стали марки│
│09Г2С
по ГОСТ 8731 устанавливаются по соглашению сторон в соответствии с│
│требованиями
этого стандарта; расчетные сопротивления
- согласно 5.2│
│настоящих
норм.
│
│ 2. Для труб марок сталей и толщин,
поставляемых по другим стандартам│
│и
ТУ, допускается назначение нормативных
и расчетных сопротивлений
по│
│согласованию
с организацией - составителем норм. │
└─────────────────────────────────────────────────────────────────────────┘
Таблица В.7
Расчетные
сопротивления проката смятию торцевой
поверхности,
местному смятию в цилиндрических
шарнирах,
диаметральному сжатию катков
┌──────────────┬──────────────────────────────────────────────────────────┐
│ Временное
│ Расчетное
сопротивление, Н/мм2 │
│сопротивление,├───────────────────────────────────┬──────────────────────┤
│ Н/мм2
│ смятию │диаметральному сжатию │
│ ├─────────────────┬─────────────────┤катков
(при свободном │
│ │ торцевой
│ местному в │касании в конструкциях│
│ │поверхности (при │
цилиндрических │ с ограниченной │
│ │наличии пригонки)│шарнирах
(цапфах)│ подвижностью) R │
│ │ R
│ при плотном │ cd │
│ │ p
│ касании R │ │
│ │ │ lp
│ │
├──────────────┼─────────────────┼─────────────────┼──────────────────────┤
│ 360
│ 351/343 │
176/171 │ 9/9 │
│ 370
│ 361/352 │
180/176 │ 9/9 │
│ 380
│ 371/362 │
185/181 │ 9/9 │
│ 390
│ 380/371 │
190/185 │ 10/10 │
│ 400
│ 390/381 │
195/190 │ 10/10 │
│ 430
│ 420/409 │
210/204 │ 10/10 │
│ 440
│ 429/419 │
215/209 │ 11/11 │
│ 450
│ 439/428 │
220/214 │ 11/11 │
│ 460
│ 449/438 │
224/219 │ 11/11 │
│ 470
│ 459/448 │
229/224 │ 11/11 │
│ 480
│ 468/457 │
234/228 │ 12/12 │
│ 490
│ 478/467 │
239/233 │ 12/12 │
│ 510
│ 498/486 │
249/243 │ 12/12 │
│ 540
│ 527/514 │
263/257 │ 13/13 │
│ 570
│ 556/543 │
278/271 │ 14/14 │
│ 590
│ 576/562 │
288/281 │ 14/14 │
├──────────────┴─────────────────┴─────────────────┴──────────────────────┤
│ Примечание.
В таблице указаны
значения расчетных сопротивлений,│
│вычисленные по
формулам раздела 6 при
гамма = 1,025 (в числителе) и│
│
m │
│гамма = 1,050 (в знаменателе). │
│ m
│
└─────────────────────────────────────────────────────────────────────────┘
Таблица В.8
Расчетные
сопротивления отливок из углеродистой стали
┌─────────────────────────────────┬────────────┬──────────────────────────┐
│ Напряженное состояние │
Условное │ Расчетные
сопротивления, │
│ │обозначение
│ Н/мм2, отливок из │
│ │ │ углеродистой стали марок │
│ │ ├──────┬──────┬─────┬──────┤
│ │ │ 15Л │ 25Л
│ 35Л │ 45Л │
├─────────────────────────────────┼────────────┼──────┼──────┼─────┼──────┤
│Растяжение,
сжатие и изгиб │ R
│ 150 │ 180 │ 210 │ 250 │
│ │ u
│ │ │ │ │
├─────────────────────────────────┼────────────┼──────┼──────┼─────┼──────┤
│Сдвиг │ R
│ 90 │ 110
│ 130 │ 150 │
│ │ s
│ │ │ │ │
├─────────────────────────────────┼────────────┼──────┼──────┼─────┼──────┤
│Смятие
торцевой поверхности (при │
R │ 230 │ 270
│ 320 │ 370 │
│наличии
пригонки) │ p
│ │ │ │ │
├─────────────────────────────────┼────────────┼──────┼──────┼─────┼──────┤
│Смятие
местное в цилиндрических │ R
│ 110 │ 130 │ 160 │ 180 │
│шарнирах
(цапфах) при плоском │ lp
│ │ │ │ │
│касании │ │ │ │ │ │
├─────────────────────────────────┼────────────┼──────┼──────┼─────┼──────┤
│Диаметральное
сжатие катков при │ R
│ 6 │
7 │ 8 │ 10 │
│свободном
касании (в конструкциях│
cd │ │ │ │ │
│с
ограниченной подвижностью) │ │ │
│ │ │
├─────────────────────────────────┴────────────┴──────┴──────┴─────┴──────┤
│ Примечание.
Расчетные сопротивления отливок
из низколегированной│
│стали,
поставляемой по другим стандартам и ТУ, в
том числе зарубежного│
│производства, следует
назначать по согласованию
с организацией -│
│составителем
норм.
│
└─────────────────────────────────────────────────────────────────────────┘
Таблица В.9
Расчетные
сопротивления отливок из серого чугуна
┌─────────────────────────────┬───────────┬───────────────────────────────┐
│ Напряженное состояние │ Условное │Расчетные сопротивления, Н/мм2,│
│ │обозначение│отливок
из серого чугуна марок │
│ │ ├───────┬───────┬───────┬───────┤
│ │ │ СЧ15 │ СЧ20
│ СЧ25 │ СЧ30 │
├─────────────────────────────┼───────────┼───────┼───────┼───────┼───────┤
│Растяжение
центральное │ R
│ 55 │
65 │ 85 │ 100 │
│и
изгиб │ t
│ │ │ │ │
├─────────────────────────────┼───────────┼───────┼───────┼───────┼───────┤
│Сжатие
центральное и изгиб │ R
│ 160 │
200 │ 230 │ 250 │
│ │ c
│ │ │ │ │
├─────────────────────────────┼───────────┼───────┼───────┼───────┼───────┤
│Сдвиг │ R
│ 40 │
50 │ 65 │ 75 │
│ │ s
│ │ │ │ │
├─────────────────────────────┼───────────┼───────┼───────┼───────┼───────┤
│Смятие
торцевой поверхности │ R
│ 240 │
300 │ 340 │ 370 │
│(при
наличии пригонки) │ p
│ │ │ │ │
└─────────────────────────────┴───────────┴───────┴───────┴───────┴───────┘
(справочное)
МАТЕРИАЛЫ
ДЛЯ СОЕДИНЕНИЙ СТАЛЬНЫХ КОНСТРУКЦИЙ
Таблица Г.1
Материалы
для сварки, соответствующие стали
┌──────────────────┬─────────────────────────────────────────────────────────┐
│ Сталь │ Материалы для сварки │
│ ├────────────┬───────────────────────┬─────────┬──────────┤
│ │в углекислом│ под флюсом │порошко- │покрытыми │
│ │ газе (по
│ (по ГОСТ 9087) │вой про- │электро- │
│ │ ГОСТ 8050) │ │волокой │дами (по │
│ │ или в его │ │(по ГОСТ │ГОСТ
9467)│
│ │ смеси с
│ │26271) │ │
│ │аргоном (по │ │ │ │
│ │ГОСТ 10157) │ │ │ │
│ ├────────────┴───────────────────────┴─────────┼──────────┤
│ │ Марка │ Тип
│
│ ├────────────────────────┬───────────┬─────────┤электрода
│
│ │сварочной проволоки
для │ флюса │порошко- │ │
│ │ автоматической и │ │вой │ │
│ │механизированной
сварки │ │проволоки│ │
│ │ (по ГОСТ 2246) │ │ │ │
├──────────────────┼────────────┬───────────┼───────────┼─────────┼──────────┤
│R < 290 Н/мм2 │Св-08Г2С │Св-08А │АН-348-А │ПП-АН-3 │Э42 <1>, │
│
yn │ │ │АН-60 │ПП-АН-8 │Э42А │
│ │ ├───────────┤<1> │ ├──────────┤
│ │ │Св-08ГА │ПФК-56С │ │Э46 <1>, │
│ │ │ │<4> │ │Э46А │
├──────────────────┤ ├───────────┼───────────┤ ├──────────┤
│290
Н/мм2 <= R <│ │Св-10ГА <2>│АН-17-М │ │Э50 <1>, │
│ yn │ │ │АН-43 │ │Э50А │
│<
590 Н/мм2 │ ├───────────┤АН-47 │ │- │
│ │ │Св-10Г2 <2>│АН-348-А │ │ │
│ │ │Св-10НМА │<3> │ │ │
│ │ │ │ПФК-56С │ │ │
│ │ │ │<4> │ │ │
├──────────────────┼────────────┼───────────┼───────────┼─────────┼──────────┤
│R >= 590 Н/мм2 │Св-08Г2С │Св-10НМА │АН-17-М │ПП-АН-3 │Э60 │
│
yn │Св-08ХГСМА │ │ПФК-56С****│ПП-АН-8 │ │
│ ├────────────┼───────────┤ │ ├──────────┤
│ │СВ-10ХГ2СМА │Св-08ХН2ГМЮ│ │ │Э70 │
├──────────────────┴────────────┴───────────┴───────────┴─────────┴──────────┤
│
<1> Флюс АН-60 и электроды
типа Э42, Э46, Э50 следует применять
для│
│конструкций
групп 2, 3 при расчетных температурах t >= -45 °C. │
│
<2> Не применять в сочетании с флюсом АН-43. │
│
<3> Для флюса АН-348-А требуется
дополнительный контроль механических│
│свойств металла
шва при сварке
соединений элементов всех
толщин при│
│расчетных температурах t < -45 °C и толщин
свыше 32 мм - при
расчетных│
│температурах
t >= -45 °C.
│
│
<4> Керамический флюс по ТУ 59295-001-56315282-2004. │
│
│
│ Примечание. При соответствующем технико-экономическом обосновании
для│
│сварки
конструкций разрешается использовать сварочные
материалы (проволоки,│
│флюсы, защитные
газы), не указанные
в настоящей таблице.
При этом │
│механические
свойства металла шва, выполняемого
с их
применением, должны│
│быть не
ниже свойств, обеспечиваемых применением
материалов согласно│
│настоящей
таблице.
│
└────────────────────────────────────────────────────────────────────────────┘
Таблица Г.2
Нормативные
и расчетные сопротивления металла
швов сварных
соединений с угловыми швами
┌───────────────────────────────────────────────────┬──────────┬──────────┐
│ Сварочные материалы │ R
, │R , Н/мм2│
├──────────────┬────────────────────────────────────┤ wun
│ wf │
│тип
электрода │ марка
проволоки │ Н/мм2
│ │
│(по
ГОСТ 9467)│ │ │ │
├──────────────┼────────────────────────────────────┼──────────┼──────────┤
│ Э42, Э42А
│ Св-08,
Св-08А │ 410
│ 180 │
│ Э46, Э46А
│ Св-08ГА │ 450
│ 200 │
│ Э50, Э50А
│Св-08Г2С, Св-10ГА, ПП-АН-8, ПП-АН-3 │ 490
│ 215 │
├──────────────┼────────────────────────────────────┼──────────┼──────────┤
│ Э60
│ Св-08Г2С <*>,
Св-10НМА, Св-10Г2 │ 590
│ 240 │
├──────────────┼────────────────────────────────────┼──────────┼──────────┤
│ Э70
│ Св-10ХГ2СМА,
Св-08ХН2ГМЮ │ 685
│ 280 │
├──────────────┼────────────────────────────────────┼──────────┼──────────┤
│ Э85
│ - │ 835
│ 340 │
├──────────────┴────────────────────────────────────┴──────────┴──────────┤
│
<*> Только для швов с катетом k <= 8 мм в конструкциях из стали с│
│ f │
│пределом
текучести 440 Н/мм2 и более. │
└─────────────────────────────────────────────────────────────────────────┘
Таблица Г.3
Требования
к болтам при различных условиях их применения
┌──────────────┬──────────────────────────────────────────────────────────┐
│ Расчетная
│Класс прочности болтов и требования к ним по ГОСТ Р 52627 │
│
температура │ в конструкциях │
│ t, °C
│
│
│ ├──────────────────────────────┬───────────────────────────┤
│ │не рассчитываемых на
усталость│рассчитываемых на усталость│
│ ├──────────────────────────────┴───────────────────────────┤
│ │ при работе болтов на │
│ ├──────────────┬───────────────┬──────────────┬────────────┤
│ │ растяжение
│ срез │
растяжение │ срез
│
│ │ или срез
│ │ или срез
│ │
├──────────────┼──────────────┼───────────────┼──────────────┼────────────┤
│ >= -45
│ 5,6 │ 5,6
│ 5,6 │
5,6 │
│ │ -
│ 5,8 │ -
│ - │
│ │ 8,8
│ 8,8 │ 8,8
│ 8,8 │
│ │ 10,9
│ 10,9 │
10,9 │ 10,9
│
│ │ -
│ 12,9 │ -
│ 12,9 │
├──────────────┼──────────────┼───────────────┼──────────────┼────────────┤
│-45
> t >= -55│ 5,6 │ 5,6
│ 5,6 │
5,6 │
│ │ 8,8
│ 8,8 │
8,8 <*> │ 8,8
│
│ │ 10,9
│ 10,9 │
10,9 <*> │ 10,9
│
│ │ -
│ 12,9 │ -
│ 12,9 │
├──────────────┼──────────────┼───────────────┼──────────────┼────────────┤
│ < -55
│ 5,6 │ 5,6
│ - │ 5,6
│
│ │ 8,8 <*> │
8,8 │
8,8 <*> │ 8,8
│
│ │ 10,9 <*> │
10,9 │ 10,9 <*> │
10,9 │
│ │ -
│ 12,9 │ -
│ 12,9 │
├──────────────┴──────────────┴───────────────┴──────────────┴────────────┤
│
<*> С требованием
испытания на разрыв
на косой шайбе
по 6.5│
│ГОСТ Р 52627. │
└─────────────────────────────────────────────────────────────────────────┘
Таблица Г.4
Марки стали
фундаментных болтов и условия их применения
┌──────────────────────────────┬───────────┬──────────────────────────────┐
│ Конструкции │Нормативный│ Марки стали при расчетной │
│ │
документ │ температуре t, °C │
│ │ ├───────┬──────────────┬───────┤
│ │ │>= -45 │-45 > t
>= -55│ < -55 │
├──────────────────────────────┼───────────┼───────┼──────────────┼───────┤
│Конструкции,
кроме опор │ ГОСТ 535 │Ст3пс2,│ Ст3пс4,
│ - │
│воздушных
линий │ │Ст3сп2 │ Ст3сп4
│ - │
│электропередачи, │ ГОСТ 1050 │ 20 │ -
│ - │
│распределительных
устройств │ГОСТ 19281 │ - │
09Г2С-4 <*> │09Г2С-4│
│и
контактной сети │ │ │ │ <*>
│
├──────────────────────────────┼───────────┼───────┼──────────────┼───────┤
│Для
U-образных болтов, а также│ ГОСТ 535
│Ст3пс4,│ - │
- │
│фундаментных
болтов опор │ │Ст3сп4 │ -
│ - │
│воздушных
линий │ГОСТ 19281 │ - │
09Г2С-4 <*> │09Г2С-6│
│электропередачи, │ │ │ │ <**> │
│распределительных
устройств │ │ │ │ │
│и
контактной сети │ │ │ │ │
├──────────────────────────────┴───────────┴───────┴──────────────┴───────┤
│
<*> Допускается применение других сталей по ГОСТ 19281 категории
4. │
│
<**> Допускается применение других сталей по ГОСТ 19281 категории
6. │
└─────────────────────────────────────────────────────────────────────────┘
Таблица Г.5
Нормативные
сопротивления стали болтов
и расчетные
сопротивления одноболтовых
соединений срезу и
растяжению, Н/мм2
КонсультантПлюс:
примечание.
В официальном
тексте документа, видимо, допущена опечатка: имеется в виду ГОСТ Р 52627, а не
ГОСТ 52627.
┌───────────────────────┬───────────┬────────────┬────────────┬───────────┐
│Класс
прочности болтов │ R │
R │ R
│ R │
│ ГОСТ 52627 │ bun
│ byn │
bs │ bt
│
├───────────────────────┼───────────┼────────────┼────────────┼───────────┤
│ 5,6 │ 500
│ 300 │
210 │ 225
│
│ 5,8 │ 500
│ 400 │
210 │ -
│
│ 8,8 │ 830
│ 665 │
330 │ 450
│
│ 10,9 │ 1040
│ 935 │
415 │ 560
│
│ 12,9 │ 1220
│ 1100 │
425 │ -
│
└───────────────────────┴───────────┴────────────┴────────────┴───────────┘
Таблица Г.6
Расчетные
сопротивления смятию элементов,
соединяемых болтами
┌───────────────────────────┬─────────────────────────────────────────────┐
│ Временное сопротивление │
Расчетные сопротивления R ,
Н/мм2, смятию │
│стали
соединяемых элементов│ bp │
│ R
, Н/мм2 │ элементов, соединяемых болтами │
│ un ├──────────────────────┬──────────────────────┤
│ │ класса точности A │
классов точности B │
├───────────────────────────┼──────────────────────┼──────────────────────┤
│ 360 │ 560 │ 475 │
│ 370 │ 580 │ 485 │
│ 380 │ 590 │ 500 │
│ 390 │ 610 │ 515 │
│ 430 │ 670 │ 565 │
│ 440 │ 685 │ 580 │
│ 450 │ 700 │ 595 │
│ 460 │ 720 │ 605 │
│ 470 │ 735 │ 620 │
│ 480 │ 750 │ 630 │
│ 490 │ 765 │ 645 │
│ 510 │ 795 │ 670 │
│ 540 │ 845 │ 710 │
│ 570 │ 890 │ 750 │
│ 590 │ 920 │ 775 │
├───────────────────────────┴──────────────────────┴──────────────────────┤
│ Примечание. Значения расчетных
сопротивлений, указанные в
таблице,│
│вычислены
по формулам раздела 4 настоящих норм с округлением до 5 Н/мм2. │
└─────────────────────────────────────────────────────────────────────────┘
Таблица Г.7
Расчетные
сопротивления растяжению фундаментных болтов
┌───────────────┬─────────────────────────────────────────────────────────┐
│ Номинальный
│Расчетные сопротивления R
, Н/мм2, болтов из стали марок│
│диаметр
болтов,│
ba │
│ мм
├──────────────────────────────┬──────────────────────────┤
│ │ по ГОСТ 535 <*> │ по ГОСТ 19281 <*> │
│ ├──────────────────────────────┼──────────────────────────┤
│ │Ст3пс4, Ст3пс2, Ст3сп4,
Ст3сп2│ 09Г2С-4, 09Г2С-6 │
├───────────────┼──────────────────────────────┼──────────────────────────┤
│ 12, 16, 20
│ 200 │ 265 │
│ 24, 30
│ 190 │ 245 │
│ 36
│ 190 │ 230 │
│ 42, 48, 56
│ 180 │ 230 │
│ 64, 72, 80
│ 180 │ 220 │
│ 90, 100
│ 180 │ 210 │
│
110, 125, 140 │ 165 │ 210 │
├───────────────┴──────────────────────────────┴──────────────────────────┤
│
<*> Расчетные сопротивления болтов из других
марок сталей следует│
│вычислять
по формулам раздела 6 настоящих норм. │
│
│
│ Примечания. 1. Сталь по ГОСТ 535 должна
поставляться по 1-й группе. │
│ 2. Значения расчетных сопротивлений,
указанные в таблице, вычислены│
│по
формулам пункта 6.6 настоящих норм с округлением до 5 Н/мм2. │
└─────────────────────────────────────────────────────────────────────────┘
Таблица Г.8
Нормативные
и расчетные сопротивления растяжению
высокопрочных
болтов из стали 40Х по ГОСТ Р 52643
┌─────────────────────────────────────┬─────────────────┬─────────────────┐
│ Номинальный диаметр резьбы d, мм │
R , Н/мм2 │
R , Н/мм2 │
│ │ bun
│ bh │
├─────────────────────────────────────┼─────────────────┼─────────────────┤
│ 16, 20, (22), 24, (27) │ 1078
│ 755 │
│ 30 │ 900
│ 630 │
│ 36 │ 800
│ 560 │
│ 42 │ 650
│ 455 │
│ 48 │ 600
│ 420 │
├─────────────────────────────────────┴─────────────────┴─────────────────┤
│ Примечание. Размеры,
заключенные в скобки,
применять не│
│рекомендуется.
│
└─────────────────────────────────────────────────────────────────────────┘
Таблица Г.9
┌────────┬─────┬─────┬─────┬──────┬─────┬──────┬──────┬──────┬──────┬─────┐
│d,
мм │ 16 │(18) │ 20 │ (22) │ 24 │ (27) │ 30 │ 36 │ 42 │
48 │
├────────┼─────┼─────┼─────┼──────┼─────┼──────┼──────┼──────┼──────┼─────┤
│A
, см2 │2,01 │2,54 │3,14 │ 3,80 │4,52 │ 5,72
│ 7,06 │10,17 │13,85 │18,09│
│
b │ │
│ │ │ │ │ │ │ │ │
├────────┼─────┼─────┼─────┼──────┼─────┼──────┼──────┼──────┼──────┼─────┤
│A , см2│1,57 │1,92 │2,45 │
3,03 │3,53 │ 4,59 │ 5,61 │ 8,16 │11,20 │14,72│
│
bn │ │
│ │ │ │ │ │ │ │ │
├────────┴─────┴─────┴─────┴──────┴─────┴──────┴──────┴──────┴──────┴─────┤
│ Примечания. 1. Площади сечения болтов
диаметром свыше 48 мм следует│
│принимать
по ГОСТ 24379.1. │
│ 2. Размеры,
заключенные в скобки,
не рекомендуется применять
в│
│конструкциях,
кроме опор ВЛ и ОРУ. │
└─────────────────────────────────────────────────────────────────────────┘
Таблица Г.10
Физические
характеристики материалов
для стальных
конструкций
┌─────────────────────────────────────────────────────────────┬───────────┐
│ Характеристики │ Значение │
├─────────────────────────────────────────────────────────────┼───────────┤
│Плотность
ро, кг/м3: │ │
│
проката и стальных отливок │ 7850
│
│
отливок из чугуна │ 7200
│
│ -1 │ -4│
│Коэффициент
линейного расширения альфа, °C
│0,12 x 10 │
│Модуль
упругости E, Н/мм2 │ │
│
│ 5 │
│
прокатной стали, стальных отливок │2,06 x
10 │
│
отливок из чугуна марок: │ │
│ │ 5 │
│ СЧ15
│0,83 x 10 │
│
│ │
│
│ 5 │
│ СЧ20, СЧ25, СЧ30 │0,98
x 10 │
│
│ │
│
│ 5 │
│
пучков и прядей параллельных проволок │1,96 x 10 │
│
канатов стальных: │ │
│
│ 5 │
│ спиральных и закрытых несущих │1,67 x 10 │
│
│ │
│
│ 5 │
│ двойной свивки │1,47
x 10 │
│
│ │
│
│ 5 │
│ двойной свивки с неметаллическим
сердечником │1,27 x
10 │
│ │ │
│
│ 5 │
│Модуль
сдвига прокатной стали и стальных отливок G, Н/мм2 │0,79 x 10 │
│ │ │
│Коэффициент
поперечной деформации (Пуассона) ню
│ 0,3 │
├─────────────────────────────────────────────────────────────┴───────────┤
│ Примечание. Значения
модуля упругости даны
для канатов,│
│предварительно
вытянутых усилием, равным не менее 60%
разрывного усилия│
│для
каната в целом.
│
└─────────────────────────────────────────────────────────────────────────┘
Таблица Г.11
Физические
характеристики проводов и проволоки
┌──────────────────────────────────┬─────────────┬───────────┬────────────┐
│ Наименование материалов │
Марка и │ Модуль
│Коэффициент │
│ │
номинальное │ упругости │ линейного
│
│ │сечение,
мм2 │ E, Н/мм2 │ расширения │
│ │ │ │ -1│
│ │ │ │ альфа, °C │
├──────────────────────────────────┼─────────────┼───────────┼────────────┤
│ │ │ 5│ -4 │
│Алюминиевые
провода по ГОСТ 839Е │ А, АНП;
│0,630 x 10 │0,23 x 10
│
│ │ 16 - 800
│ │ │
│ │ │ 5│ -4 │
│Медные
провода по ГОСТ 839Е │ М; 4 -
800 │1,300 x 10 │0,17 x
10 │
│Сталеалюминевые
провода по │ АС, АСК;
│ │ │
│ГОСТ
839Е при отношении площадей │
АСКП, АСКС │ │ │
│алюминия
к стали, равном: │ │ │ │
│ │ │ 5│ -4│
│
6 - 6,25 │
10 и более │0,825 x 10 │0,192
x 10 │
│ │ │ │ │
│ │ │ 5│ -4│
│
0,65 │ 95
│1,460 x 10 │0,139 x 10
│
│ │ │ │ │
│ │ │ 5│ -4│
│
4,29 - 4,39 │
120 и более │0,890 x 10 │0,183 x 10
│
│ │ │ │ │
│ │ │ 5│ -4│
│
7,71 - 8,04 │
150 и более │0,770 x 10 │0,198 x 10
│
│ │ │ │ │
│ │ │ 5│ -4│
│
1,46 │
185 и более │1,140 x 10 │0,155 x 10
│
│ │ │ │ │
│ │ │ 5│ -4│
│
12,22 │ 330
│0,665 x 10 │0,212 x 10
│
│ │ │ │ │
│ │ │ 5│ -4│
│
18,2 - 18,5 │ 400 и 500
│0,665 x 10 │0,212 x 10
│
│Биметаллическая
сталемедная │ БСМ 1
│ │ │
│проволока
по ГОСТ 3822 диаметром, │
│ │ │
│мм: │ │ │ │
│ │ │ 5│ -4│
│
1,6 - 4 │
2,0 - 12,5 │1,870 x 10 │0,127
x 10 │
│ │ │ │ │
│ │ │ 5│ -4│
│
6 │ 28,2
│1,900 x 10 │0,124 x 10
│
├──────────────────────────────────┴─────────────┴───────────┴────────────┤
│ Примечание. Значения массы проводов и
проволоки следует принимать по│
│ГОСТ
839Е и ГОСТ 3822.
│
└─────────────────────────────────────────────────────────────────────────┘
(обязательное)
КОЭФФИЦИЕНТЫ
ДЛЯ РАСЧЕТА НА УСТОЙЧИВОСТЬ
ЦЕНТРАЛЬНО- И
ВНЕЦЕНТРЕННО-СЖАТЫХ ЭЛЕМЕНТОВ
Таблица Д.1
Коэффициенты
устойчивости при центральном сжатии
┌──────────────────┬──────────────────────────────────────────────────────┐
│Условная
гибкость │ Коэффициенты
фи для типа сечения │
│ ______ ├────────────────┬──────────────────┬──────────────────┤
│ лямбда │ a
│ b │ c │
├──────────────────┼────────────────┼──────────────────┼──────────────────┤
│ 0,4 │ 999
│ 998 │ 992 │
│ 0,6 │ 994
│ 986 │ 950 │
│ 0,8 │ 981
│ 967 │ 929 │
│ 1,0 │ 968
│ 948 │ 901 │
│ 1,2 │ 954
│ 927 │ 878 │
│ 1,4 │ 938
│ 905 │ 842 │
│ 1,6 │ 920
│ 881 │ 811 │
│ 1,8 │ 900
│ 855 │ 778 │
│ 2,0 │ 877
│ 826 │ 744 │
│ 2,2 │ 851
│ 794 │ 709 │
│ 2,4 │ 820
│ 760 │ 672 │
│ 2,6 │ 785
│ 722 │ 635 │
│ 2,8 │ 747
│ 683 │ 598 │
│ 3,0 │ 704
│ 643 │ 562 │
│ 3,2 │ 660
│ 602 │ 526 │
│ 3,4 │ 615
│ 562 │ 492 │
│ 3,6 │ 572
│ 524 │ 460 │
│ 3,8 │ 530
│ 487 │ 430 │
│ 4,0 │ 475
│ 453 │ 401 │
│ 4,2 │ 431
│ 421 │ 375 │
│ 4,4 │ 393
│ 392 │ 351 │
│ 4,6 │ 359
│ 359 │ 328 │
│ 4,8 │ 330
│ 330 │ 308 │
│ 5,0 │ 304
│ 304 │ 289 │
│ 5,2 │ 281
│ 281 │ 271 │
│ 5,4 │ 261 │ 255 │
│ 5,6 │ 242 │ 240 │
│ ├───────────────────────────────────┴──────────────────┤
│ 5,8 │ 226 │
│ 6,0 │ 211 │
│ 6,2 │ 198 │
│ 6,4 │ 186 │
│ 6,6 │ 174 │
│ 6,8 │ 164 │
│ 7,0 │ 155 │
│ 7,2 │ 147 │
│ 7,4 │ 139 │
│ 7,6 │ 132 │
│ 7,8 │ 125 │
│ 8,0 │ 119 │
│ 8,5 │ 105 │
│ 9,0 │ 094 │
│ 9,5 │ 084 │
│ 10,0 │ 076 │
│ 10,5 │ 069 │
│ 11,0 │ 063 │
│ 11,5 │ 057 │
│ 12,0 │ 053 │
│ 12,5 │ 049 │
│ 13,0
│ 045 │
│ 14,0 │ 039 │
├──────────────────┴──────────────────────────────────────────────────────┤
│ Примечание. Значения коэффициентов фи в таблице
увеличены в 1000 раз.│
└─────────────────────────────────────────────────────────────────────────┘
Таблица Д.2
Коэффициенты
влияния формы сечения ![]()
─────┬──────────────────────────────┬───────┬────────────────────────────────────────────────────────────────
Тип │Схема сечения и эксцентриситет│ A │ Значения эта при
сече-│ │ f ├──────────────────────────────────────┬─────────────────────────
ния │ │ -- │ ______ │ ______
│ │ A │ 0 <= лямбда <= 5 │ лямбда > 5
│ │ w ├─────────────────────────┬────────────┼─────────────┬───────────
│ │ │ 0,1 <= m <= 5 │5 < m <= 20 │0,1 <=
m <= 5│5 < m <= 20
─────┴──────────────────────────────┴───────┴─────────────────────────┴────────────┴─────────────┴───────────
![]()
1 - 1,0 1,0 1,0
─────────────────────────────────────────────────────────────────────────────────────────────────────────────
![]()
2 - 0,85 0,85 0,85
─────────────────────────────────────────────────────────────────────────────────────────────────────────────
![]()
3 -
0,85
─────────────────────────────────────────────────────────────────────────────────────────────────────────────
![]()
4 -
1,1 1,1
─────────────────────────────────────────────────────────────────────────────────────────────────────────────

───────────────────────────────────────────────────────────────────────
0,5
1,25 1,25
───────────────────────────────────────────────────────────────────────
>= 1,0
1,3
─────────────────────────────────────────────────────────────────────────────────────────────────────────────

─────────────────────────────────────────────────────────────────────────────────────────────────────────────

─────────────────────────────────────────────────────────────────────────────────────────────────────────────

───────────────────────────────────────────────────────────────────────
0,5
1,0 1,0
───────────────────────────────────────────────────────────────────────
>= 1
1,0 1,0
─────────────────────────────────────────────────────────────────────────────────────────────────────────────
![]()
9 0,5
1,0 1,0
───────────────────────────────────────────────────────────────────────
>= 1
1,0 1,0
─────────────────────────────────────────────────────────────────────────────────────────────────────────────

───────────────────────────────────────────────────────────────────────
1,0
1,6 1,35 + 0,05m 1,6
───────────────────────────────────────────────────────────────────────
2,0
1,8 1,3 + 0,1m 1,8
─────────────────────────────────────────────────────────────────────────────────────────────────────────────

11 0,5 1,45 + 0,04m 1,65 1,45 + 0,04m 1,65
───────────────────────────────────────────────────────────────────────
1,0 1,8 + 0,12m 2,4 1,8 + 0,12m 2,4
───────────────────────────────────────────────────────────────────────
1,5
- - -
───────────────────────────────────────────────────────────────────────
2,0
- - -
─────────────────────────────────────────────────────────────────────────────────────────────────────────────
Примечания. 1. Для типов сечений 5 - 7 при
подсчете значений ![]()
площадь
вертикальных элементов полок не следует учитывать.
2. Для
типов сечений 6 - 7 значения
следует
принимать равными
значениям
для типа 5 при тех же значениях
.
─────────────────────────────────────────────────────────────────────────────────────────────────────────────
Таблица Д.3
Коэффициенты
устойчивости
при внецентренном
сжатии
сплошностенчатых стержней в плоскости
действия момента,
совпадающей с плоскостью симметрии
┌─────────────────┬───────────────────────────────────────────────────────┐
│Условная
гибкость│ Значение фи при приведенном относительном │
│ ______
│ e │
│ лямбда
│
эксцентриситете m
│
│ │ ef │
│ ├──────────────┬────┬─────┬────┬────┬────┬────┬────┬────┤
│ │ 0,1
│0,25│0,5 │0,75│1,0
│1,25│1,5 │1,75│2,0 │
├─────────────────┼──────────────┼────┼─────┼────┼────┼────┼────┼────┼────┤
│ 0,5
│ 967 │922 │ 850 │782 │722
│669 │620 │577 │538 │
│ 1,0
│ 925 │854 │ 778 │711 │653
│600 │563 │520 │484 │
│ 1,5
│ 875 │804 │ 716 │647 │593
│548 │507 │470 │439 │
│ 2,0
│ 813 │742 │ 653 │587 │536
│496 │457 │425 │397 │
│ 2,5
│ 742 │672 │ 587 │526 │480
│442 │410 │383 │357 │
│ 3,0
│ 667 │597 │ 520 │465 │425
│395 │365 │342 │320 │
│ 3,5
│ 587 │522 │ 455 │408 │375
│350 │325 │303 │287 │
│ 4,0
│ 505 │447 │ 394 │356 │330
│309 │289 │270 │256 │
│ 4,5
│ 418 │382 │ 342 │310 │288
│272 │257 │242 │229 │
│ 5,0
│ 354 │326 │ 295 │273 │253
│239 │225 │215 │205 │
│ 5,5
│ 302 │280 │ 256 │240 │224
│212 │200 │192 │184 │
│ 6,0
│ 258 │244 │ 223 │210 │198
│190 │178 │172 │166 │
│ 6,5
│ 223 │213 │ 196 │185 │176
│170 │160 │155 │149 │
│ 7,0
│ 194
│186 │ 173 │163 │157 │152 │145 │141
│136 │
│ 8,0
│ 152 │146 │ 138 │133 │128
│121 │117 │115 │113 │
│ 9,0
│ 122 │117 │ 112 │107 │103
│100 │098 │096 │093 │
│ 10,0
│ 100 │097 │ 093 │091 │090
│085 │081 │080 │079 │
│ 11,0
│ 083 │079 │ 077 │076 │075
│073 │071 │069 │068 │
│ 12,0
│ 069 │067 │ 064 │063 │062
│060 │059 │059 │058 │
│ 13,0
│ 062 │061 │ 054 │053 │052
│051 │051 │050 │049 │
│ 14,0
│ 052 │049 │ 049 │048 │048
│047 │047 │046 │045 │
└─────────────────┴──────────────┴────┴─────┴────┴────┴────┴────┴────┴────┘
Продолжение таблицы
Д.3
┌─────────────────┬───────────────────────────────────────────────────────┐
│Условная
гибкость│ Значение фи при приведенном относительном │
│ ______
│ e │
│ лямбда
│
эксцентриситете m
│
│ │ ef │
│ ├──────────────┬────┬─────┬────┬────┬────┬────┬────┬────┤
│ │ 2,5
│3,0 │ 3,5 │4,0 │4,5 │5,0 │5,5 │6,0
│6,5 │
├─────────────────┼──────────────┼────┼─────┼────┼────┼────┼────┼────┼────┤
│ 0,5
│ 469 │417 │ 370 │337 │307
│280 │260 │237 │222 │
│ 1,0
│ 427 │382 │ 341 │307 │283
│259 │240 │225 │209 │
│ 1,5
│ 388 │347 │ 312 │283 │262
│240 │223 │207 │195 │
│ 2,0
│ 352 │315 │ 286 │260 │240
│222 │206 │193 │182 │
│ 2,5
│ 317 │287 │ 262 │238 │220
│204 │190 │178 │168 │
│ 3,0
│ 287 │260 │ 238 │217 │202
│187 │175 │166 │156 │
│ 3,5
│ 258 │233 │ 216 │198 │183
│172 │162 │153 │145 │
│ 4,0
│ 232 │212 │ 197 │181 │168
│158 │149 │140 │135 │
│ 4,5
│ 208 │192 │ 178 │165 │155
│146 │137 │130 │125 │
│ 5,0
│ 188 │175 │ 162 │150 │143
│135 │126 │120 │117 │
│ 5,5
│ 170 │158 │ 148 │138 │132
│124 │117 │112 │108 │
│ 6,0
│ 153 │145 │ 137 │128 │120
│115 │109 │104 │100 │
│ 6,5
│ 140 │132 │ 125 │117 │112
│106 │101 │097 │094 │
│ 7,0
│ 127
│121 │ 115 │108 │102 │098 │094 │091
│087 │
│ 8,0
│ 106 │100 │ 095 │091 │087
│083 │081 │078 │076 │
│ 9,0
│ 088 │085 │ 082 │079 │075
│072 │069 │066 │065 │
│ 10,0
│ 075 │072 │ 070 │069 │065
│062 │060 │059 │058 │
│ 11,0
│ 063 │062 │ 061 │060 │057
│055 │053 │052 │051 │
│ 12,0
│ 055 │054 │ 053 │052 │051
│050 │049 │048 │047 │
│ 13,0
│ 049 │048 │ 048 │047 │045
│044 │043 │042 │041 │
│ 14,0
│ 044 │043 │ 043 │042 │041
│040 │040 │039 │039 │
└─────────────────┴──────────────┴────┴─────┴────┴────┴────┴────┴────┴────┘
Окончание таблицы
Д.3
┌─────────────────┬───────────────────────────────────────────────────────┐
│Условная
гибкость│ Значение фи при приведенном относительном │
│ ______
│ e │
│ лямбда
│
эксцентриситете m
│
│ │ ef │
│ ├───────────────────┬────┬─────┬────┬────┬────┬────┬────┤
│ │ 7,0 │8,0 │ 9,0 │ 10 │
12 │ 14 │ 17 │ 20 │
├─────────────────┼───────────────────┼────┼─────┼────┼────┼────┼────┼────┤
│ 0,5
│ 210 │183 │ 164 │150 │125
│106 │090 │077 │
│ 1,0
│ 196 │175 │ 157 │142 │121
│103 │086 │074 │
│ 1,5
│ 182 │163 │ 148 │134 │114
│099 │082 │070 │
│ 2,0
│ 170 │153 │ 138 │125 │107
│094 │079 │067 │
│ 2,5
│ 158 │144 │ 130 │118 │101
│090 │076 │065 │
│ 3,0
│ 147 │135 │ 123 │112 │097
│086 │073 │063 │
│ 3,5
│ 137 │125
│ 115 │106 │092 │082 │069 │060 │
│ 4,0
│ 127 │118 │ 108 │098 │088
│078 │066 │057 │
│ 4,5
│ 118 │110 │ 101 │093 │083
│075 │064 │055 │
│ 5,0
│ 111 │103 │ 095 │088 │079
│072 │062 │053 │
│ 5,5
│ 104 │095 │ 089 │084 │075
│069 │060 │051 │
│ 6,0
│ 096 │089 │ 084 │079 │072
│066 │057 │049 │
│ 6,5
│ 089 │083 │ 080 │074 │068
│062 │054 │047 │
│ 7,0
│ 083 │078 │ 074 │070 │064
│059 │052 │045 │
│ 8,0
│ 074 │068 │ 065 │062 │057
│053 │047 │041 │
│ 9,0
│ 064 │061 │ 058 │055 │051
│048 │043 │038 │
│ 10,0
│ 057 │055 │ 052 │049 │046
│043 │039 │035 │
│ 11,0
│ 050 │048 │ 046 │044 │040
│038 │035 │032 │
│ 12,0
│ 046 │044 │ 042 │040 │037
│035 │032 │029 │
│ 13,0
│ 041 │039 │ 038 │037 │035
│033 │030 │027 │
│ 14,0
│ 038 │037 │ 036 │036 │034
│032 │029 │026 │
├─────────────────┴───────────────────┴────┴─────┴────┴────┴────┴────┴────┤
│ Примечания. 1. Значения коэффициентов
фи в таблице увеличены в 1000│
│ e │
│раз.
│
│ 2. Значения фи следует принимать не выше значений фи. │
│ e │
└─────────────────────────────────────────────────────────────────────────┘
Таблица Д.4
Коэффициенты
устойчивости
при внецентренном
сжатии сквозных
стержней в плоскости действия
момента,
совпадающей с плоскостью симметрии
┌───────────┬─────────────────────────────────────────────────────────────┐
│
Условная │ Значение фи при относительном эксцентриситете m │
│приведенная│ e │
│
гибкость │
│
│ ________ ├─────┬──────┬──────┬──────┬──────┬──────┬──────┬──────┬──────┤
│ лямбда
│ 0,1 │ 0,25 │ 0,5
│ 0,75 │ 1,0 │
1,25 │ 1,5 │ 1,75 │
2,0 │
│ ef │ │ │ │ │ │ │ │ │ │
├───────────┼─────┼──────┼──────┼──────┼──────┼──────┼──────┼──────┼──────┤
│ 0,5
│ 908 │ 800 │
666 │ 571 │ 500
│ 444 │ 400 │ 364
│ 333 │
│ 1,0
│ 872 │ 762 │
640 │ 553 │ 483
│ 431 │ 387 │ 351
│ 328 │
│ 1,5
│ 830 │ 727 │
600 │ 517 │ 454
│ 407 │ 367 │ 336
│ 311 │
│ 2,0
│ 774 │ 673 │
556 │ 479 │ 423
│ 381 │ 346 │ 318
│ 293 │
│ 2,5
│ 708 │ 608 │
507 │ 439 │ 391
│ 354 │ 322 │ 297
│ 274 │
│ 3,0
│ 637 │ 545 │
455 │ 399 │ 356
│ 324 │ 296 │ 275
│ 255 │
│ 3,5
│ 562 │ 480 │
402 │ 355 │ 320
│ 294 │ 270 │ 251
│ 235 │
│ 4,0
│ 484 │ 422 │
357 │ 317 │ 288
│ 264 │ 246 │ 228
│ 215 │
│ 4,5
│ 415 │ 365 │
315 │ 281 │ 258
│ 237 │ 223 │ 207
│ 196 │
│ 5,0
│ 350 │ 315 │
277 │ 250 │ 230
│ 212 │ 201 │ 186
│ 178 │
│ 5,5
│ 300 │ 273 │
245 │ 223 │ 203
│ 192 │ 182 │ 172
│ 163 │
│ 6,0
│ 255 │ 237 │
216 │ 198 │ 183
│ 174 │ 165 │ 156
│ 149 │
│ 6,5
│ 221 │ 208 │
190 │ 178 │ 165
│ 157 │ 149 │ 142
│ 137 │
│ 7,0
│ 192 │ 184 │
168 │ 160 │ 150
│ 141 │ 135 │ 130
│ 125 │
│ 8,0
│ 148 │ 142 │
136 │ 130 │ 123
│ 118 │ 113 │ 108
│ 105 │
│ 9,0
│ 117 │ 114 │
110 │ 107 │ 102
│ 098 │ 094 │ 090
│ 087 │
│ 10,0
│ 097 │ 094 │
091 │ 090 │ 087
│ 084 │ 080 │ 076
│ 073 │
│ 11,0
│ 082 │ 078 │
077 │ 076 │ 073
│ 071 │ 068 │ 066
│ 064 │
│ 12,0
│ 068 │ 066 │
064 │ 063 │ 061
│ 060 │ 058 │ 057
│ 056 │
│ 13,0
│ 060 │ 059 │
054 │ 053 │ 052
│ 051 │ 050 │ 049
│ 049 │
│ 14,0
│ 050 │ 049 │ 048 │ 047
│ 046 │ 046 │ 045
│ 044 │ 043 │
└───────────┴─────┴──────┴──────┴──────┴──────┴──────┴──────┴──────┴──────┘
Продолжение таблицы
Д.4
┌───────────┬─────────────────────────────────────────────────────────────┐
│
Условная │ Значение фи при относительном эксцентриситете m │
│приведенная│ e │
│
гибкость │
│
│ ________ ├─────┬──────┬──────┬──────┬──────┬──────┬──────┬──────┬──────┤
│ лямбда
│ 2,5 │ 3,0 │
3,5 │ 4,0 │ 4,5
│ 5,0 │ 5,5 │ 6,0
│ 6,5 │
│ ef │ │ │ │ │ │ │ │ │ │
├───────────┼─────┼──────┼──────┼──────┼──────┼──────┼──────┼──────┼──────┤
│ 0,5
│ 286 │ 250 │
222 │ 200 │ 182
│ 167 │ 154 │ 143
│ 133 │
│ 1,0
│ 280 │ 243 │
218 │ 197 │ 180
│ 165 │ 151 │ 142
│ 131 │
│ 1,5
│ 271 │ 240 │
211 │ 190 │ 178
│ 163 │ 149 │ 137
│ 128 │
│ 2,0
│ 255 │ 228 │
202 │ 183 │ 170
│ 156 │ 143 │ 132
│ 125 │
│ 2,5
│ 238 │ 215 │
192 │ 175 │ 162
│ 148 │ 136 │ 127
│ 120 │
│ 3,0
│ 222 │ 201 │
182 │ 165 │ 153
│ 138 │ 130 │ 121
│ 116 │
│ 3,5
│ 206 │ 187 │
170 │ 155 │ 143
│ 130 │ 123 │ 115
│ 110 │
│ 4,0
│ 191 │ 173 │
160 │ 145 │ 133
│ 124 │ 118 │ 110
│ 105 │
│ 4,5
│ 176 │ 160 │
149 │ 136 │ 124
│ 116 │ 110 │ 105
│ 096 │
│ 5,0
│ 161 │ 149 │
138 │ 127 │ 117
│ 108 │ 104 │ 100
│ 095 │
│ 5,5 │ 147 │ 137 │ 128
│ 118 │ 110 │ 102
│ 098 │ 095 │ 091
│
│ 6,0
│ 135 │ 126 │
119 │ 109 │ 103
│ 097 │ 093 │ 090
│ 085 │
│ 6,5
│ 124 │ 117 │
109 │ 102 │ 097
│ 092 │ 088 │ 085
│ 080 │
│ 7,0
│ 114 │ 108 │
101 │ 095 │ 091
│ 087 │ 083 │ 079
│ 076 │
│ 8,0
│ 097 │ 091 │
085 │ 082 │ 079
│ 077 │ 073 │ 070
│ 067 │
│ 9,0
│ 082 │ 079 │
075 │ 072 │ 069
│ 067 │ 064 │ 062
│ 059 │
│ 10,0
│ 070 │ 067 │
064 │ 062 │ 060
│ 058 │ 056 │ 054
│ 052 │
│ 11,0
│ 060 │ 058 │
056 │ 054 │ 053
│ 052 │ 050 │ 048
│ 046 │
│ 12,0
│ 054 │ 053 │
050 │ 049 │ 048
│ 047 │ 045 │ 043
│ 042 │
│ 13,0
│ 048 │ 047 │
046 │ 045 │ 044
│ 044 │ 042 │ 041
│ 040 │
│ 14,0
│ 043 │ 042 │
042 │ 041 │ 041
│ 040 │ 039 │ 039
│ 038 │
└───────────┴─────┴──────┴──────┴──────┴──────┴──────┴──────┴──────┴──────┘
Окончание таблицы
Д.4
┌───────────┬─────────────────────────────────────────────────────────────┐
│
Условная │ Значение фи при относительном эксцентриситете m │
│приведенная│ e │
│
гибкость │
│
│ ________ ├──────┬───────┬──────┬───────┬──────┬───────┬───────┬────────┤
│ лямбда
│ 7,0 │ 8,0 │
9,0 │ 10 │ 12 │ 14 │ 17 │ 20 │
│ ef │ │ │ │ │ │ │ │ │
├───────────┼──────┼───────┼──────┼───────┼──────┼───────┼───────┼────────┤
│ 0,5
│ 125 │ 111 │
100 │ 091 │
077 │ 067 │ 058 │ 048 │
│ 1,0
│ 121 │ 109 │
098 │ 090 │
077 │ 066 │ 055 │ 046 │
│ 1,5
│ 119 │ 108 │
096 │ 088 │
077 │ 065 │ 053 │ 045 │
│ 2,0
│ 117 │ 106 │
095 │ 086 │
076 │ 064 │ 052 │ 045 │
│ 2,5
│ 113 │ 103 │
093 │ 083 │
074 │ 062 │ 051 │ 044 │
│ 3,0
│ 110 │ 100 │
091 │ 081 │
071 │ 061 │ 051 │ 043 │
│ 3,5
│ 106 │ 096 │
088 │ 078 │
069 │ 059 │ 050 │ 042 │
│ 4,0
│ 100 │ 093 │
084 │ 076 │
067 │ 057 │ 049 │ 041 │
│ 4,5
│ 096 │ 089 │
079 │ 073 │
065 │ 055 │ 048 │ 040 │
│ 5,0
│ 092 │ 086 │
076 │ 071 │
062 │ 054 │ 047 │ 039 │
│ 5,5
│ 087 │ 081 │
074 │ 068 │
059 │ 052 │ 046 │ 039 │
│ 6,0
│ 083 │ 077 │
070 │ 065 │
056 │ 051 │ 045 │ 039 │
│ 6,5
│ 077 │ 072 │
066 │ 061 │
054 │ 050 │ 044 │ 037 │
│ 7,0
│ 074 │ 068 │
063 │ 058 │
051 │ 047 │ 043 │ 036 │
│ 8,0
│ 065 │ 060 │
055 │ 052 │
048 │ 044 │ 041 │ 035 │
│ 9,0
│ 056 │ 053 │
050 │ 048 │
045 │ 042 │ 039 │ 035 │
│ 10,0
│ 050 │ 047 │
045 │ 043 │
041 │ 038 │ 036 │ 033 │
│ 11,0
│ 044 │ 043 │
042 │ 041 │
038 │ 035 │ 032 │ 030 │
│ 12,0
│ 040 │ 039 │
038 │ 037 │
034 │ 032 │ 030 │ 028 │
│ 13,0
│ 038 │ 037 │
036 │ 035 │
032 │ 030 │ 028 │ 026 │
│ 14,0 │ 037
│ 036 │ 035
│ 034 │ 031
│ 029 │
027 │ 025 │
├───────────┴──────┴───────┴──────┴───────┴──────┴───────┴───────┴────────┤
│ Примечания. 1. Значения коэффициентов фи в таблице увеличены в 1000│
│ e │
│раз.
│
│ 2. Значения фи следует принимать не выше значений фи. │
│ e │
└─────────────────────────────────────────────────────────────────────────┘
Таблица Д.5
Приведенные
относительные эксцентриситеты ![]()
для
внецентренно-сжатых стержней
с шарнирно-опертыми
концами
──────────────┬──────┬───────────────────────────────────────────────────────
│______│
Эпюры
моментов│лямбда│
Значение m при m , равном
│ │ ef ef,1
│ ├────┬────┬────┬────┬────┬────┬────┬────┬────┬────┬─────
│ │0,1 │0,5 │1,0 │1,5
│2,0 │3,0 │4,0 │5,0 │7,0 │10,0│20,0
──────────────┴──────┴────┴────┴────┴────┴────┴────┴────┴────┴────┴────┴─────

│ 1 │0,10│0,30│0,68│1,12│1,60│2,62│3,55│4,55│6,50│9,40│19,40
│ 2 │0,10│0,17│0,39│0,68│1,03│1,80│2,75│3,72│5,65│8,60│18,50
│ 3 │0,10│0,10│0,22│0,36│0,55│1,17│1,95│2,77│4,60│7,40│17,20
│ 4 │0,10│0,10│0,10│0,18│0,30│0,57│1,03│1,78│3,35│5,90│15,40
│ 5 │0,10│0,10│0,10│0,10│0,15│0,23│0,48│0,95│2,18│4,40│13,40
│ 6 │0,10│0,10│0,10│0,10│0,10│0,15│0,18│0,40│1,25│3,00│11,40
│ 7 │0,10│0,10│0,10│0,10│0,10│0,10│0,10│0,10│0,50│1,70│
9,50
──────────────┴──────┴────┴────┴────┴────┴────┴────┴────┴────┴────┴────┴─────

│ 1 │0,10│0,31│0,68│1,12│1,60│2,62│3,55│4,55│6,50│9,40│19,40
│ 2 │0,10│0,22│0,46│0,73│1,05│1,88│2,75│3,72│5,65│8,60│18,50
│ 3 │0,10│0,17│0,38│0,58│0,80│1,33│2,00│2,77│4,60│7,40│17,20
│ 4 │0,10│0,14│0,32│0,49│0,66│1,05│1,52│2,22│3,50│5,90│15,40
│ 5 │0,10│0,10│0,26│0,41│0,57│0,95│1,38│1,80│2,95│4,70│13,40
│ 6 │0,10│0,16│0,28│0,40│0,52│0,95│1,25│1,60│2,50│4,00│11,50
│ 7 │0,10│0,22│0,32│0,42│0,55│0,95│1,10│1,35│2,20│3,50│10,80
──────────────┴──────┴────┴────┴────┴────┴────┴────┴────┴────┴────┴────┴─────
![]()
│ 1 │0,10│0,32│0,70│1,12│1,60│2,62│2,55│4,55│6,50│9,40│19,40
│ 2 │0,10│0,28│0,60│0,90│1,28│1,96│2,75│3,72│5,65│8,40│18,50
│ 3 │0,10│0,27│0,55│0,84│1,15│1,75│2,43│3,17│4,80│7,40│17,20
│ 4 │0,10│0,26│0,52│0,78│1,10│1,60│2,20│2,83│4,00│6,30│15,40
│ 5 │0,10│0,25│0,52│0,78│1,10│1,55│2,10│2,78│3,85│5,90│14,50
│ 6 │0,10│0,28│0,52│0,78│1,10│1,55│2,00│2,70│3,80│5,60│13,80
│ 7 │0,10│0,32│0,52│0,78│1,10│1,55│1,90│2,60│3,75│5,50│13,00
──────────────┴──────┴────┴────┴────┴────┴────┴────┴────┴────┴────┴────┴─────
![]()
│ 1 │0,10│0,40│0,80│1,23│1,68│2,62│3,55│4,55│6,50│9,10│19,40
│ 2 │0,10│0,40│0,78│1,20│1,60│2,30│3,15│4,10│5,85│8,60│18,50
│ 3 │0,10│0,40│0,77│1,17│1,55│2,30│3,10│3,90│5,55│8,13│18,00
│ 4 │0,10│0,40│0,75│1,13│1,55│2,30│3,05│3,80│5,30│7,60│17,50
│ 5 │0,10│0,40│0,75│1,10│1,55│2,30│3,00│3,80│5,30│7,60│17,00
│ 6 │0,10│0,40│0,75│1,10│1,50│2,30│3,00│3,80│5,30│7,60│16,50
│
7 │0,10│0,40│0,75│1,10│1,40│2,30│3,00│3,80│5,30│7,60│16,00
──────────────┴──────┴────┴────┴────┴────┴────┴────┴────┴────┴────┴────┴────
Обозначения, принятые в таблице Д.5:
;
.
─────────────────────────────────────────────────────────────────────────────
Коэффициент
для расчета на устойчивость
сжатых стержней
тонкостенного открытого сечения
1. Коэффициент
для типов сечений, приведенных на рисунках в таблице
Д.6, следует вычислять по формуле
где
- отношение расстояния
между центром тяжести и центром изгиба сечения
к высоте сечения h;
- эксцентриситет приложения сжимающей силы относительно оси x - x,
принимаемый со своим знаком (в таблице Д.6 показан со знаком "плюс").
Таблица Д.6
───────────────────────────────────────────────────────────────────────────
Тип
сечения
![]()
───────────────────────────────────────────────────────────────────────────

0,25 0 0
───────────────────────────────────────────────────────────────────────────

По формуле (Ж.12)
Приложения Ж
───────────────────────────────────────────────────────────────────────────

0
То же
───────────────────────────────────────────────────────────────────────────

0
───────────────────────────────────────────────────────────────────────────
Обозначения, принятые в таблице Д.6:
и
- моменты
инерции соответственно большего
и меньшего поясов
относительно
оси симметрии сечения y - y.
───────────────────────────────────────────────────────────────────────────
В формулах (Д.2)
обозначено
;
- здесь
- секториальный момент инерции сечения;
- момент инерции сечения при свободном кручении;
и
- соответственно ширина и толщина листов,
образующих сечение, включая стенку.
Формулы для
определения
,
,
и
или их значения приведены в таблице Д.6.
2. Коэффициент
при расчете на устойчивость стержня
швеллерного сечения (при обозначениях, принятых в таблице Д.6
,
- П-образного сечения) следует вычислять по формуле (Д.1), учитывая при этом,
что
при
,
где
- толщина стенки;
- толщина полок:
;
; (Д.3)
;
.
При расчете стержня
П-образного сечения на центральное сжатие в формуле (Д.1) следует принимать
и тогда B = 1.
3. Расчет на
устойчивость внецентренно-сжатых элементов двутаврового сечения с двумя осями
симметрии, непрерывно подкрепленных вдоль одной из полок (рисунок Д.1), следует
выполнять по формулам (6) и (7) настоящих норм, в которых коэффициент
следует вычислять по формуле

Рисунок Д.1. Схема
сечения элемента,
подкрепленного
вдоль полки
Коэффициент
следует определять по формуле (Ж.4) Приложения
Ж.
При определении
значение
следует принимать равным расстоянию между
сечениями элемента, закрепленными от поворота относительно продольной оси
(расстояние между узлами крепления связей, распорок и т.п.).
Эксцентриситет
в формуле (Д.4) считается положительным, если
точка приложения силы смещена в сторону свободной полки; для центрально-сжатых
элементов
.
При определении
за расчетный момент
следует принимать наибольший момент в пределах
расчетной длины
элемента.
(обязательное)
КОЭФФИЦИЕНТЫ ДЛЯ
РАСЧЕТА ЭЛЕМЕНТОВ КОНСТРУКЦИЙ
С УЧЕТОМ РАЗВИТИЯ
ПЛАСТИЧЕСКИХ ДЕФОРМАЦИЙ
Таблица Е.1
───────┬──────────────────────────┬────────┬───────────────────────────────
Тип │ Схема сечения │
A │ Наибольшие значения
сечения│ │
f │ коэффициентов
│ │ -- ├────────┬────────┬─────────────
│ │ A │ c │ c │n
при M = 0
│ │ w │ x │ y │ y
│ │ │ │ │ <*>
───────┴──────────────────────────┴────────┴────────┴────────┴─────────────

1 0,25 1,19
1,47 1,5
0,5 1,12
1,0 1,07
2,0 1,04
───────────────────────────────────────────────────────────────────────────

2 0,5 1,40
1,47 2,0
1,0 1,28
2,0 1,18
───────────────────────────────────────────────────────────────────────────

3 0,25 1,19
1,07 1,5
0,5 1,12
1,12
1,0 1,07
1,19
2,0 1,04
1,26
───────────────────────────────────────────────────────────────────────────

4 0,5 1,40
1,12 2,0
1,0 1,28
1,20
2,0 1,18
1,31
───────────────────────────────────────────────────────────────────────────

б) 3,0
───────────────────────────────────────────────────────────────────────────

6 0,25 1,47
1,04 3,0
0,5 1,07
1,0 1,12
2,0 1,19
───────────────────────────────────────────────────────────────────────────

7 - 1,26
1,26 1,5
───────────────────────────────────────────────────────────────────────────

8 - 1,60
1,47 а) 3,0
б) 1,0
───────────────────────────────────────────────────────────────────────────

9 0,5 1,60
1,07 а) 3,0
1,0 1,12 б) 1,0
2,0 1,19
───────────────────────────────────────────────────────────────────────────
<*>
При
следует принимать n = 1,5, за исключением сечения типа
5,
а, для которого n = 2, и типа 5, б, для которого n = 3.
Примечания. 1. При определении
коэффициентов для промежуточных значений
допускается линейная интерполяция.
2. Значение коэффициентов
,
принимают не более
, где
-
коэффициент
надежности по нагрузке, определяемый как
отношение расчетного
значения эквивалентной
(по значению изгибающего
момента) нагрузки к
нормативному.
───────────────────────────────────────────────────────────────────────────
Таблица Е.2
Коэффициенты
,
,
для расчета на изгиб
прямоугольных плит,
опертых по четырем и трем сторонам
┌───────────────┬─────────────────────────────────────────────────────────────────────────┐
│ Плиты
│
При b/a
│
│ ├──────┬─────┬─────┬─────┬─────┬─────┬──────┬─────┬─────┬─────┬─────┬─────┤
│ │ 1,0 │ 1,1 │ 1,2 │ 1,3 │
1,4 │ 1,5 │ 1,6 │ 1,7 │
1,8 │ 1,9 │ 2,0 │ > 2 │
├────────┬──────┼──────┼─────┼─────┼─────┼─────┼─────┼──────┼─────┼─────┼─────┼─────┼─────┤
│Опертые
│альфа │0,048 │0,055│0,063│0,069│0,075│0,081│0,086
│0,091│0,094│0,098│0,100│0,125│
│по │ 1│ │ │
│ │ │
│ │ │
│ │ │
│
│четырем
├──────┼──────┼─────┼─────┼─────┼─────┼─────┼──────┼─────┼─────┼─────┼─────┼─────┤
│сторонам│альфа
│0,048 │0,049│0,050│0,050│0,050│0,050│0,049
│0,048│0,048│0,047│0,046│0,037│
│ │ 2│ │ │
│ │ │
│ │ │
│ │ │
│
├────────┼──────┼──────┴─────┴─────┴─────┴─────┴─────┴──────┴─────┴─────┴─────┼─────┴─────┤
│Опертые
│альфа │
При a /d
│ │
│по
трем │ 3│ 1 1 │ │
│сторонам│ ├──────┬─────┬─────┬─────┬─────┬─────┬──────┬─────┬─────┬─────┤ │
│ │ │ 0,5 │ 0,6 │ 0,7 │ 0,8 │
0,9 │ 1,0 │ 1,2 │ 1,4 │
2,0 │ > 2 │ │
│ │ ├──────┼─────┼─────┼─────┼─────┼─────┼──────┼─────┼─────┼─────┤ │
│ │ │0,060 │0,074│0,088│0,097│0,107│0,112│0,120
│0,126│0,132│0,133│ │
├────────┴──────┴──────┴─────┴─────┴─────┴─────┴─────┴──────┴─────┴─────┴─────┴───────────┤
│ Обозначения, принятые в таблице Е.2:
│
│ b -
длинная сторона; a
- короткая сторона; d
- длина свободной │
│
1
│
│стороны;
a - длина стороны, перпендикулярной к
свободной. │
│ 1
│
└─────────────────────────────────────────────────────────────────────────────────────────┘
(обязательное)
КОЭФФИЦИЕНТ
УСТОЙЧИВОСТИ ПРИ ИЗГИБЕ ![]()
Ж.1. Коэффициент
для расчета на устойчивость изгибаемых
элементов двутаврового, таврового и швеллерного сечений следует определять в
зависимости от расстановки связей, раскрепляющих сжатый пояс, вида нагрузки и
места ее приложения. При этом предполагается, что нагрузка действует в
плоскости наибольшей жесткости
,
а опорные сечения закреплены от боковых смещений и поворота.
Ж.2. Для балки и
консоли двутаврового сечения с двумя осями симметрии коэффициент
следует принимать равным:
при ![]()
; (Ж.1)
при ![]()
, (Ж.2)
где значение
следует вычислять по формуле
В формуле (Ж.3)
обозначено:
- коэффициент, вычисляемый согласно требованиям Ж.3 настоящего
приложения;
h - полная высота
сечения прокатного двутавра или расстояние между осями поясов (пакетов поясных
листов) составного двутавра;
- расчетная длина балки или консоли, определяемая согласно требованиям
8.4.2 настоящих норм.
Ж.3.
Значение коэффициента
в формуле (Ж.3) следует вычислять по формулам таблиц
Ж.1 и Ж.2 в зависимости от количества закреплений сжатого пояса, вида нагрузки
и места ее приложения, а также от коэффициента
,
равного:
а) для прокатных
двутавров
где
- момент инерции при свободном кручении,
определяемый согласно Приложению Д;
h - полная высота
сечения;
б) для составных
двутавров из листов со сварными или фрикционными поясными соединениями
, (Ж.5)
где обозначено:
для сварных
двутавров из трех листов:
и
- толщина и ширина пояса балки;
h - расстояние
между осями поясов;
a = 0,5h;
t - толщина стенки
;
для составных
двутавров с фрикционными поясными соединениями:
- суммарная толщина листов пояса и полки поясного уголка;
- ширина листов пояса;
h - расстояние
между осями пакетов поясных листов;
a - ширина
вертикальной полки поясного уголка за вычетом толщины его полки;
t - суммарная
толщина стенки и вертикальных полок поясных уголков.
Таблица Ж.1
Коэффициент
для балок двутаврового
сечения с двумя
осями симметрии
────────────────────────────────────────────────────────────────────────────────────────────
Количество
Вид нагрузки Эпюра
Пояс, Коэффициент
при значениях ![]()
закреплений в пролете на участке
к которому ──────────────────────────────────
сжатого приложена
![]()
пояса
нагрузка
в пролете
────────────────────────────────────────────────────────────────────────────────────────────

Без
Сосредоточенная
Сжатый
![]()
закреплений
Растянутый
![]()
───────────────────────────────────────────────────────────────────────────────

Равномерно
Сжатый
![]()
распределенная Растянутый
![]()
────────────────────────────────────────────────────────────────────────────────────────────

Два
и более, Любая
Любой
![]()
делящие
пролет
l на
равные
части
────────────────────────────────────────────────────────────────────────────────────────────

Одно в
Сосредоточенная
Любой ![]()
середине
в середине
───────────────────────────────────────────────────────────────────────────────

Сосредоточенная Сжатый ![]()
в четверти
Растянутый ![]()
────────────────────────────────────────────

Равномерно
Сжатый ![]()
распределенная
Растянутый ![]()
────────────────────────────────────────────────────────────────────────────────────────────
Примечание. Значение
следует принимать равным
при
двух и более
закреплениях
сжатого пояса в пролете.
────────────────────────────────────────────────────────────────────────────────────────────
Таблица Ж.2
Коэффициент
для жестко заделанных консолей
двутаврового
сечения с двумя осями симметрии
┌────────────────┬──────────┬─────────────────────────────────────────────┐
│ Вид нагрузки
│ Пояс, │ Коэффициент пси при отсутствии
закреплений │
│ │к которому│ сжатого пояса и при значениях альфа │
│ │приложена ├──────────────────────┬──────────────────────┤
│ │ нагрузка │ 4 <= альфа <= 28 │
28 < альфа <= 100 │
├────────────────┼──────────┼──────────────────────┼──────────────────────┤
│Сосредоточенная
│Растянутый│ 1,0 + 0,16
альфа │ 4,0 + 0,05 альфа │
│на
конце консоли│ Сжатый │
6,2 + 0,08 альфа │ 7,0 + 0,05 альфа │
├────────────────┼──────────┼──────────────────────┴──────────────────────┤
│ │ │ _____ │
│Равномерно │Растянутый│ 1,42\/альфа │
│распределенная │ │ │
└────────────────┴──────────┴─────────────────────────────────────────────┘
Если на участке
балки
эпюра
по своему очертанию отличается от приведенных
в таблице Ж.1, то допускается значение
определять по формулам для наиболее близкой по
очертанию эпюры
,
в которую может быть вписана фактическая эпюра.
В случаях, когда у
консоли балки сжатый пояс закреплен от бокового перемещения в конце или по ее
длине, значение
допускается принимать равным:
при сосредоточенной
нагрузке, приложенной к растянутому поясу на конце консоли,
,
где значение
следует принимать согласно примечанию к
таблице Ж.1;
в остальных случаях
- как для консоли без закреплений.
Ж.4. Для разрезной
балки двутаврового сечения с одной осью симметрии (рисунок Ж.1) коэффициент
следует определять по таблице Ж.3, где
значения
,
и n следует вычислять по формулам:
; (Ж.7)

Рисунок Ж.1. Схема
двутаврового
сечения с одной
осью симметрии
Таблица Ж.3
───────────────────────────────────────────────────────────────────────────
Сжатый пояс Коэффициент
при значении ![]()
────────────────────────────────────────────────────────
до 0,85 свыше 0,85
───────────────────────────────────────────────────────────────────────────
Более
развитый

───────────────────────────────────────────────────────────────────────────
Менее
развитый
![]()
───────────────────────────────────────────────────────────────────────────
В формулах (Ж.6) - (Ж.8)
обозначено:
- коэффициент, вычисляемый по формуле
h - расстояние
между осями поясов;
и
- расстояние от центра тяжести сечения до оси
соответственно более развитого и менее развитого поясов;
- расчетная длина балки, определяемая согласно требованиям 8.4.2
настоящих норм;
и
- моменты инерции сечения более развитого и
менее развитого поясов относительно оси симметрии сечения балки соответственно.
Ж.5. Значения B, C
и D в формуле (Ж.9) следует определять по таблицам Ж.4 и Ж.5 в зависимости от коэффициентов:
; (Ж.10)
; (Ж.11)
, (Ж.13)
где значения n,
,
h,
,
следует принимать согласно настоящему
приложению, а
- согласно Приложению Д.
Таблица Ж.4
───────────────────────────────────────────────────────────────────────────
Схема сечения и место Коэффициент B при нагрузке
приложения нагрузки ────────────────────────────────────────────────
сосредоточенной
равномерно вызывающей
в середине пролета распределенной чистый изгиб
───────────────────────────────────────────────────────────────────────────
![]()
───────────────────────────────────────────────────────────────────────────
![]()
───────────────────────────────────────────────────────────────────────────
![]()
───────────────────────────────────────────────────────────────────────────
![]()
───────────────────────────────────────────────────────────────────────────
Таблица Ж.5
┌────────────────────────────────┬──────────────────────────┬─────────────┐
│ Вид нагрузки │Коэффициент C при сечении │Коэффициент
D│
│ ├─────────────┬────────────┤ │
│ │
двутавровом │ тавровом │ │
│ │ (n
<= 0,9) │ (n = 1,0) │ │
├────────────────────────────────┼─────────────┼────────────┼─────────────┤
│Сосредоточенная
в середине │ 0,330 эта
│0,0826 альфа│
3,265 │
│пролета │ │ │ │
│Равномерно
распределенная │ 0,481 эта
│0,1202 альфа│
2,247 │
│Вызывающая
чистый изгиб │ 0,101 эта
│0,0253 альфа│
4,315 │
└────────────────────────────────┴─────────────┴────────────┴─────────────┘
Коэффициент
в таблице Ж.5 следует определять по формуле
(Ж.4).
Ж.6. Для
двутаврового сечения при 0,9 < n < 1,0 коэффициент
следует определять линейной интерполяцией
между значениями, полученными по формуле (Ж.9) для двутаврового сечения при n =
0,9 и для таврового при n = 1.
Для таврового
сечения при сосредоточенной или равномерно распределенной нагрузке и
коэффициенты
следует умножать на
.
В балках с менее
развитым сжатым поясом при n > 0,7 и
значение коэффициента
необходимо уменьшить умножением на
и следует принимать при этом не более 0,95.
Значения
в таких балках не допускаются.
Ж.7. Для балки
швеллерного сечения коэффициент
допускается принимать равным
,
где
следует определять как для балок
двоякосимметричного двутаврового сечения, используя формулы (Ж.3) и (Ж.4), где
значения
,
,
следует принимать для швеллера.
(рекомендуемое)
РАСЧЕТНЫЕ
ДЛИНЫ КОЛОНН И СТОЕК
Таблица И.1
Коэффициенты
расчетной длины
колонны
(стойки) с упругим
закреплением концов
───────────────────────────────────────────────────────────────────────────
Схема колонны
(стойки) ![]()
───────────────────────────────────────────────────────────────────────────

![]()
───────────────────────────────────────────────────────────────────────────

![]()
───────────────────────────────────────────────────────────────────────────

При
и ![]()
; (И.3)
;
при
и ![]()
![]()
───────────────────────────────────────────────────────────────────────────
Обозначения, принятые в таблице И.1:
;
;
-
отношение коэффициентов жесткости
упругого закрепления
опорных
сечений стойки,
где
- коэффициент жесткости упругого закрепления, Н x см,
равный
значению
реактивного момента, возникающего
в опорном сечении
при его
повороте
на угол
;
-
коэффициент жесткости упругой
опоры, Н/см, равный
значению
реактивной
силы, возникающей в опорном сечении при его смещении на
.
Примечание. Значения
и
для некоторых рамных систем приведены в
таблице
И.2.
───────────────────────────────────────────────────────────────────────────
Таблица И.2
для колонн (стоек)
рамных систем
───────────────────────────────────────────────────────────────────────────
Схема рамы Номер формулы Значения
для схемы
по
и ![]()
таблице
И.1
───────────────────────────────────────────────────────────────────────────

(И.1)
при
;
![]()
───────────────────────────────────────────────────────────────────────────

(И.2)
при ![]()
![]()
───────────────────────────────────────────────────────────────────────────

(И.2)
при ![]()
![]()
───────────────────────────────────────────────────────────────────────────

(И.2)
при
;
![]()
───────────────────────────────────────────────────────────────────────────

(И.2)
при ![]()
![]()
───────────────────────────────────────────────────────────────────────────

(И.2)
при ![]()
![]()
───────────────────────────────────────────────────────────────────────────
Коэффициенты
расчетной длины
участков ступенчатых колонн
И.1. Коэффициент
расчетной длины
для защемленного в основании нижнего участка
одноступенчатой колонны следует принимать:
при верхнем конце
колонн, свободном от закреплений, - по таблице И.3;
при закреплении
верхнего конца от поворота, но при возможности его свободного смещения - по таблице
И.4;
при закреплении
верхнего конца от смещения по формуле
, (И.4)
где
и
- коэффициенты расчетной длины нижнего участка
колонны при нагрузках
и
соответственно, определяемые при шарнирном
опирании верхнего конца по таблице И.5, а при закреплении от поворота - по таблице
И.6.
Таблица И.3
Коэффициенты
расчетной длины
для одноступенчатых
колонн с верхним
концом, свободным от закреплений
─────────┬──────┬──────────────────────────────────────────────────────────────────────────────────────────────────
Расчетная│альфа
│
Коэффициент мю , при значении n
схема │ 1│ 1
│ ├───┬────┬────┬────┬────┬────┬────┬────┬────┬────┬────┬────┬────┬────┬────┬────┬────┬────┬────┬────
│ │ 0 │0,1 │0,2 │0,3
│0,4 │0,5 │0,6 │0,7 │0,8 │0,9 │1,0 │1,2
│1,4 │1,6 │1,8 │2,0 │2,5 │5,0 │10,0│20,0
─────────┴──────┴───┴────┴────┴────┴────┴────┴────┴────┴────┴────┴────┴────┴────┴────┴────┴────┴────┴────┴────┴────

│ 0 │2,0│2,0
│2,0 │2,0 │2,0 │2,0 │2,0 │2,0 │2,0 │2,0
│2,0 │2,0 │2,0 │2,0 │2,0 │2,0 │2,0 │2,0
│2,0 │2,0
│ 0,2 │2,0│2,01│2,02│2,03│2,04│2,05│2,06│2,06│2,07│2,08│2,09│2,10│2,12│2,14│2,15│2,17│2,21│2,40│2,76│3,38
│ 0,4 │2,0│2,04│2,08│2,11│2,23│2,18│2,21│2,25│2,28│2,32│2,35│2,42│2,48│2,54│2,60│2,66│2,80│
- │ - │ -
│ 0,6 │2,0│2,11│2,20│2,28│2,36│2,44│2,52│2,59│2,66│2,73│2,80│2,93│3,05│3,17│3,28│3,39│
- │ - │ -
│ -
│ 0,8 │2,0│2,25│2,42│2,56│2,70│2,83│2,96│3,07│3,17│3,27│3,36│3,55│3,74│
- │ - │ -
│ - │ - │ -
│ -
│ 1,0 │2,0│2,50│2,73│2,94│3,13│3,29│3,44│3,59│3,74│3,87│4,0
│ - │ - │ -
│ - │ - │ -
│ - │ - │ -
│ 1,5 │3,0│3,43│3,77│4,07│4,35│4,61│4,86│5,05│
- │ - │ -
│ - │ - │ -
│ - │ - │ -
│ - │ - │ -
│ 2,0 │4,0│4,44│4,90│5,29│5,67│6,03│
- │ - │ -
│ - │ - │ -
│ - │ - │ -
│ - │ - │ -
│ - │ -
│ 2,5 │5,0│5,55│6,08│6,56│7,00│
- │ - │ -
│ - │ - │ -
│ - │ - │ -
│ - │ - │ -
│ - │ - │ -
│ 3,0 │6,0│6,65│7,25│7,82│
- │ - │ -
│ - │ - │ -
│ - │ - │ -
│ - │ - │ -
│ - │ - │ -
│ -
─────────┴──────┴───┴────┴────┴────┴────┴────┴────┴────┴────┴────┴────┴────┴────┴────┴────┴────┴────┴────┴────┴────
Таблица И.4
Коэффициенты
расчетной длины
для одноступенчатых
колонн с верхним
концом, закрепленным только от поворота
─────────┬──────┬──────────────────────────────────────────────────────────────────────────────────────────────────
Расчетная│альфа
│
Коэффициент мю , при значении n
схема │ 1│ 1
│ ├───┬────┬────┬────┬────┬────┬────┬────┬────┬────┬────┬────┬────┬────┬────┬────┬────┬────┬────┬────
│ │ 0 │0,1 │0,2 │0,3
│0,4 │0,5 │0,6 │0,7 │0,8 │0,9 │1,0 │1,2
│1,4 │1,6 │1,8 │2,0 │2,5 │5,0 │10,0│20,0
─────────┴──────┴───┴────┴────┴────┴────┴────┴────┴────┴────┴────┴────┴────┴────┴────┴────┴────┴────┴────┴────┴────

│ 0 │2,0│1,92│1,86│1,80│1,76│1,70│1,67│1,64│1,60│1,57│1,55│1,50│1,46│1,43│1,40│1,37│1,32│1,18│1,10│1,05
│ 0,2 │2,0│1,93│1,87│1,82│1,76│1,71│1,68│1,64│1,62│1,59│1,56│1,52│1,48│1,45│1,41│1,39│1,33│1,20│1,11│
-
│ 0,4 │2,0│1,94│1,88│1,83│1,77│1,75│1,72│1,69│1,66│1,62│1,61│1,57│1,53│1,50│1,48│1,45│1,40│
- │ - │ -
│ 0,6 │2,0│1,95│1,91│1,86│1,83│1,79│1,77│1,76│1,72│1,71│1,69│1,66│1,63│1,61│1,59│
- │ - │ -
│ - │ -
│ 0,8 │2,0│1,97│1,94│1,92│1,90│1,88│1,87│1,86│1,85│1,83│1,82│1,80│1,79│
- │ - │ -
│ - │ - │ -
│ -
│ 1,0 │2,0│2,00│2,00│2,00│2,00│2,00│2,00│2,00│2,00│2,00│2,00│
- │ - │ -
│ - │ - │ -
│ - │ - │ -
│ 1,5 │2,0│2,12│2,25│2,33│2,38│2,43│2,48│2,52│
- │ - │ -
│ - │ - │ -
│ - │ - │ -
│ - │ - │ -
│ 2,0 │2,0│2,45│2,66│2,81│2,91│3,00│
- │ - │ -
│ - │ - │ -
│ - │ - │ -
│ - │ - │ -
│ - │ -
│ 2,5 │2,5│2,94│3,17│3,34│3,50│
- │ - │ -
│ - │ - │ -
│ - │ - │ -
│ - │ - │ -
│ - │ - │ -
│ 3,0 │3,0│3,43│3,70│3,93│4,12│
- │ - │ -
│ - │ - │ -
│ - │ - │ -
│ - │ - │ -
│ - │ - │ -
─────────┴──────┴───┴────┴────┴────┴────┴────┴────┴────┴────┴────┴────┴────┴────┴────┴────┴────┴────┴────┴────┴────
Таблица И.5
Коэффициенты
расчетной длины
и
для одноступенчатых
колонн с
неподвижным шарнирно-опертым верхним концом
─────────┬────┬──────────────────────────────────────────────────────────────────────────
Расчетная│
I │ Коэффициенты мю и мю
при l /l
схема │ 2 │ 12 11
2 1
│ -- ├────┬────┬────┬────┬────┬────┬────┬────┬────┬────┬────┬────┬────┬────┬────
│ I │0,1 │0,2 │0,3 │0,4 │0,5
│0,6 │0,7 │0,8 │0,9 │1,0 │1,2 │1,4 │1,6
│1,8 │2,0
│ 1 │
│ │ │
│ │ │
│ │ │
│ │ │
│ │
─────────┴────┴────┴────┴────┴────┴────┴────┴────┴────┴────┴────┴────┴────┴────┴────┴────

│ Коэффициент мю
│
12
├────┬────┬────┬────┬────┬────┬────┬────┬────┬────┬────┬────┬────┬────┬────┬────
│0,04│1,02│1,84│2,25│2,59│2,85│3,08│3,24│3,42│3,70│4,00│4,55│5,25│5,80│6,55│7,20
│0,06│0,91│1,47│1,93│2,26│2,57│2,74│3,05│3,05│3,24│3,45│3,88│4,43│4,90│5,43│5,94
│0,08│0,86│1,31│1,73│2,05│2,31│2,49│2,68│2,85│3,00│3,14│3,53│3,93│4,37│4,85│5,28
│0,1 │0,83│1,21│1,57│1,95│2,14│2,33│2,46│2,60│2,76│2,91│3,28│3,61│4,03│4,43│4,85
│0,2 │0,79│0,98│1,23│1,46│1,67│1,85│2,02│2,15│2,28│2,40│2,67│2,88│3,11│3,42│3,71
│0,3 │0,78│0,90│1,09│1,27│1,44│1,60│1,74│1,86│1,98│2,11│2,35│2,51│2,76│2,99│3,25
│0,4 │0,78│0,88│1,02│1,17│1,32│1,45│1,58│1,69│1,81│1,92│2,14│2,31│2,51│2,68│2,88
│0,5 │0,78│0,86│0,99│1,10│1,22│1,35│1,47│1,57│1,67│1,76│1,96│2,15│2,34│2,50│2,76
│1,0 │0,78│0,85│0,92│0,99│1,06│1,13│1,20│1,27│1,34│1,41│1,54│1,68│1,82│1,97│2,10
─────────┴────┴────┴────┴────┴────┴────┴────┴────┴────┴────┴────┴────┴────┴────┴────┴────

│ Коэффициент мю
│ 11
├────┬────┬────┬────┬────┬────┬────┬────┬────┬────┬────┬────┬────┬────┬────┬────
│0,04│0,67│0,67│0,83│1,25│1,43│1,55│1,65│1,70│1,75│1,78│1,84│1,87│1,88│1,90│1,92
│0,06│0,67│0,67│0,81│1,07│1,27│1,41│1,51│1,60│1,64│1,70│1,78│1,82│1,84│1,87│1,88
│0,08│0,67│0,67│0,75│0,98│1,19│1,32│1,43│1,51│1,58│1,63│1,72│1,77│1,81│1,82│1,84
│0,1 │0,67│0,67│0,73│0,93│1,11│1,25│1,36│1,45│1,52│1,57│1,66│1,72│1,77│1,80│1,82
│0,2 │0,67│0,67│0,69│0,75│0,89│1,02│1,12│1,21│1,29│1,36│1,46│1,54│1,60│1,65│1,69
│0,3 │0,67│0,67│0,67│0,71│0,80│0,90│0,99│1,08│1,15│1,22│1,33│1,41│1,48│1,54│1,59
│0,4 │0,67│0,67│0,67│0,69│0,75│0,84│0,92│1,00│1,07│1,13│1,24│1,33│1,40│1,47│1,51
│0,5 │0,67│0,67│0,67│0,69│0,73│0,81│0,87│0,94│1,01│1,07│1,17│1,26│1,33│1,39│1,44
│1,0 │0,67│0,67│0,67│0,68│0,71│0,74│0,78│0,82│0,87│0,91│0,99│1,07│1,13│1,19│1,24
─────────┴────┴────┴────┴────┴────┴────┴────┴────┴────┴────┴────┴────┴────┴────┴────┴────
Таблица И.6
Коэффициенты
расчетной длины
и ![]()
для одноступенчатых
колонн с неподвижным
верхним концом,
закрепленным от поворота
─────────┬────┬──────────────────────────────────────────────────────────────────────────
Расчетная│
I │ Коэффициенты мю и мю
при l /l
схема │ 2 │ 12 11
2 1
│ -- ├────┬────┬────┬────┬────┬────┬────┬────┬────┬────┬────┬────┬────┬────┬────
│ I │0,1 │0,2 │0,3 │0,4 │0,5
│0,6 │0,7 │0,8 │0,9 │1,0 │1,2 │1,4 │1,6
│1,8 │2,0
│ 1 │
│ │ │
│ │ │
│ │ │
│ │ │
│ │
─────────┴────┴────┴────┴────┴────┴────┴────┴────┴────┴────┴────┴────┴────┴────┴────┴────
![]()
│ Коэффициент мю
│
12
├────┬────┬────┬────┬────┬────┬────┬────┬────┬────┬────┬────┬────┬────┬────┬────
│0,04│0,78│1,02│1,53│1,73│2,01│2,21│2,38│2,54│2,65│2,85│3,24│3,70│4,20│4,76│5,23
│0,06│0,70│0,86│1,23│1,47│1,73│1,93│2,08│2,23│2,38│2,49│2,81│3,17│3,50│3,92│4,30
│0,08│0,68│0,79│1,05│1,31│1,54│1,74│1,91│2,05│2,20│2,31│2,55│2,80│3,11│3,45│3,73
│0,1 │0,67│0,76│1,00│1,20│1,42│1,61│1,78│1,92│2,04│2,20│2,40│2,60│2,86│3,18│3,41
│0,2 │0,64│0,70│0,79│0,93│1,07│1,23│1,41│1,50│1,60│1,72│1,92│2,11│2,28│2,45│2,64
│0,3 │0,62│0,68│0,74│0,85│0,95│1,06│1,18│1,28│2,39│1,48│1,67│1,82│1,96│2,12│2,20
│0,4 │0,60│0,66│0,71│0,78│0,87│0,99│1,07│1,16│1,26│1,34│1,50│1,65│1,79│1,94│2,08
│0,5 │0,59│0,65│0,70│0,77│0,82│0,93│0,99│1,08│1,17│1,23│1,39│1,53│1,66│1,79│1,92
│1,0 │0,55│0,60│0,65│0,70│0,75│0,80│0,85│0,90│0,95│1,00│1,10│1,20│1,30│1,40│1,50
─────────┴────┴────┴────┴────┴────┴────┴────┴────┴────┴────┴────┴────┴────┴────┴────┴────

│ Коэффициент мю
│
11
├────┬────┬────┬────┬────┬────┬────┬────┬────┬────┬────┬────┬────┬────┬────┬────
│0,04│0,66│0,68│0,75│0,94│1,08│1,24│1,37│1,47│1,55│1,64│1,72│1,78│1,81│1,85│1,89
│0,06│0,65│0,67│0,68│0,76│0,94│1,10│1,25│1,35│1,44│1,50│1,61│1,69│1,74│1,79│1,82
│0,08│0,64│0,66│0,67│0,68│0,84│1,00│1,12│1,25│1,34│1,41│1,53│1,62│1,68│1,75│1,79
│0,1 │0,64│0,65│0,65│0,65│0,78│0,92│1,05│1,15│1,25│1,33│1,45│1,55│1,62│1,68│1,71
│0,2
│0,62│0,64│0,65│0,65│0,66│0,73│0,83│0,92│1,01│1,09│1,23│1,33│1,41│1,48│1,54
│0,3 │0,60│0,63│0,64│0,65│0,66│0,67│0,73│0,81│0,89│0,94│1,09│1,20│1,28│1,35│1,41
│0,4 │0,58│0,63│0,63│0,64│0,64│0,66│0,68│0,75│0,82│0,88│1,01│1,10│1,19│1,26│1,32
│0,5 │0,57│0,61│0,63│0,64│0,64│0,65│0,68│0,72│0,77│0,83│0,94│1,04│1,12│1,19│1,25
│1,0 │0,55│0,58│0,60│0,61│0,62│0,63│0,65│0,67│0,70│0,73│0,80│0,88│0,93│1,01│1,05
─────────┴────┴────┴────┴────┴────┴────┴────┴────┴────┴────┴────┴────┴────┴────┴────┴────
В таблицах И.3 - И.6
обозначено
и
,
где
,
,
,
- моменты инерции сечений и длины нижнего и
верхнего участков колонны соответственно;
.
И.2. Коэффициент
расчетной длины
для верхнего участка одноступенчатой колонны
во всех случаях следует определять по формуле
. (И.5)
И.3. Коэффициент
расчетной длины
для защемленного в основании нижнего участка
двухступенчатой колонны (рисунок И.1, а) при условиях закрепления верхнего
конца, указанных в таблице И.7, следует определять по формуле
, (И.6)
где
;
;
;
,
,
- коэффициенты, определяемые по таблице И.7
как для одноступенчатых колонн по рисунку И.1, б, в, г;
- приведенное значение момента инерции сечения участка длиной
.




Рисунок И.1. Схема
двухступенчатой колонны (а) и условные
схемы загружений
при приложении сил
,
и
соответственно
к нижнему (б),
среднему (в), верхнему (г) участкам
Таблица И.7
───────────────────────────────────────────────────────────────────────────
Условия закрепления Значения коэффициентов
верхнего конца ─────────────────────────────────────────────────────
колонны
![]()
─────────────────────────────────────────────────────
при условной схеме
загружения по рисунку
───────────────┬───────────────┬─────────────────────
И.1, б │
И.1, в │ И.1, г
─────────────────────────────────────┴───────────────┴─────────────────────
Свободен
от 2,0
2,0 ![]()
закреплений (
- по таблице И.3
при
)
───────────────────────────────────────────────────────────────────────────
Закреплен
от
![]()
поворота,
допускает
(
- по таблице И.4
смещение (
- по таблице И.4 при
) при
)
───────────────────────────────────────────────────────────────────────────
Закреплен
шарнирно,
![]()
не
допускает смещения (
- по таблице И.5) (
- по таблице И.5)
───────────────────────────────────────────────────────────────────────────
Закреплен
от поворота
![]()
и
смещения (
- по таблице И.6) (
- по таблице И.6)
───────────────────────────────────────────────────────────────────────────
Здесь
,
,
- продольные силы, приложенные к верху
нижнего, среднего и верхнего участков колонн с моментами инерции
,
,
и длинами
,
,
соответственно.
Приведенное
значение момента инерции сечения участка длиной
на рисунке И.1, б следует определять по
формуле
.
И.4. Коэффициенты
расчетной длины:
для среднего участка двухступенчатой колонны
длиной
и
для верхнего участка колонны длиной
следует определять по формулам:
; (И.7)
, (И.8)
где
;
.
(рекомендуемое)
К РАСЧЕТУ ЭЛЕМЕНТОВ
НА УСТАЛОСТЬ
Таблица К.1
Группы
элементов и соединений при расчете на усталость
────┬─────────────────────────┬──────────────────────────────────┬─────────
N │ Схема элемента │ Характеристика элемента │ Группа
п.п.│ и расположение │ │элементов
│
расчетного сечения │ │
────┴─────────────────────────┴──────────────────────────────────┴─────────
![]()
1 Основной металл с
прокатными или 1
обработанными
механическим путем
кромками
То же, с
кромками, обрезанными 2
машинной газовой
резкой
───────────────────────────────────────────────────────────────────────────

2 Основной металл с
обработанными
механическим
путем кромками, при
разной ширине и радиусе перехода
r, мм:
200 1
10 4
───────────────────────────────────────────────────────────────────────────

3 Основной металл во
фрикционных 1
соединениях
───────────────────────────────────────────────────────────────────────────

4 Основной металл в
болтовом (болты
класса точности
A) соединении в
сечениях по
отверстию:
а) при парных
накладках 4
б) при
односторонних накладках 5
───────────────────────────────────────────────────────────────────────────

5 Переход и
закругление (класс 2
чистоты газовой
резки 1 или
фрезеровка) при
альфа >= 72°,
r >= 0,5b
───────────────────────────────────────────────────────────────────────────

6 Фасонки
прямоугольной формы, 7
приваренные
встык или втавр к
элементам
конструкций без
механической
обработки перехода
от фасонки к
элементу
───────────────────────────────────────────────────────────────────────────

7 Фасонки,
приваренные встык или 4
втавр к стенкам
и поясам балок,
а также к
элементам ферм при
альфа <= 45°
───────────────────────────────────────────────────────────────────────────

8 Фасонки
прямоугольной или 7
трапециевидной
формы, приваренные
к поясам балок
внахлестку с
обваркой по
контуру нахлестки без
механической
обработки швов
───────────────────────────────────────────────────────────────────────────

9 Стыковой
необработанный шов; 4
нагрузка
перпендикулярна сварному
шву; стыкуемые
элементы одинаковой
ширины и толщины
───────────────────────────────────────────────────────────────────────────

10 Стыковой
необработанный шов; 5
стыкуемые элементы разной ширины
или разной
толщины
───────────────────────────────────────────────────────────────────────────

11 Основной металл в
месте перехода
к стыковому шву
со снятым
механическим
способом усилением
шва:
а) при
стыковании элементов 2
одинаковой толщины и ширины
б) то же,
разной толщины и ширины 3
───────────────────────────────────────────────────────────────────────────

12 Сварные стыковые соединения:
листового
элемента на подкладном 4
листе (нагрузка
перпендикулярна
сварному шву)
труб на
подкладном кольце 4
прокатных
профилей встык 4
───────────────────────────────────────────────────────────────────────────

13 Сварные сечения
двутаврового, 2
таврового и
других типов,
сваренные
непрерывными продольными
швами при
действии усилия вдоль
оси шва
───────────────────────────────────────────────────────────────────────────

14 Основной металл со
вспомогательным
элементом, прикрепленным
продольными
швами, при альфа:
до 45° 4
90° 7
───────────────────────────────────────────────────────────────────────────

15 Обрыв поясного
листа без 7
механической
обработки поперечного
(лобового) шва
───────────────────────────────────────────────────────────────────────────

16 Основной металл с
поперечным швом; 4
сварной шов
двусторонний с плавным
переходом к
основному металлу
───────────────────────────────────────────────────────────────────────────

17 Основной металл
растянутых поясов 5
балок и
элементов ферм вблизи
диафрагм и
ребер, приваренных
угловыми швами
───────────────────────────────────────────────────────────────────────────

18 Основной металл в
месте перехода 6
к поперечному
(лобовому) угловому 5
шву
───────────────────────────────────────────────────────────────────────────

19 Основной металл в
соединениях с
фланговыми швами
(в местах
перехода от
элемента к концам
фланговых швов):
а) с двойными
фланговыми швами 8
б) с фланговыми
и лобовыми швами 7
в) при передаче
усилия через 7
основной
металл
г) щеки анкеров
для крепления 8
стальных
канатов
───────────────────────────────────────────────────────────────────────────

20 Основной металл
трубы растянутого
раскоса при
отношении толщины к
наружному
диаметру трубы пояса
t
/d >= 1/14 7
m m
1/20 <=
t /d < 1/14 8
m m
───────────────────────────────────────────────────────────────────────────

21 Основной металл
трубы растянутого
раскоса при
отношении диаметров
раскоса и пояса d /d = 0,4 - 0,7
d m
и отношении
толщины к наружному
диаметру трубы
пояса:
t /d
>= 1/14 6
m m
1/20 <=
t /d < 1/14 7
m m
1/35 <
t /d < 1/20 8
m m
───────────────────────────────────────────────────────────────────────────
(рекомендуемое)
УЗЛЫ ФЕРМ С
НЕПОСРЕДСТВЕННЫМИ ПРИКРЕПЛЕНИЯМИ
ЭЛЕМЕНТОВ РЕШЕТКИ К
ПОЯСАМ
Л.1.1. В узлах ферм
с непосредственным прикреплением элементов решетки к поясам следует проверять
(согласно 15.2.5 настоящих норм):
несущую способность
стенки (полки) пояса, к которой примыкает элемент решетки; несущую способность
элемента решетки вблизи примыкания к поясу; прочность сварных швов.
В приведенных далее
формулах обозначены:
N - усилие в
примыкающем элементе (решетки);
M - изгибающий
момент от основного воздействия в примыкающем элементе в плоскости фермы в
сечении, совпадающем с примыкающей стенкой (полкой) пояса (момент от жесткости
узлов следует учитывать согласно 15.2.2 настоящих норм; для ферм из круглых
труб - аналогичный момент в рассматриваемом элементе в сечении, проходящем
через точку пересечения оси этого элемента с образующей пояса);
F - продольная сила
в поясе со стороны растянутого элемента решетки;
A - площадь
поперечного сечения пояса;
- расчетное сопротивление стали пояса;
t - толщина стенки
(полки) пояса;
- угол примыкания элемента решетки к поясу;
- площадь поперечного сечения элемента решетки;
- толщина стенки (полки) элемента решетки;
- расчетное сопротивление стали элемента решетки.
Л.1.2. Изготовление
ферм с непосредственным прикреплением элементов решетки к поясам возможно
только при специализированном производстве с пооперационным контролем качества,
обращая внимание на контроль соблюдения перед сваркой проектного зазора между
торцами раскосов и поясами ферм по всему периметру сопряжения раскоса с поясом.
Л.2. Фермы из
гнутосварных профилей
Л.2.1. Узлы ферм из
замкнутых гнутосварных профилей прямоугольного сечения (рисунок Л.1) следует
проверять согласно требованиям Л.1 настоящего приложения, а также учитывать
несущую способность боковой стенки пояса (параллельной плоскости узла) в месте
примыкания сжатого элемента решетки.
а)

б)

в)

г)

а - К-образный при
треугольной решетке; б - то же,
при раскосной
решетке; в - опорный; г - У-образный
Рисунок
Л.1. Узлы ферм из гнутосварных профилей
Л.2.2. В
случае одностороннего примыкания к поясу двух или более элементов решетки с
усилиями разных знаков (см. рисунок Л.1, а, б), а также одного элемента в
опорных узлах (см. рисунок Л.1, в) при d/D <= 0,9 и g/b <= 0,25 несущую
способность стенки пояса следует проверять для каждого примыкающего элемента по
формуле
, (Л.1)
где
- коэффициент влияния знака усилия в
примыкающем элементе, принимаемый равным 1,2 при растяжении и 1,0 - в остальных
случаях;
- коэффициент влияния продольной силы в поясе, определяемый при сжатии
в поясе, если
,
по формуле
,
в остальных случаях
;
b - длина участка
линии пересечения примыкающего элемента с поясом в направлении оси пояса,
равная
;
g - половина
расстояния между смежными стенками соседних элементов решетки или поперечной
стенкой раскоса и опорным ребром;
f = (D - d)/2.
Л.2.3.
Несущую способность стенки пояса в У-образных узлах (см. рисунок Л.1, г), а
также в узлах, указанных в Л.2.2, при g/b > 0,25 следует проверять по
формуле
. (Л.2)
Л.2.4.
Несущую способность боковой стенки в плоскости узла в месте примыкания сжатого
элемента при d/D > 0,85 следует проверять по формуле
, (Л.3)
где
- коэффициент влияния тонкостенности пояса для
отношений
,
принимаемый равным 0,8, в остальных случаях - 1,0;
k - коэффициент,
принимаемый равным
при
;
при
;
в остальных случаях k = 1,0.
Л.2.5. Несущую
способность элемента решетки вблизи примыкания к поясу следует проверять:
а) в узлах,
указанных в Л.2.2 настоящего приложения, по формуле
где k следует
определять, как в Л.2.4 настоящего приложения, но с заменой характеристик пояса
на характеристики элемента решетки:
на большее из значений d или
,
t на
и
на
.
Для элемента
решетки неквадратного сечения в левую часть формулы (Л.4) следует вводить
множитель
;
б) в узлах,
указанных в Л.2.3 настоящего приложения, по формуле
, (Л.5)
выражения в круглых
скобках формулы (Л.5) не должно быть менее 0.
Для элементов решетки
неквадратного сечения в левую часть формулы (Л.5) следует вводить множитель
.
Л.2.6. Прочность
сварных швов, прикрепляющих элементы решетки к поясу, следует проверять:
а) в узлах,
указанных в Л.2.2 настоящего приложения, по формуле
, (Л.6)
где
,
,
следует принимать согласно требованиям раздела
14;
б) в узлах,
указанных в Л.2.3 настоящего приложения, по формуле
; (Л.7)
в) сварные швы,
выполненные при наличии установочного зазора, равного
,
с полным проплавлением стенки профиля следует рассчитывать как стыковые.
Л.3. Фермы из
круглых труб
Л.3.1. Узлы ферм из
круглых труб (рисунок Л.2) следует проверять согласно требованиям Л.1
настоящего приложения.
а)

б)

в)

а - К-образный; б -
Х-образный; в - опорный
Рисунок
Л.2. Узлы ферм из круглых труб
Л.3.2. В случае
примыкания к поясу n элементов решетки (см. рисунок Л.2, а, б), а также одного
элемента в опорных узлах (см. рисунок Л.2, в) несущую способность стенки пояса
следует проверять для каждого примыкающего элемента по формулам:
; j = 1,..., n; (Л.8)
, (Л.9)
где i - номер
примыкающего элемента;
j - номер
рассматриваемого примыкающего элемента;
,
- усилие в примыкающем элементе, принимаемое с
учетом знака ("плюс" при растяжении, "минус" при сжатии);
- коэффициент, при i = j, определяемый по формуле
;
при
.
Здесь
- коэффициент влияния знака усилия в
рассматриваемом примыкающем элементе, принимаемый равным 0,8 при растяжении и
1,0 - в остальных случаях;
- длина участка примыкания рассматриваемого элемента (для трубчатых
элементов
);
- коэффициент влияния длины примыкания рассматриваемого элемента, для
нецилиндрических примыканий определяемый по формуле
;
для цилиндрических
примыканий (труб)
;
или
- ширина примыкающего элемента (для трубчатого
элемента
или
);
S - характеристика
несущей способности пояса, определяемая по формуле
здесь
- тонкостенность пояса;
- коэффициент влияния продольной силы в поясе, определяемый при сжатии
в поясе по формуле
,
в остальных случаях
;
здесь
- продольная сила в поясе со стороны
растянутого элемента решетки;
- коэффициент влияния подкрепления стенки пояса в узле поперечными
ребрами, диафрагмами и т.п., принимаемый равным 1,25 при расположении
подкрепляющего ребра в пределах участка рассматриваемого примыкания и 1 - в
остальных случаях;
- коэффициент влияния расположения каждого из смежных примыкающих
элементов по отношению к рассматриваемому (j-му), определяемый по таблице Л.1;
при i = j
;
,
при
допускается принимать
(
- см. таблицу Л.1),
при ![]()
,
;
- ширина охвата пояса примыкающим элементом между кромками сварного
шва (при
допускается принимать
,
при
).
Л.3.3. Несущую
способность стенки трубчатых элементов решетки вблизи примыкания к поясу
следует проверять по формуле
, (Л.11)
где
- коэффициент, принимаемый равным: 0,008 - для
раскосов в К-образных узлах, при расчете примыканий которых значение
коэффициента
,
определяемого по таблице Л.1, составляет менее 0,85; 0,015 - в остальных
случаях;
- коэффициент условий работы, принимаемый равным: 0,85 - для
элементов, пересекающихся в узле с двумя другими элементами, имеющими разные
знаки усилий;
1 - в остальных
случаях.
───────────────────────────────────────────────────────────────────────────
Расположение
оси смежного Тип
![]()
примыкающего элемента узла
относительно оси
рассматриваемого
───────────────────────────────────────────────────────────────────────────
С
той же стороны пояса K
- ![]()
───────────────────────────────────────────────────────────────────────────
С
противоположной стороны
X

пояса
────────────────────────────────────────────
>= D 0
───────────────────────────────────────────────────────────────────────────
Обозначения, принятые в таблице Л.1 (см. рисунок
Л.2):
-
наименьшее расстояние вдоль оси пояса между сварными швами,
прикрепляющими к
поясу рассматриваемый и
смежный элементы решетки
(продольный
просвет):
;
- расстояние вдоль пояса между бортами рассматриваемого и смежного
примыкающих
элементов:
;
- отношение ширины примыкания смежного
элемента к диаметру
пояса
(для трубчатых элементов
).
Примечание. Значения
следует принимать равными:
при
;
при
;
при
.
───────────────────────────────────────────────────────────────────────────
Л.3.4. При
подкреплении стенки пояса в узле (в местах примыкания рассматриваемого
примыкающего элемента) прилегающей и приваренной к поясу накладкой толщиной
вместо
в формуле (Л.10) следует принимать расчетное
сопротивление материала накладки
,
вместо t - приведенную толщину
,
принимаемую равной: для растянутых примыкающих элементов
,
но не более 1,5t, для сжатых -
,
где
-
,
а
- меньшая из толщин t и
.
Л.3.5. Прочность
сварных швов в случае резки труб со скосом кромки допускается проверять по
формуле
, (Л.12)
где
- расчетное сопротивление сварного стыкового
соединения, принимаемое по указаниям 6.4 настоящих норм.
Л.4. Фермы из
двутавров
Л.4.1. Узлы ферм из
двутавров с параллельными гранями полок (рисунок Л.3) следует проверять
согласно требованиям Л.1 настоящего приложения, а также учитывать:
несущую способность
участка стенки пояса, соответствующего сжатому элементу решетки;
несущую способность
поперечного сечения пояса на сдвиг.
а)

б)

в)

а - К-образный при
треугольной решетке;
б - то же, при
раскосной решетке; в - опорный
Рисунок
Л.3. Узлы ферм из двутавров
Л.4.2. В случае
одностороннего примыкания к двутавровому поясу двух или более двутавровых
элементов решетки с усилиями разных знаков (см. рисунок Л.3, а, б), а также
одного элемента в опорных узлах (см. рисунок Л.3, в) при g <= 15 мм несущую
способность полки пояса следует проверять для каждого примыкающего элемента по
формуле
, (Л.13)
где
- коэффициент, определяемый по указаниям Л.2.2.
Л.4.3. Несущую
способность участка стенки двутаврового пояса под действием сжатого
двутаврового элемента решетки следует проверять по формуле
, (Л.14)
где
- толщина стенки пояса.
Л.4.4. Несущую
способность поперечного сечения двутаврового пояса под воздействием поперечной
силы в узле следует проверять по формуле
, (Л.15)
где Q - поперечная
сила в узле, равная меньшему из произведений
;
- расчетное сопротивление сдвигу стали пояса;
;
r - радиус
закругления профиля пояса.
Л.4.5. Несущую
способность двутаврового элемента решетки вблизи примыкания к поясу следует
проверять по формуле
, (Л.16)
где
- коэффициент, принимаемый по указаниям Л.2.2
настоящего приложения.
Л.4.6. Сечения
сварных швов, прикрепляющих элементы решетки к поясу, следует принимать
соответственно прочности участков (полок, стенок) двутаврового элемента
решетки.
(рекомендуемое)
ПОДБОРА МИНИМАЛЬНЫХ
СЕЧЕНИЙ ИЗГИБАЕМЫХ ЭЛЕМЕНТОВ
М.1. Общие
положения
М.1.1. Методика
позволяет установить размеры минимальных по площади сечений шарнирно опертых
балок, нагруженных в плоскости стенки и имеющих сварное двутавровое
двоякосимметричное сечение с устойчивой, гибкой или перфорированной стенкой, а
также определить наиболее эффективное сопротивление стали
.
М.1.2. Устойчивость
балок следует обеспечивать выполнением требований 8.4.4 - 8.4.6 настоящих норм.
М.1.3. Для подбора
минимального сечения балки расчетными размерами и параметрами являются:
l - пролет;
M - расчетный
изгибающий момент;
n - параметр,
определяющий предельный прогиб
и принимаемый согласно СНиП 2.01.07;
- параметр, равный 9,6 - при равномерно распределенной нагрузке, 12 -
при сосредоточенной нагрузке в середине пролета, 10 - в остальных случаях;
- коэффициент надежности по нагрузке, определяемый как отношение
расчетного значения эквивалентной (по значению изгибающего момента) нагрузки к
нормативному;
;
;
- величины, используемые в расчетных формулах.
М.1.4. Сечение
балки, принятое с учетом действующих сортаментов, требований и ограничений,
предъявляемых к проекту в каждом конкретном случае, следует проверять согласно
требованиям раздела 8 настоящих норм (для балок с устойчивой стенкой) или
требований настоящего приложения (для балок с гибкой стенкой).
М.2. Балки из
однородного материала с устойчивой стенкой
М.2.1. Размеры
сечений (см. рисунок 5 настоящих норм, где
обозначено как
,
а
- как
)
двутавровых балок 1-го класса следует определять по формулам:
, (М.1)
где
.
Эффективное
значение расчетного сопротивления стали
следует определять по формуле
М.2.2. Размеры
сечений двутавровых балок 2-го класса при
следует определять по формулам:
где
;
.
Параметр
следует определять по формуле
где
- коэффициент, определяемый по формулам (77)
настоящих норм и изменяющийся в пределах
.
Для балок
коробчатого сечения коэффициенты
и
в формуле (М.4) следует умножать на 0,5.
В формулах (М.3)
значение
следует определять в зависимости от
по таблице М.1, а значение
- по 8.5.8 настоящих норм. В таблице М.1 и в формулах
(М.3) среднее касательное напряжение
следует принимать равным
.
┌──────┬──────────────────────────────────────────────────────────────────┐
│ │ ______ _______
│
│тау/R
│ Предельные значения
лямбда при эпсилон, равном │
│ s│ uw │
│ ├──────┬──────┬──────┬──────┬───────┬───────┬───────┬──────┬───────┤
│ │ 1,0 │ 1,5
│ 2,0 │ 2,5 │
3,0 │ 3,5 │ 4,0 │
4,5 │>= 5,0 │
├──────┼──────┼──────┼──────┼──────┼───────┼───────┼───────┼──────┼───────┤
│ 0 │
5,50 │ 4,00 │ 3,42 │ 3,00 │ 2,72 │ 2,52
│ 2,37 │ 2,27 │
2,20 │
├──────┼──────┼──────┼──────┼──────┼───────┼───────┼───────┼──────┼───────┤
│
0,5 │ 4,50 │ 3,70 │
3,13 │ 2,75 │ 2,51 │
2,35 │ 2,26 │ 2,20 │ 2,20 │
├──────┼──────┼──────┼──────┼──────┼───────┼───────┼───────┼──────┼───────┤
│
0,6 │ 4,25 │ 3,52 │
2,98 │ 2,64 │ 2,42 │
2,28 │ 2,20 │ 2,20 │ 2,20 │
├──────┼──────┼──────┼──────┼──────┼───────┼───────┼───────┼──────┼───────┤
│
0,7 │ 4,00 │ 3,34 │
2,84 │ 2,53 │ 2,34 │
2,20 │ 2,20 │ 2,20 │ 2,20 │
├──────┼──────┼──────┼──────┼──────┼───────┼───────┼───────┼──────┼───────┤
│
0,8 │ 3,75 │ 3,04 │
2,62 │ 2,37 │ 2,26 │
2,20 │ 2,20 │ 2,20 │ 2,20 │
├──────┼──────┼──────┼──────┼──────┼───────┼───────┼───────┼──────┼───────┤
│
0,9 │ 3,50 │ 2,73 │
2,39 │ 2,20 │ 2,20 │
2,20 │ 2,20 │ 2,20 │ 2,20 │
└──────┴──────┴──────┴──────┴──────┴───────┴───────┴───────┴──────┴───────┘
Значения M и Q
следует определять в одном сечении балки.
Эффективное
значение расчетного сопротивления стали
следует определять по формуле
где
.
М.2.3. При наличии
зоны чистого изгиба размеры сечений балок 2-го класса и эффективное значение
расчетного сопротивления стали следует определять по формулам (М.3) и (М.5)
соответственно при подстановке в них значения
.
М.2.4. Размеры
сечений двутавровых балок 3-го класса (при
;
)
следует определять по формулам:
;
;
;
,
(М.6)
где
;
.
Эффективное
значение расчетного сопротивления стали
следует определять по формуле
где
.
М.2.5. При выборе
стали расчетное сопротивление
следует принимать близким к
,
вычисленному по формулам (М.2), (М.5) и (М.7); при этом должно быть выполнено
условие
.
М.2.6. Для
балок 2-го и 3-го классов при одновременном действии в сечении M и Q в формулах
(М.3), (М.5) - (М.7) следует принимать: в первом приближении
;
в последующих приближениях
.
М.3. Бистальные
балки с устойчивой стенкой
Размеры сечений
бистальных двутавровых балок 2-го класса с устойчивой стенкой при
следует определять по формулам:
где
;
;
.
В формулах (М.8)
значение
следует принимать по таблице М.1 в зависимости
от параметра
,
определяемого по формуле
, (М.9)
где
- коэффициент, определяемый по формулам:
или
(М.10)
и изменяющийся в
пределах
;
здесь
и
- коэффициенты, определяемые согласно 8.2.8
настоящих норм.
Эффективное
значение расчетного сопротивления стали стенки балки
следует определять по формуле
, (М.11)
где
.
При выборе стали
должно быть выполнено условие
.
При одновременном
действии в сечении M и Q следует учитывать М.2.6 настоящего приложения.
М.4. Балки с гибкой
стенкой
М.4.1. Разрезные
балки с гибкой стенкой симметричного двутаврового сечения, несущие статическую
нагрузку и изгибаемые в плоскости стенки, как правило, следует применять при
нагрузке, эквивалентной равномерно распределенной до 50 кН/м, и проектировать
из стали с пределом текучести до 345 Н/мм2.
М.4.2. Устойчивость
балок с гибкой стенкой следует обеспечивать либо выполнением требований 8.4.4, а
настоящих норм, либо закреплением сжатого пояса, при котором условная гибкость
пояса
не превышает 0,21 (где
- ширина сжатого пояса).
М.4.3. Отношение
ширины свеса сжатого пояса к его толщине следует принимать не более
.
М.4.4. Отношение
площадей сечений пояса и стенки
не должно превышать предельных значений
,
определяемых по формуле
. (М.12)
М.4.5. Участок
стенки балки над опорой следует укреплять двусторонним опорным ребром жесткости
и рассчитывать согласно требованиям 8.5.17 настоящих норм.
На расстоянии не
менее ширины ребра и не более
от опорного ребра следует устанавливать
дополнительное двустороннее ребро жесткости размером согласно М.4.9 настоящего
приложения.
М.4.6. Местное
напряжение
в стенке балки, определенное по формуле (47),
должно быть не более
,
при этом значение
следует вычислять по формуле (48) настоящих
норм.
М.4.7. При
определении прогиба балок момент инерции поперечного сечения брутто балки
следует уменьшать умножением на коэффициент
для балок с ребрами в пролете и на коэффициент
- для балок без ребер в пролете.
М.4.8.
Прочность разрезных балок симметричного двутаврового сечения, несущих
статическую нагрузку, изгибаемых в плоскости стенки, укрепленной только
поперечными ребрами жесткости (рисунок М.1), с условной гибкостью стенки
следует проверять по формуле
где M и Q -
значения момента и поперечной силы в рассматриваемом сечении балки;
- предельное значение момента, вычисляемое по формуле
- предельное значение поперечной силы, вычисляемое по формуле

Рисунок
М.1. Схема балки с гибкой стенкой
В формулах (М.14) и
(М.15) обозначено:
и
- толщина и высота стенки соответственно;
- площадь сечения пояса балки;
,
- критическое напряжение и отношение размеров
отсека стенки соответственно, определяемые согласно 8.5.3 настоящих норм;
- коэффициент, вычисляемый по формуле
;
.
(М.16)
Здесь
;
;
- минимальный момент сопротивления (относительно собственной оси,
параллельной поясу балки) таврового сечения, состоящего из сжатого пояса балки
и примыкающего к нему участка стенки высотой
;
a - шаг ребер
жесткости.
М.4.9.
Поперечные ребра жесткости, сечения которых приняты не менее указанных в 8.5.9
настоящих норм, следует рассчитывать на устойчивость как стержни, сжатые силой
N, определяемой по формуле
, (М.17)
где все обозначения
следует принимать по М.4.8 настоящего приложения.
Значение N
рекомендуется принимать равным не менее значения сосредоточенной нагрузки,
расположенной над ребром.
Расчетную длину
стержня следует принимать равной
,
но не менее
.
Симметричное
двустороннее ребро рекомендуется рассчитывать на центральное сжатие,
одностороннее - на внецентренное сжатие с эксцентриситетом, равным расстоянию
от оси стенки до центра тяжести расчетного сечения стержня.
В расчетное сечение
стержня следует включать сечение ребра жесткости и полосы стенки шириной
с каждой стороны ребра.
М.4.10. Размеры
сечений двутавровых балок с гибкой стенкой и ребрами, удовлетворяющие условию
(М.13), следует определять по формулам:
;
;
;
,
(М.18)
где
.
Эффективное
значение расчетного сопротивления стали балки
следует определять по формуле
. (М.19)
При необходимости с
целью удовлетворения условия (М.13) следует увеличивать число ребер жесткости
или толщину стенки в отсеках балки, расположенных у опор.
При выборе стали
следует выполнять условие
.
М.5. Балки с
перфорированной стенкой
М.5.1. Балки с
перфорированной стенкой следует проектировать из прокатных двутавров (>= I
20), как правило, из стали с пределом текучести до 440 Н/мм2. Степень развития
прокатного профиля (отношение высоты развитой балки к высоте исходного
двутавра) рекомендуется принимать <= 1,5.
Сварные соединения
стенок следует выполнять стыковым швом с полным проваром.
М.5.2. Расчет на
прочность балок, изгибаемых в плоскости стенки (рисунок М.2), следует выполнять
по формулам:
для точек,
находящихся в углах вырезанных отверстий на расстоянии 0,5d от оси x - x,
; (М.20)
для точек,
находящихся над углами вырезанных отверстий на расстоянии 0,5h от оси x - x,
; (М.21)
, (М.22)
M - изгибающий
момент в сечении балки;
Q - поперечная сила
в сечении балки;
- то же, на расстоянии (c + s - 0,5a) от опоры (см. рисунок М.2);
- собственный момент сопротивления развитого двутавра в сечении балки
с отверстием (сечение нетто) относительно оси x - x;
,
- наибольший и наименьший моменты
сопротивления таврового сечения.

Рисунок
М.2. Схема участка балки с перфорированной стенкой
М.5.3. Расчет на
устойчивость балок следует выполнять согласно требованиям 8.4.1 настоящих норм;
при этом геометрические характеристики балок следует вычислять для сечения с
отверстием. Устойчивость балок следует считать обеспеченной, если выполнены
требования 8.4.4 и 8.4.5 настоящих норм.
М.5.4. В опорных
сечениях стенку балки при
следует укреплять ребрами жесткости и
рассчитывать согласно требованиям 8.5.17 настоящих норм; при этом у опорного
сечения следует принимать c >= 250 мм (см. рисунок М.2).
М.5.5. В сечениях
балки при отношении
или при невыполнении требований 8.2.2 следует
устанавливать ребра жесткости в соответствии с требованиями 8.5.9 настоящих норм.
Сосредоточенные
грузы следует располагать только в сечениях балки, не ослабленных отверстиями.
Высота стенки
сжатого таврового сечения должна удовлетворять требованиям 7.3.2 настоящих
норм, в формуле (29) которого следует принимать
.
М.5.6. При
определении прогиба балок с отношением
(где l - пролет балки) момент инерции сечения
балки с отверстием следует умножать на коэффициент 0,95.